Sustainable Seismic Energy Assessment of Italian Residential Heritage in Reinforced Concrete with Masonry Infills: An HBIM Evaluation Tool
Abstract
1. Introduction
2. Historical Evolution of the Infill
3. Seismic Energy Requirements
4. Methodology
5. Infill Typology
6. Seismic and Energy Integrated Methodology
6.1. Mapping
6.2. Modeling
6.3. Structural Analyses
- AB = elastic section;
- BC = plastic section;
- CD = breakage with sudden decrease in strength and stiffness;
- DE = residual resistance without physical significance.
- ;
- = length of the wall;
- ;
- = elastic modulus of the R.C.;
- = elastic modulus of masonry according to diagonal compression test;
- = thickness of the wall;
- = moment of inertia of the section;
- = diagonal strut width, evaluated using the Klinger and Bertero model.
- Initial non-cracked section stiffness;
- Cracking load;
- Secant stiffness of the second section;
- Maximum load;
- Stiffness of the softening section;
- Residual load after breakage.
6.4. Energetic Analysis
7. Results and Discussion
7.1. Seismic Results
7.2. Energy Results
8. Key Aspects of the HBIM Implementation
8.1. Seismic Energy Results
8.2. Interoperability
9. Conclusions
- From an energy evaluation, the masonry infill Type 2 appears to have the lowest annual energy dispersion, followed by Types 1, 4, and 3. In particular, the masonry infill Type 2, consisting of two layers of hollow bricks, shows lower annual dispersion values, and thus a better performance, in all the locations considered during this study. Specifically, in L’Aquila, in Climatic Zone E, Type 2 has an annual dispersion of 27,227.22 kWh; in Catania, in Climatic Zone B, it disperses 18,739.23 kWh in a year, which is the lowest value recorded in our analyses; in Pisa, in Climatic Zone D, it disperses 27,819.47 kWh; and finally, in Como, in Climatic Zone F, it disperses 45,579.88 kWh. Thus, averaging across all four cities analyzed, it results in a dispersion of 29,841.45 kWh over the course of a year, significantly lower than the average annual dispersion values recorded for the Type 1 infill, consisting of a single layer of hollow bricks with an average dispersion of 35,846.99 kWh, for the Type 3 infill, made solely of solid bricks with an average dispersion of 36,586.96 kWh, and for the Type 4 infill, which consists of one layer of solid bricks and one layer of hollow bricks with an air cavity between the two layers, dispersing an average of 41,354.08 kWh.
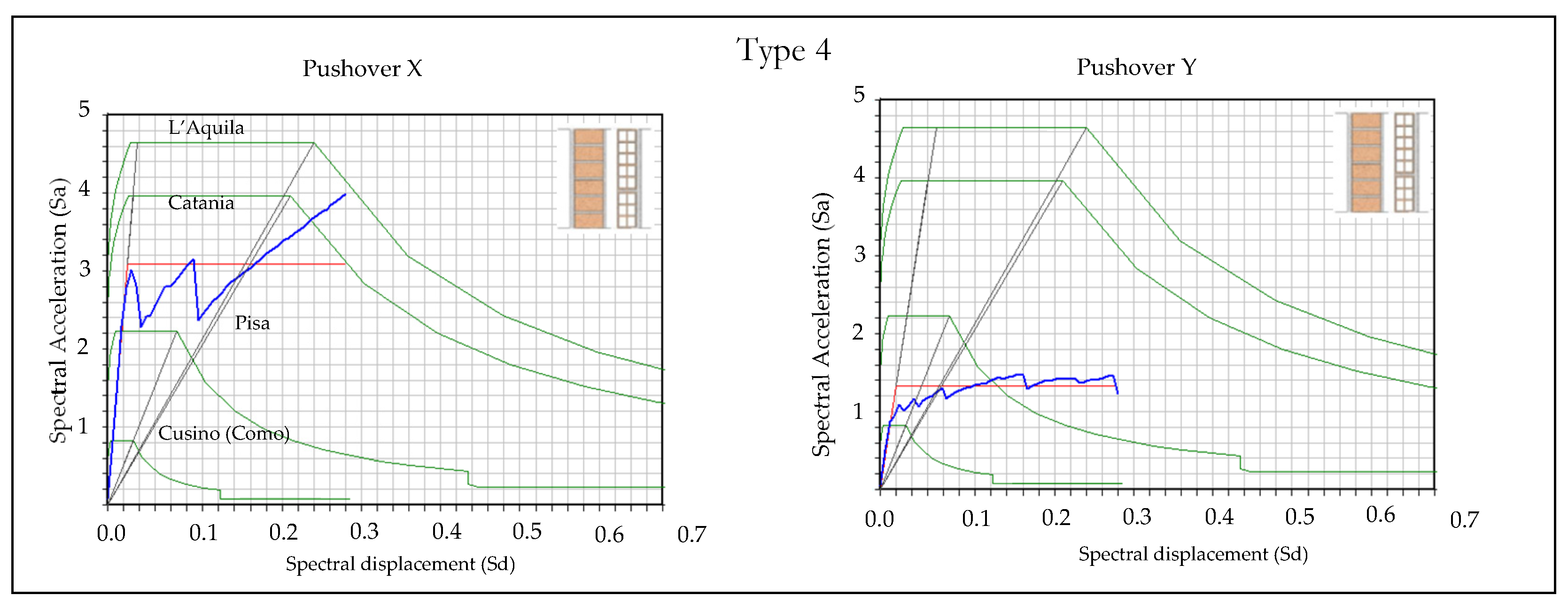
- From a seismic evaluation, the cities of L’Aquila and Catania present a higher seismic demand compared to Cusino and Pisa. The pushover curves for the four types of infill walls were calculated in both the X and Y directions.
Author Contributions
Funding
Data Availability Statement
Conflicts of Interest
References
- Masi, A.; Manfredi, V.; Ventura, G. Progettazione Integrata di Interventi per il Miglioramento Delle Prestazioni Sismiche e Termiche di Edifici Esistenti in c.a. 10. Available online: https://www.ingenio-web.it/articoli/progettazione-integrata-di-interventi-per-il-miglioramento-delle-prestazioni-sismiche-e-termiche-di-edifici-esistenti-in-c-a/ (accessed on 11 February 2016).
- Requena-Garcia-Cruz, M.-V.; Díaz-Borrego, J.; Romero-Sánchez, E.; Morales-Esteban, A.; Campano, M.-A. Assessment of Integrated Solutions for the Combined Energy Efficiency Improvement and Seismic Strengthening of Existing URM Buildings. Buildings 2022, 12, 1276. [Google Scholar] [CrossRef]
- Colucci, E.; De Ruvo, V.; Lingua, A.; Matrone, F.; Rizzo, G. HBIM-GIS Integration: From IFC to CityGML Standard for Damaged Cultural Heritage in a Multiscale 3D GIS. Appl. Sci. 2020, 10, 1356. [Google Scholar] [CrossRef]
- Sammartano, G.; Avena, M.; Fillia, E.; Spanò, A. Integrated HBIM-GIS Models for Multi-Scale Seismic Vulnerability Assessment of Historical Buildings. Remote Sens. 2023, 15, 833. [Google Scholar] [CrossRef]
- De Angelis, A.; Pecce, M.R. The Structural Identification of the Infill Walls Contribution in the Dynamic Response of Framed Buildings. Struct. Control Health Monit. 2019, 26, e2405. [Google Scholar] [CrossRef]
- Beccu, M.; Paris, S. L’Involucro Architettonico Contemporaneo Tra Linguaggio e Costruzione; Roma Design Più: Rome, Italy, 2009. [Google Scholar]
- Poretti, S. Modernismi Italiani. In Architettura e Costruzione Nel Novecento; Arti Visive, Archeologia, Urbanistica; Gangemi Editore: Rome, Italy, 2008. [Google Scholar]
- Gigliarelli, E.; Calcerano, F.; Cessari, L. Heritage Bim, Numerical Simulation and Decision Support Systems: An Integrated Approach for Historical Buildings Retrofit. Energy Procedia 2017, 133, 135–144. [Google Scholar] [CrossRef]
- Available online: http://dati-censimentopopolazione.istat.it/Index.Aspx (accessed on 9 October 2011).
- Manfredi, V.; Masi, A. Seismic Strengthening and Energy Efficiency: Towards an Inte-Grated Approach for the Rehabilitation of Existing RC. Buildings 2018, 8, 36. [Google Scholar] [CrossRef]
- Ministero delle Infrastrutture e dei Trasporti Istruzioni per L’Applicazione dell’Aggiornamento delle “Norme Tecniche per le Costruzioni” di cui al Decreto Ministeriale 17 Jenuary 2018. 2019. Available online: https://www.gazzettaufficiale.it/eli/id/2019/02/11/19A00855/sg (accessed on 17 January 2018).
- Presidential Decree n. 412, 26 August 1993. Regolamento Recante Norme per la Progettazione, L’Installazione, L’Esercizio e la Manutenzione Degli Impianti Termici Degli Edifici Ai Fini del Contenimento dei Consumi di Energia, in Attuazione Dell’Art. 4, Comma 4, Della Legge 9 Gennaio 1991, n. 10; n. 242, 14-10-1993–S.O. n. 96; Gazzetta Ufficiale: Rome, Italy, 1993. Available online: https://www.normattiva.it/uri-res/N2Ls?urn:nir:presidente.repubblica:decreto:1993-08-26;412 (accessed on 28 April 2022). (In Italian).
- TerMus-Plus. Acca Software. Available online: https://www.acca.it/software-analisi-simulazione-energetica-dinamica-edifici (accessed on 12 December 2021).
- Dudine, A. Criticità Degli Edifici a Telaio in c.a Nei Confronti Delle Azioni Sismiche: Caso Studio e Analisi Numeriche; FIBRE NET-Edilizia: Pavia di Udine, Italy, 2021. [Google Scholar]
- Gattesco, N. Criticità Degli Edifici a Telaio in Calcestruzzo Armato Soggetti ad Eccitazione Sismica. 2021, Volume 8. Available online: https://www.ingenio-web.it/articoli/criticita-degli-edifici-a-telaio-in-calcestruzzo-armato-soggetti-ad-eccitazione-sismica/ (accessed on 12 January 2021).
- Ricci, P.; De Luca, F.; Verderame, G.M. 6th April 2009 L’Aquila Earthquake, Italy: Re-Inforced Concrete Building Performance. Bull. Earthq. Eng. 2011, 9, 285–305. [Google Scholar] [CrossRef]
- Corrado, V.; Ballarini, I.; Paolo Corgnati, S. Building Typology Brochure—Italy. Fascicolo Sulla Tipologia Edilizia Italiana; Tabula Episcope, Politecnico di Torino—Dipartimento Energia, Gruppo di Ricerca TEBE: Torino, Italy, 2014; ISBN 978-88-8202-065-1. [Google Scholar]
- Moschella, A.; Gagliano, A.; Faro, A.L.; Mondello, A.; Salemi, A.; Sanfilippo, G. A Methodology for an Integrated Approach for Seismic and Energy Refurbishment of Historic Buildings in Mediterranean Area. Sustainability 2018, 10, 2448. [Google Scholar] [CrossRef]
- Mazzarella, L. Energy Retrofit of Historic and Existing Buildings. The Legislative and Regulatory Point of View. Energy Build. 2015, 95, 23–31. [Google Scholar] [CrossRef]
- Georgescu, E.-S.; Georgescu, M.S.; Macri, Z.; Marino, E.M.; Margani, G.; Meita, V.; Pana, R.; Cascone, S.M.; Petran, H.; Rossi, P.P.; et al. Seismic and Energy Renovation: A Review of the Code Requirements and Solutions in Italy and Romania. Sustainability 2018, 10, 1561. [Google Scholar] [CrossRef]
- Midas IT Midas Gen v 1.1 2019. Available online: https://www.midasoft.com/bridge-library/gen-midas-gen-and-design-2019-v1.1-release-new-features-1 (accessed on 12 December 2021).
- Autodesk Revit 2019—Fundamentals for Structure Learning Guide—Metric Units, 1st ed.; Ascent Center for Technical Knowledge; Autodesk: San Francisco, CA, USA, 2018.
- Sacks, R.; Eastman, C.; Lee, G.; Teicholz, P. BIM Handbook: A Guide to Building Information Modeling for Owners, Designers, Engineers, Contractors, and Facility Managers, 3rd ed.; John Wiley & Sons: Hoboken, NJ, USA, 2018; p. 688. ISBN 978-1-119-28755-1. [Google Scholar]
- Cardani, G.; Angjeliu, G. Considerazioni Sull’Interoperabilità tra Modelli BIM e L’Analisi Strutturale Degli Edifici Storici. 2017, Volume 7. Available online: https://re.public.polimi.it/handle/11311/1031407 (accessed on 1 January 2017).
- Capra, L. Modellazione Dei Tamponamenti in Muratura Nelle Analisi Sismiche Di Strutture a Telaio in Ca, 2007. Available online: https://www.cspfea.net/documenti-e-tutorial/modellazione-dei-tamponamenti-in-muratura-nelle-analisi-sismiche-di-strutture-a-telaio-in-ca/ (accessed on 12 December 2021).
- Cavaleri, L.; Fossetti, M.; Papia, M. Infilled Frames: Developments in the Evaluation of Cyclic Behaviour under Lateral Loads. Struct. Eng. Mech. 2005, 21, 469–494. [Google Scholar] [CrossRef]
- Kazemi, F.; Asgarkhani, N.; Jankowski, R. Probabilistic Assessment of SMRFs with Infill Masonry Walls Incorporating Nonlinear Soil-Structure Interaction. Bull. Earthq. Eng. 2022, 21, 503–534. [Google Scholar] [CrossRef]
- Haris, I.; Hortobágyi, Z. Different FEM Models of Reinforced Concrete Frames Stiffened by Infill Masonry for Lateral Loads. Period. Polytech. Civ. Eng. 2012, 56, 25. [Google Scholar] [CrossRef]
- Asteris, P. Finite Element Micro-Modeling of Infilled Frames. Electron. J. Struct. Eng. 2008, 8, 1–11. [Google Scholar] [CrossRef]
- Fardis, M.N.; Panagiotakos, T.B. Seismic Design and Response of Bare and Masonry-Infilled Reinforced Concrete Buildings Part I: Bare Structures. J. Earthq. Eng. 1997, 1, 219–256. [Google Scholar] [CrossRef]
- Fardis, M.N.; Panagiotakos, T.B. Seismic Design and Response of Bare and Masonry-Infilled Reinforced Concrete Buildings. Part II: Infilled Structures. J. Earthq. Eng. 1997, 1, 475–503. [Google Scholar] [CrossRef]
- Saiidi, M.; Sozen, M.A. Simple and Complex Models for Nonlinear Seismic Response of Reinforced Concrete Structures. University of Illinois Urbana-Champaign: Champaign, IL, USA, 1979. [Google Scholar]
- Analysis and Algorithm—Midas FEA—Advanced Nonlinear and Detail Analysis Program. Available online: https://pdfcoffee.com/midas-fea-analysis-algorithm-pdf-free.html (accessed on 13 November 2021).
- Analysis Manual—Midas FEA—Advanced Nonlinear and Detail Analysis Program. Available online: http://www.descargas.simulsoft-ingenieros.es/fea/documentacion/fea_description.pdf (accessed on 13 November 2021).
- Khan, R.M.A.; Shafighfard, T.; Ali, H.Q.; Mieloszyk, M.; Yildiz, M. Strength Prediction and Experimental Damage Investigations of Plain Woven CFRPs with Interacting Holes Using Multi-instrument Measurements. Polym. Compos. 2023, 44, 3594–3609. [Google Scholar] [CrossRef]
- Liu, B.; Liu, C.; Wang, X.; Kong, J.; Chang, Z. Numerical Modeling Technique of Damage Behavior of MaSonry-Infilled RC Frames. Appl. Sci. 2023, 13, 1521. [Google Scholar] [CrossRef]
- Baggio, C.; Sabbatini, V.; Santini, S.; Sebastiani, C. Comparison of Different Finite Element Model Updates Based on Experimental Onsite Testing: The Case Study of San Gio-vanni in Macerata. J. Civ. Struct. Health Monit. 2021, 11, 767–790. [Google Scholar] [CrossRef]
- Santini, S.; Baggio, C.; Sabbatini, V.; Sebastiani, C. Onsite Testing for Nonlinear Analysis of an Earthquake Damaged Historical Church in Italy. Appl. Sci. 2021, 11, 11755. [Google Scholar] [CrossRef]
- Oliveto, F.; Canterini, F. Influenza Delle Tamponature sul Comportamento Sismico Degli Edifici: Analisi non Lineare di Telai 2D/3D in Ambiente EE di Nòlian All-in-One. p. 53. Available online: http://www.softing.it/files/art_5_nolian_tamponature.pdf (accessed on 13 November 2021).
- Mohammad, A.F.; Faggella, M.; Gigliotti, R.; Spacone, E. Influenza Della Rottura A Taglio Delle Colonne Sulla Valutazione Sismica di Edifici Esisistenti in c.a. Con Tamponature. 2014, Volume 5. Available online: https://www.researchgate.net/publication/262730866_INFLUENZA_DELLA_ROTTURA_A_TAGLIO_DELLE_COLONNE_SULLA_VALUTAZIONE_SISMICA_DI_EDIFICI_ESISTENTI_IN_CA_CON_TAMPONATURE (accessed on 13 November 2021).
- Milanesi, R.R.; Morandi, P.; Manzini, C.F.; Magenes, G. Comportamento Sismico Fuori Piano di un Tamponamento Innovativo a Giunti Scorrevoli Tramite Test su Tavola Vibrante. p. 11. Available online: https://www.researchgate.net/publication/320443809_Comportamento_sismico_fuori_piano_di_un_tamponamento_innovativo_a_giunti_scorrevoli_tramite_test_su_tavola_vibrante (accessed on 13 November 2021).
- Tortolini, P.; Marcantonio, P.R.; Petrangeli, M. Valutazione Della Vulnerabilità Sismica Degli Edifici Esistenti: Il Complesso Ospedaliero Spirito Santo di Pescara, Abruzzo, 2009. Available online: https://www.academia.edu/download/51012455/Valutazione_della_vulnerabilit_sismica_d20161222-7236-1pqai6y.pdf (accessed on 13 November 2021).
- Masi, A.; Vona, M. Vulnerabilità Sismica di Edifici in c.a. Realizzati Negli Anni ‘70. 2004, 15. Available online: https://iris.unibas.it/handle/11563/29316 (accessed on 21 September 2021).
- Dalmasso, M.; Giordano, L.; di Trapani, F. Influenza Dei Tamponamenti in Muratura Sulla Robustezza Di Strutture Intelaiate in Calcestruzzo Armato. Ph.D. Dissertation, Polytechnic of Turin, Turin, Italy, 2017. [Google Scholar]
- Naqi, A.; Saito, T. Seismic Performance Evaluation of Steel Buildings with Oil Dampers Using Capacity Spectrum Method. Appl. Sci. 2021, 11, 2687. [Google Scholar] [CrossRef]
- Sivanantham, P.; Selvan, S.S.; Srinivasan, S.K.; Gurupatham, B.G.A.; Roy, K. Influence of Infill on Reinforced Concrete Frame Resting on Slopes under Lateral Loading. Buildings 2023, 13, 289. [Google Scholar] [CrossRef]
- Fajfar, P. Capacity Spectrum Method Based on Inelastic Demand Spectra. Earthq. Eng. Struct. Dyn. 1999, 28, 979–993. [Google Scholar] [CrossRef]
- Tanganelli, M.; Viti, S.; Mariani, V.; Pianigiani, M. Seismic Assessment of Existing RC Buildings under Alternative Ground Motion Ensembles Compatible to EC8 and NTC 2008. Bull. Earthq. Eng. 2016, 15, 1375–1396. [Google Scholar] [CrossRef]
- Stazi, F.; Vegliò, A.; Di Perna, C.; Munafò, P. Experimental Comparison between 3 Different Traditional Wall Constructions and Dynamic Simulations to Identify Optimal Thermal Insulation Strategies. Energy Build. 2013, 60, 429–441. [Google Scholar] [CrossRef]
- de Oliveira, S.G.; Biancardo, S.A.; Tibaut, A. Optimizing H-BIM Workflow for Interventions on Historical Building Elements. Sustainability 2022, 14, 9703. [Google Scholar] [CrossRef]
- Leone, M.F.; Zuccaro, G. Seismic and Energy Retrofitting of Residential Buildings: A Simulation-Based Approach. UPLanD–J. Urban Plan. Landsc. Environ. Des. 2006, 1, 11–25. Available online: http://www.serena.unina.it/index.php/upland/article/view/5030/5617 (accessed on 22 December 2016).
- Manzone, F.; Bocconcino, M.M. Gestione dei Controlli di Manutenzione Tramite Sistemi e Modelli Informativi. Master’s Thesis, Politecnico di Torino, Torino, Italy, 2021. [Google Scholar]
- Andreatta, F. openBIM: Una Scelta Ponderata. In Proceedings of the Uso del Dato Interoperabile ed Approccio Open Nei Processi Informativi delle Costruzioni; BIS-lab®-Building Innovation and Skills-Lab Gruppo Contec, Formard Contec. Available online: https://iris.unitn.it/retrieve/d7186c8b-9915-42d6-876e-451e30ef3e88/Forward2020_OpenBIMperPA_AB.pdf (accessed on 21 September 2021).
- Laura, M.; Azzalin, M.; Melchini, T. Un Maintenance Management Model per la Governance Dei Patrimoni Immobiliari. In Proceedings of: Uso del Dato Interoperabile ed Approccio Open Nei Processi Informativi Delle Costruzioni BIS-lab®-Building Innovation and Skills-Lab Gruppo Contec, Formard Contec. Available online: https://iris.unitn.it/retrieve/d7186c8b-9915-42d6-876e-451e30ef3e88/Forward2020_OpenBIMperPA_AB.pdf (accessed on 21 September 2021).

























| SEISMIC LEGISLATION | ENERGY LEGISLATION |
|---|---|
| Law No. 64 of 1974 | |
| Law No. 373 of 1976 | |
| Decrees from 1980 to 1984 | |
| Ministerial Decree 12/12/1981 n22120 | |
| Law No. 10 of 1991 | |
| Presidential Decree 412 of 1993 | |
| DM 16 January 1996 | |
| Ministerial Decree of 10/04/97 | |
| Legislative Decree 112 of 1998 Legislative Decree of 30/01/98 | |
| Law No. 401 of 2001 | |
| Presidential Decree 380 of 2001 | |
| Legislative Decree 301 of 2002 | |
| Pcm Ordinance 3274 of 2003 | |
| Legislative Decree of 28/05/2004 | |
| Ministerial Decree of 14/09/2005 | Legislative Decree 192 of 2005 |
| Legislative Decree 311 of 2006 | |
| Ministerial Decree of 14/01/2008 | |
| Legislative Decree 28 of 2011 | |
| Legislative Decree 63, June 2013 | |
| Ministerial Decree of 26/06/2015 a, b, c | |
| Ministerial Decree of 17/01/2018 | |
| Legislative Decree 48 of 2020 | |
| Legislative Decree 73 of 2020 | |
| |
| Infill | Thickness t (m) | Density ρ (kg/m3) | Elastic Modulus Em (Mpa) | Shear Modulus Gm (Mpa) | Coeff. Poisson ν [-] |
|---|---|---|---|---|---|
| Type 1 | 0.30 | 1020 | 2600 | 1040 | 0.25 |
| Type 2 | 0.38 | 1030 | 2300 | 920 | 0.25 |
| Type 3 | 0.25 | 1491 | 5000 | 2000 | 0.25 |
| Type 4 | 0.24 | 1083 | 3000 | 1200 | 0.25 |
| INFILL | Thickness [m] | Density ρ [kg/m3] | Elastic Modulus E [MPa] | Shear Modulus Gm [MPa] | Poisson Coeff. ν |
|---|---|---|---|---|---|
| TYPE 1 | 0.3 | 1020 | 2600 | 1040 | 0.25 |
| TYPE 2 | 0.38 | 1030 | 2300 | 920 | 0.25 |
| TYPE 3 | 0.25 | 1491 | 5000 | 2000 | 0.25 |
| TYPE 4 | 0.24 | 1083 | 3000 | 1200 | 0.25 |
| Ductility in X | Ductility in Y | |
|---|---|---|
| Type 1 | 8.57 | 10.33 |
| Type 2 | 10 | 8.67 |
| Type 3 | 10 | 7.50 |
| Type 4 | 12 | 10 |
| Location | Climatic Zone | Annual Infill Dispersion [kWh in One Year] | |||
|---|---|---|---|---|---|
| Type 1 | Type 2 | Type 3 | Type 4 | ||
| L’Aquila | E | 31,833.78 | 27,227.22 | 36,492.63 | 32,442.04 |
| Catania | B | 21,413.53 | 18,739.23 | 23,631.61 | 21,686.02 |
| Pisa | D | 33,615.65 | 27,819.47 | 38,773.37 | 34,331.08 |
| Cusino (Como) | F | 56,525.00 | 45,579.88 | 66,518.73 | 57,888.69 |
Disclaimer/Publisher’s Note: The statements, opinions and data contained in all publications are solely those of the individual author(s) and contributor(s) and not of MDPI and/or the editor(s). MDPI and/or the editor(s) disclaim responsibility for any injury to people or property resulting from any ideas, methods, instructions or products referred to in the content. |
© 2024 by the authors. Licensee MDPI, Basel, Switzerland. This article is an open access article distributed under the terms and conditions of the Creative Commons Attribution (CC BY) license (https://creativecommons.org/licenses/by/4.0/).
Share and Cite
Bonaguidi, L.; Sebastiani, C.; Santini, S. Sustainable Seismic Energy Assessment of Italian Residential Heritage in Reinforced Concrete with Masonry Infills: An HBIM Evaluation Tool. Buildings 2024, 14, 4050. https://doi.org/10.3390/buildings14124050
Bonaguidi L, Sebastiani C, Santini S. Sustainable Seismic Energy Assessment of Italian Residential Heritage in Reinforced Concrete with Masonry Infills: An HBIM Evaluation Tool. Buildings. 2024; 14(12):4050. https://doi.org/10.3390/buildings14124050
Chicago/Turabian StyleBonaguidi, Lisa, Claudio Sebastiani, and Silvia Santini. 2024. "Sustainable Seismic Energy Assessment of Italian Residential Heritage in Reinforced Concrete with Masonry Infills: An HBIM Evaluation Tool" Buildings 14, no. 12: 4050. https://doi.org/10.3390/buildings14124050
APA StyleBonaguidi, L., Sebastiani, C., & Santini, S. (2024). Sustainable Seismic Energy Assessment of Italian Residential Heritage in Reinforced Concrete with Masonry Infills: An HBIM Evaluation Tool. Buildings, 14(12), 4050. https://doi.org/10.3390/buildings14124050


