Evaluation of Ground Motion Damage Potential with Consideration of Compound Intensity Measures Using Principal Component Analysis and Canonical Correlation Analysis
Abstract
1. Introduction
2. Principles of PCA and CCA
2.1. Principle Component Analysis
2.2. Canonical Correlation Analysis
3. Selection of Ground Motions and Intensity Measures
3.1. Selection of Ground Motions
3.2. Selection of Intensity Measures
3.3. Analysis of Correlation between IMs
4. Evaluation of Damage Potential of SDOF Systems Using PCA and CCA
4.1. SDOF Systems
4.2. Analysis of Correlation between IMs and DMs
4.3. Evaluation of Damage Potential by Analysis of Correlation between Principal Components of IMs and DMs
4.4. Evaluation of Damage Potential by Analysis of Canonical Correlation between IMs and DMs
4.5. The Effect of Canonical Correlation Analysis
5. Evaluation of Damage Potential of MDOF Systems
5.1. MDOF Systems
5.2. Determination of the Compound IMs for Representing the Ground Motion Damage Potential
6. Conclusions
- The intragroup IMs exhibit significant correlation among them in the logarithmic scale. Specifically, the acceleration-related indices demonstrate high correlation, as do those associated with velocity-related indices, while the displacement-related indices are highly correlated among themselves. Conversely, the intergroup IMs reveal low correlation, as the correlation between the acceleration-related indices with both velocity-related indices and displacement-related indices is weak. However, it is observed that the correlation between the velocity-related indices and displacement-related indices demonstrates a relatively higher improvement.
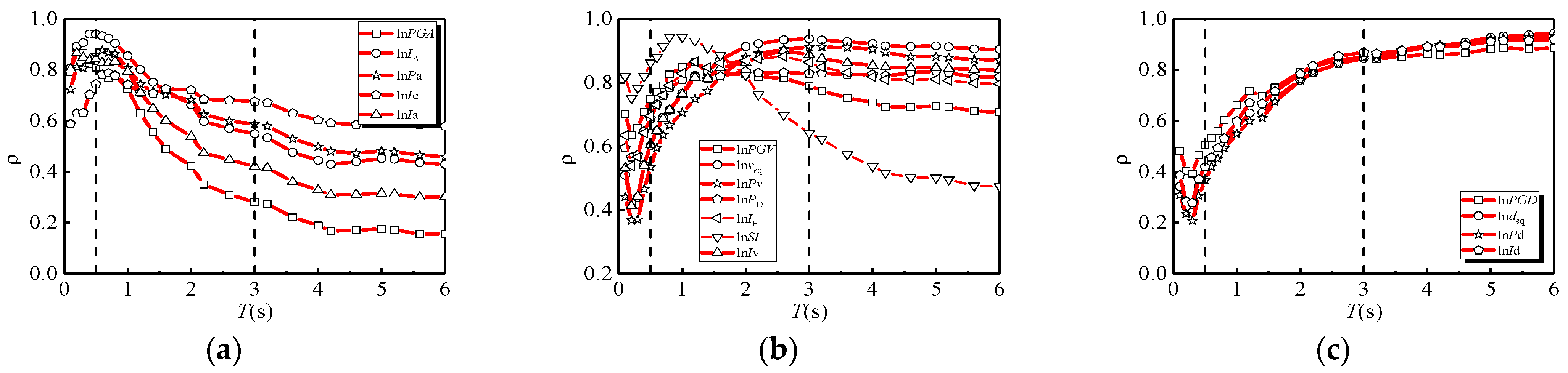
- For the SDOF systems, the acceleration-related indices (, , , and ) demonstrate a notable correlation with the DMs within the acceleration region (T = 0–0.5 s). Similarly, the velocity-related indices (, , , , , and ) exhibit a high correlation with the DMs within the intermediate period (T = 0.5–3 s). Furthermore, the displacement-related indices (, , and ) correlate significantly with the DMs during the long period ().
- The compound IM () determined through the method of PCA proves to be more adept at capturing the characteristics of ground motions. The correlation between the compound IMs and DMs for the SDOF systems is higher and more stable for all the frequency ranges compared to that of a single IM. This observation serves as a crucial foundation for selecting the optimal IM in earthquake engineering research.
- The compound IMs determined through the method of CCA exhibit a high correlation with the DMs for the SDOF systems. Notably, the canonical coefficients of , and have larger changes over the entire frequency range, serving as control variables in the canonical correlation analysis. It is observed that to enhance the canonical correlation coefficient , there is a decrease in the canonical coefficients of with an increase in those of , and vice versa.
- The canonical correlation coefficient varies concerning different models, R values and ground motions for the SDOF systems. Generally, it increases with an elevated R for the same model at a given period T and shows minimal variation for the different model at the same R. Notably, the undergoes significant changes in the nonlinear analysis results under different ground motions. However, it consistently remains high for all frequency regions, irrespective of the changes applied.
- The compound IMs determined through the method of CCA serve as potential measures for assessing the damage potential of ground motions for the MDOF systems. The correlation of with the OSDI surpasses that of individual candidate IMs and . This approach proves valuable in the selection of unfavorable ground motions and in predicting the response of nonlinear analysis.
Author Contributions
Funding
Data Availability Statement
Conflicts of Interest
Abbreviations
| Abbreviation | Descriptions |
| PCA | Principal component analysis |
| CCA | Canonical correlation analysis |
| IM | Intensity measure |
| DM | Demand measure |
| PGA | Peak ground acceleration |
| IA | Arias intensity |
| asq | Square acceleration |
| ars | Root square acceleration |
| Pa | Mean square acceleration |
| arms | Root-mean square acceleration |
| Ic | Characteristic intensity |
| Ia | Riddell acceleration intensity |
| PGV | Peak ground velocity |
| vsq | Square velocity |
| vrs | Root square velocity |
| Pv | Mean square velocity |
| vrms | Root mean square velocity |
| PD | Potential destructiveness |
| IF | Fajfar intensity |
| SI | Housner spectrum intensity |
| IV | Riddell velocity intensity |
| PGD | Peak ground displacement |
| dsq | Square displacement |
| drs | Root square displacement |
| Pd | Mean square displacement |
| drms | Root mean square displacement |
| Id | Riddell displacement intensity |
References
- Porter, K.A. An overview of PEER’s performance-based earthquake engineering methodology. In Proceedings of the Ninth International Conference on Applications of Statistics and Probability in Civil Engineering, Francisco, CA, USA, 6–9 July 2003. [Google Scholar]
- Giovenale, P.; Cornell, C.A.; Esteva, L. Comparing the adequacy of alternative ground motion intensity measures for the estimation of structural responses. Earthq. Eng. Struct. Dyn. 2004, 33, 951–979. [Google Scholar] [CrossRef]
- Housner, G.W. Measures of Severity of Ground Shaking. In Proceedings of the U.S. Conference on Earthquake Engineering, Ann Arbor, MI, USA, 18–20 June 1975; pp. 25–33. [Google Scholar]
- Housner, G.W.; Jennings, P.C. Earthquake Design Criteria; Earthquake Engineering Research Institute: Berkeley, CA, USA, 1982. [Google Scholar]
- Zhai, C.H.; Xie, L.L. A new approach of selecting real input ground motions for seismic design: The most unfavourable real seismic design ground motions. Earthq. Eng. Struct. Dyn. 2007, 36, 1009–1027. [Google Scholar] [CrossRef]
- Kurama, Y.C.; Farrow, K.T. Ground motion scaling methods for different site conditions and structure characteristics. Earthq. Eng. Struct. Dyn. 2003, 32, 2425–2450. [Google Scholar] [CrossRef]
- Akkar, S.; Özen, Ö. Effect of peak ground velocity on deformation demands for SDOF systems. Earthq. Eng. Struct. Dyn. 2005, 34, 1551–1571. [Google Scholar] [CrossRef]
- Elenas, A.; Meskouris, K. Correlation study between seismic acceleration parameters and damage indices of structures. Eng. Struct. 2001, 23, 698–704. [Google Scholar] [CrossRef]
- Akkar, S.; Sucuoğlu, H.; Yakut, A. Displacement-based fragility functions for low- and midrise ordinary concrete buildings. Earthq. Spectra 2005, 21, 901–927. [Google Scholar] [CrossRef]
- Vamvatsikos, D.; Cornell, C.A. Developing efficient scalar and vector intensity measures for IDA capacity estimation by incorporating elastic spectral shape information. Earthq. Eng. Struct. Dyn. 2005, 34, 1573–1600. [Google Scholar] [CrossRef]
- Luco, N.; Cornell, C.A. Structure-specific scalar intensity measures for near-source and ordinary earthquake ground motions. Earthq. Spectra 2007, 23, 357–392. [Google Scholar] [CrossRef]
- Shome, N.; Cornell, C.A. Probabilistic Seismic Demand Analysis of Non-Linear Structures; Report No. RMS-35; RMS Program Stanford University: Stanford, CA, USA, 1999. [Google Scholar]
- Cordova, P.P.; Deierlein, G.G.; Mehanny, S.S.F.; Cornell, C.A. Development of a two-parameter seismic intensity measure and probabilistic assessment procedure. In The Second US-Japan Workshop on Performance-Based Earthquake Engineering Methodology for Reinforced Concrete Building Structures; Pacific Earthquake Engineering Research Center, University of California: Berkeley, CA, USA, 2000; pp. 187–206. [Google Scholar]
- Bianchini, M.; Diotallevi, P.P.; Baker, J.W. Prediction of inelastic structural response using an average of spectral accelerations. In Proceedings of the 10th International Conference on Structural Safety and Reliability (ICOSSAR09), Osaka, Japan, 13–17 September 2009; pp. 13–17. [Google Scholar]
- Zhou, Z.; Yu, X.H.; Lu, D.G. Identifying Optimal Intensity Measures for Predicting Damage Potential of Mainshock–Aftershock Sequences. Appl. Sci. 2020, 10, 6795. [Google Scholar] [CrossRef]
- Padgett, J.E.; Nielson, B.G.; DesRoches, R. Selection of optimal intensity measures in probabilistic seismic demand models of highway bridge portfolios. Earthq. Eng. Struct. Dyn. 2008, 37, 711–725. [Google Scholar] [CrossRef]
- Mehanny, S.S. A broad-range power-law form scalar-based seismic intensity measure. Eng. Struct. 2009, 31, 1354–1368. [Google Scholar] [CrossRef]
- Hariri-Ardebili, M.; Saouma, V. Probabilistic seismic demand model and optimal intensity measure for concrete dams. Struct. Saf. 2016, 59, 67–85. [Google Scholar] [CrossRef]
- Kostinakis, K.; Athanatopoulou, A.; Morfidis, K. Correlation between ground motion intensity measures and seismic damage of 3D R/C buildings. Eng. Struct. 2015, 82, 151–167. [Google Scholar] [CrossRef]
- Kostinakis, K.; Athanatopoulou, A. Incremental dynamic analysis applied to assessment of structure-specific earthquake IMs in 3D R/C buildings. Eng. Struct. 2016, 125, 300–312. [Google Scholar] [CrossRef]
- Zavala, N.; Bojórquez, E.; Barraza, M.; Bojórquez, J.; Villela, A.; Campos, J.; Torres, J.; Sánchez, R.; Carvajal, J. Vector-valued intensity measures based on spectral shape to predict seismic fragility surfaces in reinforced concrete buildings. Buildings 2023, 13, 137. [Google Scholar] [CrossRef]
- Ciano, M.; Gioffrè, M.; Grigoriu, M. A novel approach to improve accuracy in seismic fragility analysis: The modified intensity measure method. Probabilistic Eng. Mech. 2022, 69, 103301. [Google Scholar] [CrossRef]
- Yang, D.; Pan, J.; Li, G. Non-structure-specific intensity measure parameters and characteristic period of near-fault ground motions. Earthq. Eng. Struct. Dyn. 2009, 38, 1257–1280. [Google Scholar] [CrossRef]
- Riddell, R.; Newmark, N.M. Statistical Analysis of the Response of Nonlinear Systems Subjected to Earthquake; University of Illinois at Urbana-Champaign: Champaign County, IL, USA, 1979; p. 468. [Google Scholar]
- Riddell, R.; Hidalgo, P.; Cruz, E. Response modification factors for earthquake resistant design of short period buildings. Earthq. Spectra 1989, 5, 571–590. [Google Scholar] [CrossRef]
- Riddell, R.; Garcia, J.E. Hysteretic energy spectrum and damage control. Earthq. Eng. Struct. Dyn. 2001, 30, 1791–1816. [Google Scholar] [CrossRef]
- Riddell, R.; Garcia, J.E.; Garces, E. Inelastic deformation response of SDOF systems subjected to earthquakes. Earthq. Eng. Struct. Dyn. 2002, 31, 515–538. [Google Scholar] [CrossRef]
- Riddell, R. On ground motion intensity indices. Earthq. Spectra 2007, 23, 147–173. [Google Scholar] [CrossRef]
- Zhai, C.H.; Xie, L.L.; Li, S. A new method for estimating strong ground motion damage potential for structures. In Proceedings of the Ninth International Symposium on Structural Engineering for Young Experts (ISSEYE-9), Xiamen, China, 18–21 August 2006; pp. 758–762. [Google Scholar]
- Zhai, C.; Chang, Z.; Li, S.; Xie, L. Selection of the most unfavorable real ground motions for low-and mid-rise RC frame structures. J. Earthq. Eng. 2013, 17, 1233–1251. [Google Scholar] [CrossRef]
- Ozmen, H.B. Developing hybrid parameters for measuring damage potential of earthquake records: Case for RC building stock. Bull. Earthq. Eng. 2017, 15, 3083–3101. [Google Scholar] [CrossRef]
- Chen, Z.; Yu, W.; Zhu, H.; Xie, L. Ranking method of the severest input ground motion for underground structures based on composite ground motion intensity measures. Soil Dyn. Earthq. Eng. 2023, 168, 107828. [Google Scholar] [CrossRef]
- Liu, T.-T.; Lu, D.-G.; Yu, X.-H. Development of a compound intensity measure using partial least-squares regression and its statistical evaluation based on probabilistic seismic demand analysis. Soil Dyn. Earthq. Eng. 2019, 125, 105725. [Google Scholar] [CrossRef]
- Liu, B.; Hu, J.; Xie, L. Exploratory factor analysis-based method to develop compound intensity measures for predicting potential structural damage of ground motion. Bull. Earthq. Eng. 2022, 20, 7107–7135. [Google Scholar] [CrossRef]
- Chen, C.J.; Geng, P.; Gu, W.Q.; Lu, Z.; Ren, B. Assessment of tunnel damage potential by ground motion using canonical correlation analysis. Earthq. Struct. 2022, 23, 259–269. [Google Scholar]
- Narasimhan, S.; Wang, M.; Pandey, M. Principal component analysis for predicting the response of nonlinear base-isolated buildings. Earthq. Spectra 2009, 25, 93–115. [Google Scholar] [CrossRef]
- Jolliffe, I.T. Principal Component Analysis; Springer: New York, NY, USA, 1986. [Google Scholar]
- Liu, T.-T.; Yu, X.-H.; Lu, D.-G. An approach to develop compound intensity measures for prediction of damage potential of earthquake records using canonical correlation analysis. J. Earthq. Eng. 2020, 24, 1747–1770. [Google Scholar] [CrossRef]
- Hotelling, H. The most predictable criterion. J. Educ. Psychol. 1935, 26, 139–142. [Google Scholar] [CrossRef]
- Lee, K.; Yoo, J.K. Canonical correlation analysis through linear modeling. Aust. N. Z. J. Stat. 2014, 56, 59–72. [Google Scholar] [CrossRef]
- Baker, J.W.; Lin, T.; Shahi, S.K.; Jayaram, N. New Ground Motion Selection Procedures and Selected Motions for the PEER Transportation Research Program; Peer Report; Pacific Earthquake Engineering Research Center, University of California: Berkeley, CA, USA, 2011. [Google Scholar]
- Chiou, B.; Darragh, R.; Gregor, N.; Silva, W. NGA project strong-motion database. Earthq. Spectra 2008, 24, 23–44. [Google Scholar] [CrossRef]
- Wang, Z.; Padgett, J.E.; Dueñas-Osorio, L. Risk-consistent calibration of load factors for the design of reinforced concrete bridges under the combined effects of earthquake and scour hazards. Eng. Struct. 2014, 79, 86–95. [Google Scholar] [CrossRef]
- Ramanathan, K.; Padgett, J.E.; DesRoches, R. Temporal evolution of seismic fragility curves for concrete box-girder bridges in California. Eng. Struct. 2015, 97, 29–46. [Google Scholar] [CrossRef]
- Konstantinidis, D.; Nikfar, F. Seismic response of sliding equipment and contents in base-isolated buildings subjected to broadband ground motions. Earthq. Eng. Struct. Dyn. 2015, 44, 865–887. [Google Scholar] [CrossRef]
- Hosseini, R.; Rashidi, M.; Bulajić, B.Đ.; Arani, K.K. Multi-objective optimization of three different SMA-LRBs for seismic protection of a benchmark highway bridge against real and synthetic ground motions. Appl. Sci. 2020, 10, 4076. [Google Scholar] [CrossRef]
- Cantagallo, C.; Camata, G.; Spacone, E.; Corotis, R. The variability of deformation demand with ground motion intensity. Probabilistic Eng. Mech. 2012, 28, 59–65. [Google Scholar] [CrossRef]
- Kramer, S.L. Geotechnical Earthquake Engineering; Prentice-Hall Inc.: Englewood Cliffs, NJ, USA, 1996. [Google Scholar]
- Ozmen, H.B.; Inel, M. Damage potential of earthquake records for RC building stock. Earthq. Struct. 2016, 10, 1315–1330. [Google Scholar] [CrossRef]
- Xu, M.-Y.; Lu, D.-G.; Yu, X.-H.; Jia, M.-M. Selection of optimal seismic intensity measures using fuzzy-probabilistic seismic demand analysis and fuzzy multi-criteria decision approach. Soil Dyn. Earthq. Eng. 2023, 164, 107615. [Google Scholar]
- Chopra, A.K. Dynamics of Structures; Prentice Hall Inc.: Englewood Cliffs, NJ, USA, 1995. [Google Scholar]
- Morfidis, K.; Kostinakis, K. Seismic parameters’ combinations for the optimum prediction of the damage state of R/C buildings using neural networks. Adv. Eng. Softw. 2017, 106, 1–16. [Google Scholar] [CrossRef]
- Ghotbi, A.R.; Taciroglu, E. Ground motion selection based on a multi-intensity-measure conditioning approach with emphasis on diverse earthquake contents. Earthq. Eng. Struct. Dyn. 2021, 50, 1378–1394. [Google Scholar] [CrossRef]
- Ye, L.; Ma, Q.; Miao, Z.; Guan, H.; Zhuge, Y. Numerical and comparative study of earthquake intensity indices in seismic analysis. Struct. Des. Tall Spec. Build. 2013, 22, 362–381. [Google Scholar] [CrossRef]
- Haselton, C.B.; Liel, A.B.; Deierlein, G.G.; Dean, B.S.; Chou, J.H. Seismic collapse safety of reinforced concrete buildings: I. assessment of ductile moment frames. J. Struct. Eng. 2011, 137, 481–491. [Google Scholar] [CrossRef]
- Liel, A.B.; Haselton, C.B.; Deierlein, G.G. Seismic collapse safety of reinforced concrete buildings: II. comparative assessment of non-ductile and ductile moment frames. J. Struct. Eng. 2011, 137, 492–502. [Google Scholar] [CrossRef]
- Nasrollahzadeh, K.; Hariri-Ardebili, M.A.; Kiani, H.; Mahdavi, G. An integrated sensitivity and uncertainty quantification of fragility functions in RC frames. Sustainability 2022, 14, 13082. [Google Scholar] [CrossRef]
- Ibarra, L.F.; Medina, R.A.; Krawinkler, H. Hysteretic models that incorporate strength and stiffness deterioration. Earthq. Eng. Struct. Dyn. 2005, 34, 1489–1511. [Google Scholar] [CrossRef]
- Park, Y.; Ang, A.H.; Wen, Y.K. Seismic damage analysis of reinforced concrete buildings. J. Struct. Eng. 1985, 111, 740–757. [Google Scholar] [CrossRef]
- Kunnath, S.K.; Reinhorn, A.M.; Lobo, R.F. IDARC Version 3.0: A Program for the Inelastic Damage Analysis of Reinforced Concrete Structures; National Center for Earthquake Engineering Research: Buffalo, NY, USA, 1992. [Google Scholar]















| The Model | Material | The Parameters of Material Characteristics |
|---|---|---|
| Model 1 | EPP | is the elastic tangential stiffness is the yield displacement |
| Model 2 | Steel01 | is the yield force is the elastic tangential stiffness b = 0.05 is the strain hardening ratio |
| Model 3 | Hysteretic | are the yield displacement and force are the strain hardening displacement and force are the negative of are the negative of does not consider the pinching effect the pinching factor for deformation and force during reloading are set to 1 |
| Model 4 | Hysteretic | the parameters are the same as Model 3 considers the pinching effect the pinching factor for deformation and force during reloading are set to 0.8 and 0.2, respectively |
| Conditions | GMs | R | The Model Number |
|---|---|---|---|
| Case 1 | set #1B | 2 | Model 1 |
| Case 2 | set #1B | 3 | Model 1 |
| Case 3 | set #1B | 4 | Model 1 |
| Case 4 | set #1B | 5 | Model 1 |
| Case 5 | set #1B | 2 | Model 2 |
| Case 6 | set #1B | 2 | Model 3 |
| Case 7 | set #1B | 2 | Model 4 |
| Case 8 | set #1B | 5 | Model 4 |
| Case 9 | set #1A | 5 | Model 4 |
| Story | PGV | |||||||||||
|---|---|---|---|---|---|---|---|---|---|---|---|---|
| four | 0.716 | 0.827 | 0.800 | 0.784 | 0.873 | 0.837 | 0.833 | 0.896 | 0.804 | 0.756 | 0.836 | 0.900 |
| eight | 0.590 | 0.755 | 0.773 | 0.806 | 0.861 | 0.890 | 0.860 | 0.873 | 0.853 | 0.827 | 0.873 | 0.917 |
Disclaimer/Publisher’s Note: The statements, opinions and data contained in all publications are solely those of the individual author(s) and contributor(s) and not of MDPI and/or the editor(s). MDPI and/or the editor(s) disclaim responsibility for any injury to people or property resulting from any ideas, methods, instructions or products referred to in the content. |
© 2024 by the authors. Licensee MDPI, Basel, Switzerland. This article is an open access article distributed under the terms and conditions of the Creative Commons Attribution (CC BY) license (https://creativecommons.org/licenses/by/4.0/).
Share and Cite
Liu, T.; Lu, D. Evaluation of Ground Motion Damage Potential with Consideration of Compound Intensity Measures Using Principal Component Analysis and Canonical Correlation Analysis. Buildings 2024, 14, 1309. https://doi.org/10.3390/buildings14051309
Liu T, Lu D. Evaluation of Ground Motion Damage Potential with Consideration of Compound Intensity Measures Using Principal Component Analysis and Canonical Correlation Analysis. Buildings. 2024; 14(5):1309. https://doi.org/10.3390/buildings14051309
Chicago/Turabian StyleLiu, Tingting, and Dagang Lu. 2024. "Evaluation of Ground Motion Damage Potential with Consideration of Compound Intensity Measures Using Principal Component Analysis and Canonical Correlation Analysis" Buildings 14, no. 5: 1309. https://doi.org/10.3390/buildings14051309
APA StyleLiu, T., & Lu, D. (2024). Evaluation of Ground Motion Damage Potential with Consideration of Compound Intensity Measures Using Principal Component Analysis and Canonical Correlation Analysis. Buildings, 14(5), 1309. https://doi.org/10.3390/buildings14051309

