Investigation of the Causes of Soft-Storey and Weak-Storey Formations in Low- and Mid-Rise RC Buildings in Türkiye
Abstract
1. Introduction
2. Soft-Storey and Weak-Storey in ASCE 7-22 and TBEC-2018 Code Provision
2.1. Soft-Storey Irregularity
2.2. Weak-Storey Irregularity
3. Structural Models and Analysis Models
3.1. Investigation of Soft-Storey Irregularity
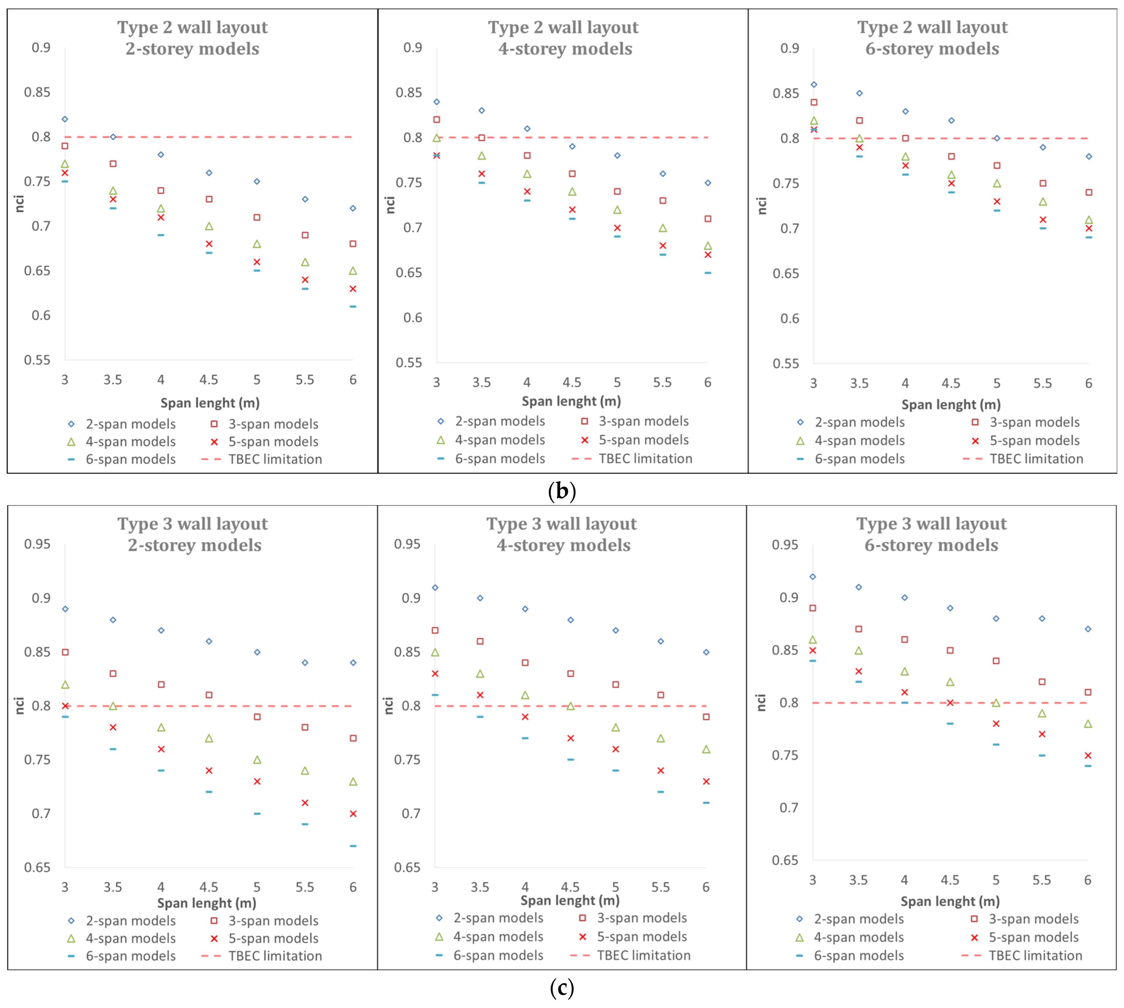
3.2. Investigation of Weak-Storey Irregularity
4. Conclusions and Discussion
- (a)
- According to the formulas given in the TBEC, the ground floor heights (hgf) that cause soft-storey irregularities are too high to be used in practice, especially in buildings above three storeys (this can be seen in Figure 6). The results reveal that, even if the buildings are designed with very high ground floor heights, they do not have soft-storey irregularities according to the formulas given in the TBEC, but they can be damaged by earthquake effects due to soft-storey formation. This can be attributed to the excessively high limit value of the soft-storey irregularity coefficient (nki > 2) in the TBEC.
- (b)
- According to the ASCE, the ground floor heights (hgf) that cause soft-storey irregularity are the ground floor heights that can be seen in practice. Therefore, based on the ASCE results, the soft-storey irregularity coefficients of each model building examined within the scope of the study were recalculated according to the TBEC, and it was determined that these values were concentrated in the range of 1.4–1.7. Updating the soft-storey irregularity coefficient limit value to 1.4 instead of 2 in the TBEC will prevent the design of buildings with very high ground floor heights and will keep the buildings on the safer side.
- (c)
- According to the TBEC, as the number of storeys increases, the ground floor heights that cause soft-storey irregularity rise in an exaggerated manner. In some models, the presence of a mezzanine floor in the building reduced the soft-storey risk. In addition, there are significant differences between the results obtained with the TBEC and the ASCE regulations (ground floor heights causing soft-storey irregularity). In fact, in some models, the differences between the regulations have reached up to 167%. It can be concluded from these results that the soft-storey irregularity formulas in the TBEC regulation should be discussed.
- (d)
- The fact that the ground floor is higher than the other floors causes this floor to be more flexible. Therefore, the relative storey drift of the ground floor under the effects of an earthquake is higher than that of the upper floors. However, according to the soft-storey irregularity coefficient (nki) formula in the TBEC (Equation (1)), soft-storey irregularity is checked by dividing the relative drifts ( by the storey height ; that is, by looking at the () ratio between the storeys. Increasing the relative storey drifts and ground floor height together does not change the () ratio much for the ground floor. However, when the ground floor height has very high values, since the relative drifts increase excessively, the coefficient of soft-storey irregularity (nki) exceeds 2, and soft-storey irregularity occurs in the building. As a result, the ground floor heights that will cause soft-story formation in the building are too large to be seen in practice. Since the height of the ground floor directly affects the stiffness in the soft-story irregularity formulas in the ASCE, the increase in the height of the ground floor immediately affects the results, which provides more conservative results.
- (e)
- In some buildings in Türkiye where the ground floor is used for commercial purposes or as a parking lot, infill walls are not used on the interior axes for a more efficient use of interior space, or infill walls are not used on the exterior axes for a more efficient commercial use of building facades. The study revealed that the risk of weak-storey irregularity is high in buildings with no infill walls in one direction or with infill walls in only one of the exterior axes in one direction.
Funding
Data Availability Statement
Acknowledgments
Conflicts of Interest
References
- Barka, A.A.; Kadinsky-Cade, K. Strike-slip Fault Geometry in Turkey and Its Influence on Earthquake Activity. Tectonics 1988, 7, 663–684. [Google Scholar] [CrossRef]
- Zengin, B.; Aydin, F. The Effect of Material Quality on Buildings Moderately and Heavily Damaged by the Kahramanmaraş Earthquakes. Appl. Sci. 2023, 13, 10668. [Google Scholar] [CrossRef]
- Caglar, N.; Vural, I.; Kirtel, O.; Saribiyik, A.; Sumer, Y. Structural Damages Observed in Buildings after the January 24, 2020 Elazığ-Sivrice Earthquake in Türkiye. Case Stud. Constr. Mater. 2023, 18, e01886. [Google Scholar] [CrossRef]
- İnce, O. Structural Damage Assessment of Reinforced Concrete Buildings in Adıyaman after Kahramanmaraş (Türkiye) Earthquakes on 6 February 2023. Eng. Fail. Anal. 2024, 156, 107799. [Google Scholar] [CrossRef]
- Yön, B. Identification of Failure Mechanisms in Existing Unreinforced Masonry Buildings in Rural Areas after April 4, 2019 Earthquake in Turkey. J. Build. Eng. 2021, 43, 102586. [Google Scholar] [CrossRef]
- Doǧangün, A.; Yön, B.; Onat, O.; Emin Öncü, M.; Saǧlroǧlu, S. Seismicity of East Anatolian of Turkey and Failures of Infill Walls Induced by Major Earthquakes. J. Earthq. Tsunami 2021, 15, 2150017. [Google Scholar] [CrossRef]
- Sayin, E.; Yön, B.; Calayir, Y.; Karaton, M. Failures of Masonry and Adobe Buildings during the June 23, 2011 Maden-(Elazığ) Earthquake in Turkey. Eng. Fail. Anal. 2013, 34, 779–791. [Google Scholar] [CrossRef]
- Doǧangün, A. Performance of Reinforced Concrete Buildings during the May 1, 2003 Bingöl Earthquake in Turkey. Eng. Struct. 2004, 26, 841–856. [Google Scholar] [CrossRef]
- AFAD. Turkish Ministry of Interior Disaster and Emergency Management Presidency; Turkish Ministry of Interior: Ankara, Türkiye, 2023. [Google Scholar]
- Ivanov, M.L.; Chow, W.K. Structural Damage Observed in Reinforced Concrete Buildings in Adiyaman during the 2023 Turkiye Kahramanmaras Earthquakes. Structures 2023, 58, 105578. [Google Scholar] [CrossRef]
- Scawthorn, C.; Johnson, G.S. Preliminary Report: Kocaeli (Izmit) Earthquake of 17 August 1999. Eng. Struct. 2000, 22, 727–745. [Google Scholar] [CrossRef]
- Akkar, S.; Boore, D.M.; Gülkan, P. An Evaluation of the Strong Ground Motion Recorded during the May 1, 2003 Bingöl Turkey, Earthquake. J. Earthq. Eng. 2005, 9, 173–197. [Google Scholar] [CrossRef]
- Gur, T.; Pay, A.C.; Ramirez, J.A.; Sozen, M.A.; Johnson, A.M.; Irfanoglu, A.; Bobet, A. Performance of School Buildings in Turkey during the 1999 Düzce and the 2003 Bingöl Earthquakes. Earthq. Spectra 2009, 25, 239–256. [Google Scholar] [CrossRef]
- Inel, M.; Ozmen, H.B.; Cayci, B.T. Evaluation of Reasons of the Damages after Simav and Van (2011) Earthquakes. Pamukkale Univ. J. Eng. Sci. 2013, 19, 256–265. [Google Scholar] [CrossRef]
- Muvafik, M. Field Investigation and Seismic Analysis of a Historical Brick Masonry Minaret Damaged during the Van Earthquakes in 2011. Earthq. Struct. 2014, 6, 457–472. [Google Scholar] [CrossRef]
- Sayin, E.; Yon, B.; Calayir, Y.; Gor, M. Construction Failures of Masonry and Adobe Buildings during the 2011 Van Earthquakes in Turkey. Struct. Eng. Mech. 2014, 51, 503–518. [Google Scholar] [CrossRef]
- Baran, E.; Mertol, H.C.; Gunes, B. Damage in Reinforced-Concrete Buildings during the 2011 Van, Turkey, Earthquakes. J. Perform. Constr. Facil. 2014, 28, 466–479. [Google Scholar] [CrossRef]
- Bayraktar, A.; Altunisik, A.C.; Türker, T.; Karadeniz, H.; Erdogdu, S.; Angin, Z.; Özsahin, T.S. Structural Performance Evaluation of 90 RC Buildings Collapsed during the 2011 Van, Turkey, Earthquakes. J. Perform. Constr. Facil. 2015, 29, 4014177. [Google Scholar] [CrossRef]
- Murat, O. Field Reconnaissance of the October 23, 2011, Van, Turkey, Earthquake: Lessons from Structural Damages. J. Perform. Constr. Facil. 2015, 29, 4014125. [Google Scholar] [CrossRef]
- Korkmaz, S.Z. Observations on the Van Earthquake and Structural Failures. J. Perform. Constr. Facil. 2015, 29, 4014033. [Google Scholar] [CrossRef]
- Karataş, L.; Bayhan, B. Damage Assessment and Restoration Proposal Following the 2023 Türkiye Earthquakes: UNESCO World Heritage Site Diyarbakır City Walls, Türkiye. Herit. Sci. 2023, 11, 228. [Google Scholar] [CrossRef]
- Bekdaş, G.; Sayin, B.; Çelik Sola, Ö.; Güner, A. Assessment of the Material Quality of Damaged Structures after Earthquake in Van, Turkey. J. Mater. Civ. Eng. 2016, 28, 4016110. [Google Scholar] [CrossRef]
- Güney, D.; Kuruşcu, A.O.; Arun, G. Damage Evaluation of Masonry Buildings after Van Earthquakes in 2011. Int. J. Archit. Herit. 2016, 10, 269–280. [Google Scholar]
- Erdil, B. Why RC Buildings Failed in the 2011 Van, Turkey, Earthquakes: Construction versus Design Practices. J. Perform. Constr. Facil. 2017, 31, 4016110. [Google Scholar] [CrossRef]
- Oyguc, R.; Oyguc, E. 2011 Van Earthquakes: Lessons from Damaged Masonry Structures. J. Perform. Constr. Facil. 2017, 31, 4017062. [Google Scholar] [CrossRef]
- Atmaca, B.; Demir, S.; Günaydin, M.; Altunişik, A.C.; Hüsem, M.; Ateş, Ş.; Adanur, S.; Angin, Z. Field Investigation on the Performance of Mosques and Minarets during the Elazig-Sivrice Earthquake. J. Perform. Constr. Facil. 2020, 34, 4020120. [Google Scholar] [CrossRef]
- Cenan Mertol, H.; Tunc, G.; Akis, T. Damage Observation of Reinforced Concrete Buildings after 2020 Sivrice (Elazığ) Earthquake, Turkey. J. Perform. Constr. Facil. 2021, 35, 4021053. [Google Scholar] [CrossRef]
- Wang, T.; Chen, J.; Zhou, Y.; Wang, X.; Lin, X.; Wang, X.; Shang, Q. Preliminary Investigation of Building Damage in Hatay under February 6, 2023 Turkey Earthquakes. Earthq. Eng. Eng. Vib. 2023, 22, 853–866. [Google Scholar] [CrossRef]
- Onat, O.; Deniz, F.; Özmen, A.; Özdemir, E.; Sayın, E. Performance Evaluation and Damage Assessment of Historical Yusuf Ziya Pasha Mosque after February 6, 2023 Kahramanmaras Earthquakes. Structures 2023, 58, 105415. [Google Scholar] [CrossRef]
- Binici, B.; Yakut, A.; Kadas, K.; Demirel, O.; Akpinar, U.; Canbolat, A.; Yurtseven, F.; Oztaskin, O.; Aktas, S.; Canbay, E. Performance of RC Buildings after Kahramanmaraş Earthquakes: Lessons toward Performance Based Design. Earthq. Eng. Eng. Vib. 2023, 22, 883–894. [Google Scholar] [CrossRef]
- Gurbuz, T.; Cengiz, A.; Kolemenoglu, S.; Demir, C.; Ilki, A. Damages and Failures of Structures in İzmir (Turkey) during the October 30, 2020 Aegean Sea Earthquake. J. Earthq. Eng. 2023, 27, 1565–1606. [Google Scholar] [CrossRef]
- Işık, E.; Büyüksaraç, A.; Avcil, F.; Arkan, E.; Aydın, M.C.; Ulu, A.E. Damage Evaluation of Masonry Buildings during Kahramanmaraş (Türkiye) Earthquakes on February 06, 2023. Earthq. Struct. 2023, 25, 209–221. [Google Scholar] [CrossRef]
- Mertol, H.C.; Tunç, G.; Akış, T.; Kantekin, Y.; Aydın, İ.C. Investigation of RC Buildings after 6 February 2023, Kahramanmaraş, Türkiye Earthquakes. Buildings 2023, 13, 1789. [Google Scholar] [CrossRef]
- Balun, B. Assessment of Seismic Parameters for 6 February 2023 Kahramanmaraş Earthquakes. Struct. Eng. Mech. 2023, 88, 117–128. [Google Scholar] [CrossRef]
- Altunışık, A.; Arslan, M.; Kahya, V.; Aslan, B.; Sezdirmez, T.; Dok, G.; Kirtel, O.; Öztürk, H.; Sunca, F.; Baltaci, A. Field Observations and Damage Evaluation in Reinforced Concrete Buildings After the February 6th, 2023, Kahramanmaraş-Türkiye Earthquakes. J. Earthq. Tsunami 2023, 17, 2350024. [Google Scholar] [CrossRef]
- Kazaz, İ.; Bilge, İ.H.; Gürbüz, M. Near-Fault Ground Motion Characteristics and Its Effects on a Collapsed Reinforced Concrete Structure in Hatay during the February 6, 2023 Mw7.8 Kahramanmaraş Earthquake. Eng. Struct. 2024, 298, 117067. [Google Scholar] [CrossRef]
- Işık, E. Structural Failures of Adobe Buildings during the February 2023 Kahramanmaraş (Türkiye) Earthquakes. Appl. Sci. 2023, 13, 8937. [Google Scholar] [CrossRef]
- Ozturk, M.; Arslan, M.H.; Dogan, G.; Ecemis, A.S.; Arslan, H.D. School Buildings Performance in 7.7 Mw and 7.6 Mw Catastrophic Earthquakes in Southeast of Turkey. J. Build. Eng. 2023, 79, 107810. [Google Scholar] [CrossRef]
- Bayraktar, A.; Altunişik, A.C.; Pehlivan, M. Performance and Damages of Reinforced Concrete Buildings during the October 23 and November 9, 2011 Van, Turkey, Earthquakes. Soil Dyn. Earthq. Eng. 2013, 53, 49–72. [Google Scholar] [CrossRef]
- Jara, J.M.; Hernández, E.J.; Olmos, B.A.; Martínez, G. Building Damages during the September 19, 2017 Earthquake in Mexico City and Seismic Retrofitting of Existing First Soft-Story Buildings. Eng. Struct. 2020, 209, 109977. [Google Scholar] [CrossRef]
- Kirac, N.; Dogan, M.; Ozbasaran, H. Failure of Weak-Storey during Earthquakes. Eng. Fail. Anal. 2011, 18, 572–581. [Google Scholar] [CrossRef]
- Işık, E.; Avcil, F.; Büyüksaraç, A.; İzol, R.; Hakan Arslan, M.; Aksoylu, C.; Harirchian, E.; Eyisüren, O.; Arkan, E.; Şakir Güngür, M.; et al. Structural Damages in Masonry Buildings in Adıyaman during the Kahramanmaraş (Turkiye) Earthquakes (Mw 7.7 and Mw 7.6) on 06 February 2023. Eng. Fail. Anal. 2023, 151, 107405. [Google Scholar] [CrossRef]
- Nuhoğlu, A.; Erener, M.F.; Hızal, Ç.; Kıncal, C.; Erdoğan, D.Ş.; Özdağ, Ö.C.; Akgün, M.; Ercan, E.; Kalfa, E.; Köksal, D.; et al. A Reconnaissance Study in Izmir (Bornova Plain) Affected by October 30, 2020 Samos Earthquake. Int. J. Disaster Risk Reduct. 2021, 63, 102465. [Google Scholar] [CrossRef]
- Qu, Z.; Zhu, B.; Cao, Y.; Fu, H. Rapid Report of Seismic Damage to Buildings in the 2022 M 6.8 Luding Earthquake, China. Earthq. Res. Adv. 2023, 3, 100180. [Google Scholar] [CrossRef]
- Sezen, H.; Whittaker, A.S.; Elwood, K.J.; Mosalam, K.M. Performance of Reinforced Concrete Buildings during the August 17, 1999 Kocaeli, Turkey Earthquake, and Seismic Design and Construction Practise in Turkey. Eng. Struct. 2003, 25, 103–114. [Google Scholar] [CrossRef]
- Ates, S.; Kahya, V.; Yurdakul, M.; Adanur, S. Damages on Reinforced Concrete Buildings Due to Consecutive Earthquakes in Van. Soil Dyn. Earthq. Eng. 2013, 53, 109–118. [Google Scholar] [CrossRef]
- Doğan, M.; Kirac, N.; Gönen, H. Soft-Storey Behavıour in An Earthquake and Samples of Izmıt-Duzce. In Proceedings of the Uluslarararası Yapı ve Deprem Mühendisliği Sempozyumu, Orta Doğu Teknik Üniversitesi, Ankara, Turkey, 14 October 2002; pp. 42–49. [Google Scholar]
- Dogan, M. Failure of Structural (RC, Masonry, Bridge) to Van Earthquake. Eng. Fail. Anal. 2013, 35, 489–498. [Google Scholar] [CrossRef]
- Şahin, H.; Alyamaç, K.E.; Durucan, A.R.; Demirel, B.; Açıkgenç Ulaş, M.; Bildik, A.T.; Durucan, C.; Demir, T.; Ulucan, M.; Demirbaş, N. January 24, 2020 Mw 6.8 Sivrice/Elazığ Earthquake Elazığ Region Structural Damages Investigation and Analysis Report; Report No: 2020/D001; Construction and Concrete Application and Research Center, Fırat University: Elazığ, Türkiye, 2020. [Google Scholar]
- Yakut, A.; Sucuoğlu, H.; Binici, B.; Canbay, E.; Donmez, C.; İlki, A.; Caner, A.; Celik, O.C.; Ay, B.Ö. Performance of Structures in İzmir after the Samos Island Earthquake. Bull. Earthq. Eng. 2022, 20, 7793–7818. [Google Scholar] [CrossRef]
- Avcil, F.; Işık, E.; İzol, R.; Büyüksaraç, A.; Arkan, E.; Arslan, M.H.; Aksoylu, C.; Eyisüren, O.; Harirchian, E. Effects of the February 6, 2023, Kahramanmaraş Earthquake on Structures in Kahramanmaraş City. Nat. Hazards 2023, 120, 2953–2991. [Google Scholar] [CrossRef]
- Ozturk, M.; Arslan, M.H.; Korkmaz, H.H. Effect on RC Buildings of 6 February 2023 Turkey Earthquake Doublets and New Doctrines for Seismic Design. Eng. Fail. Anal. 2023, 153, 107521. [Google Scholar] [CrossRef]
- Ruiz-García, J.; Cárdenas, Y. Seismic Performance Assessment of Weak First-Storey RC Buildings Designed with Old and New Seismic Provisions for Mexico City. Eng. Struct. 2021, 232, 111803. [Google Scholar] [CrossRef]
- Guerrero, H.; Teran-Gilmore, A.; Zamora, E.; Escobar, J.A.; Gómez, R. Hybrid Simulation Tests of a Soft Storey Frame Building Upgraded with a Buckling-Restrained Brace (BRB). Exp. Tech. 2020, 44, 553–572. [Google Scholar] [CrossRef]
- Jara, J.M.; Florio, E.; Olmos, B.A. Seismic Evaluation and Reliability Index of Soft Story Buildings on Flexible Soils by Using Old and Current Seismic Regulations in Mexico. Eng. Struct. 2023, 286, 116048. [Google Scholar] [CrossRef]
- TBEC. Turkey Building Earthquake Code, Republic of Turkey Ministry of Interior Disaster and Emergency Management Authority; TBEC: Ankara, Turkey, 2018. [Google Scholar]
- ASCE. Minimum Design Loads for Buildings and Other Structures; ASCE/SEI 7-22; ASCE: Reston, VA, USA, 2022. [Google Scholar]
- Ulutas, H.; Koyuncu, E. Bant Pencere Kaynaklı Kısa Kolon Oluşumunun Yumuşak Kat Düzensizliği Üzerindeki Etkisinin İncelenmesi. In Proceedings of the 10th International Congress on Engineering, Architecture and Design, Istanbul, Turkey, 23–24 November 2022; pp. 329–335. [Google Scholar]















| Earthquake | Magnitude (Mw) | Impacts of the Earthquake |
|---|---|---|
| 17 August 1999, Gölcük Earthquake | 7.4 | A total of 17.480 people died, and 23.781 were injured. In addition, 35.180 residences and 5.770 workplaces collapsed or were severely damaged. |
| 1 May 2003, Bingöl Earthquake | 6.4 | A total of 176 people died, and 521 were injured. In addition, 1.351 buildings were collapsed or severely damaged. |
| 23 October 2011, Van Earthquake | 7.2 | A total of 644 people died, and 1.966 were injured. In addition, 2.262 buildings collapsed; 5.739 buildings were damaged and became uninhabitable. |
| 24 January 2020, Elazığ-Sivrice Earthquake | 6.8 | A total of 41 people died, and 1.607 were injured. In addition, 547 buildings collapsed, and 6.270 buildings were severely damaged. |
| 30 October 2020, İzmir Earthquake | 6.9 | A total of 119 people died in Türkiye and Greece, and 1.053 were injured. In addition, 124 buildings were severely damaged or collapsed. |
| 6 February 2023, Kahramanmaraş Earthquakes | 7.7 and 7.6 | According to official figures, at least 50.783 people in Türkiye and 8.476 in Syria died, and over 122.000 were injured. In addition, 227.027 buildings were identified as having collapsed or having been severely damaged. |
| FP1-O | FP1-CO | FP1-MF | FP1-SW |
| It represents buildings with a regular axis layout. | It is the version of the FP1-O formwork plan with a closed overhang. | It is the version of the FP1-O formwork plan with a mezzanine floor. | It is the version of the FP1-O formwork plan with an added reinforced concrete shear wall in the y-direction. It has torsional irregularity. |
| FP2-O | FP2-CO | FP2-MF | FP2-SW |
| It represents buildings with an irregular axis layout. | It is the version of the FP2-O formwork plan with a closed overhang. | It is the version of the FP2-O formwork plan with a mezzanine floor. | It is the version of the FP2-O formwork plan with an added reinforced concrete shear wall in the y-direction. It has torsional irregularity. |
| Number of Storeys | Long Direction Dimensions of the Column Sections (cm) |
|---|---|
| 2 | 45 |
| 3 | 50 |
| 4 | 55 |
| 5 | 60 |
| 6 | 65 |
| 7 | 70 |
Disclaimer/Publisher’s Note: The statements, opinions and data contained in all publications are solely those of the individual author(s) and contributor(s) and not of MDPI and/or the editor(s). MDPI and/or the editor(s) disclaim responsibility for any injury to people or property resulting from any ideas, methods, instructions or products referred to in the content. |
© 2024 by the author. Licensee MDPI, Basel, Switzerland. This article is an open access article distributed under the terms and conditions of the Creative Commons Attribution (CC BY) license (https://creativecommons.org/licenses/by/4.0/).
Share and Cite
Ulutaş, H. Investigation of the Causes of Soft-Storey and Weak-Storey Formations in Low- and Mid-Rise RC Buildings in Türkiye. Buildings 2024, 14, 1308. https://doi.org/10.3390/buildings14051308
Ulutaş H. Investigation of the Causes of Soft-Storey and Weak-Storey Formations in Low- and Mid-Rise RC Buildings in Türkiye. Buildings. 2024; 14(5):1308. https://doi.org/10.3390/buildings14051308
Chicago/Turabian StyleUlutaş, Hakan. 2024. "Investigation of the Causes of Soft-Storey and Weak-Storey Formations in Low- and Mid-Rise RC Buildings in Türkiye" Buildings 14, no. 5: 1308. https://doi.org/10.3390/buildings14051308
APA StyleUlutaş, H. (2024). Investigation of the Causes of Soft-Storey and Weak-Storey Formations in Low- and Mid-Rise RC Buildings in Türkiye. Buildings, 14(5), 1308. https://doi.org/10.3390/buildings14051308

