Study on the Susceptibility of Steel Arches with Letting Pressure Nodes Based on Incremental Dynamic Analysis
Abstract
1. Introduction
2. Letting Pressure Node Steel Arch Model
2.1. Principle of Yielding Support
2.2. Structural Design
2.3. Bolt Design
2.4. Finite Element Model Parameters
3. Project Examples
3.1. Background
3.2. Palm Surface Condition
3.3. Fabrication of Steel Arches and Installation of Instruments
3.4. Conversion Formula and Instrument Breakdown
3.4.1. Monitoring Frequency
3.4.2. Conversion Formula
- (1)
- The envelope stress conversion equation is:
- (2)
- The steel arch internal force conversion equation is:
- (3)
- To differentiate the data collection and analysis under varying stress conditions at the arch top, arch shoulder, and arch waist, the installed steel gauges and pressure boxes were systematically numbered in this study. The specific numbering and installation details of the instrumentation are presented in Table 3 and Table 4.
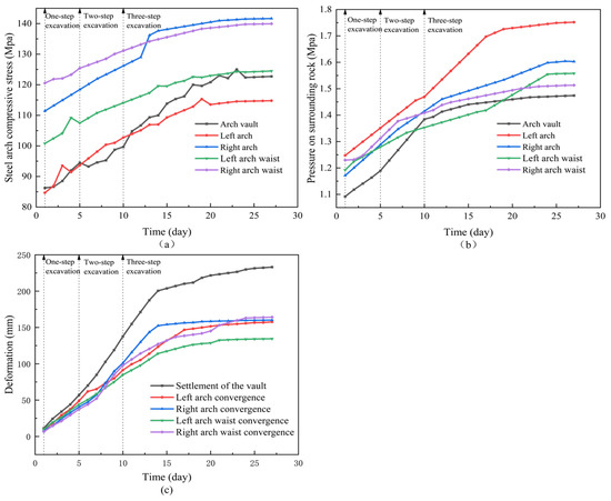
3.4.3. Monitoring Data
3.5. Post-Experimental Structural Performance Situation
4. Structural Dynamic Stability
4.1. Type I Power Stabilization
4.2. Type II Power Stabilization
5. Incremental Dynamic Analysis of Tunnel Steel Arch under Seismic Action
5.1. Principles of IDA Analysis
- (1)
- Incremental Dynamic Analysis (IDA) is a method based on dynamic elastic–plastic time-history analysis. It utilizes the initial seismic acceleration value Eϒ and adjusts the ground motion intensity (Intensity Measure, IM) to generate a set of different seismic accelerations. In this study, amplitude modulation was performed using the equal-step method [68]. In this study, the equal-step method was used to amplitude-modulate the PGA values (0.1 g, 0.2 g, 0.3 g…, 0.9 g, 1 g, and 1.1 g).
- (2)
- The Eϒ values obtained from amplitude modulation, along with the measured maximum surrounding rock pressure, were sequentially applied to the finite element model. Using finite element software ANSYS2022, the time-history analysis of the structure was conducted for a total of 55 working conditions. Additionally, the maximum seismic response of the structure under different seismic intensities, represented by the structural damage index (Damage Measure, DM), was obtained.
- (3)
- Finally, the intensity measure (IM) and the calculated structural damage index (DM) were plotted to generate the IDA curve for a single seismic event.
- (4)
- Given the inherent uncertainty of seismic events, to comprehensively evaluate the seismic performance of the compression structure, various seismic waves representing typical cases can be selected for incremental dynamic analysis (IDA). This allows for the generation of a series of IDA curves.
5.2. Selection of Ground Vibration Intensity Parameters and Seismic Wave Selection
5.3. Determination of Damage Metrics (DM)
5.4. Plotting of IDA Curves
6. IDA-Based Fragility Analysis
6.1. Earthquake Vulnerability
6.2. Linear Regression Analysis
6.3. Perishability Curve Establishment
7. Conclusions
- Compared to traditional strong support methods, the let-pressure node steel arch effectively reduces the surrounding rock pressure by allowing for greater rock displacement, optimizing structural forces and enhancing the self-stabilizing capacity of the surrounding rock. In the Jewel Mountain Tunnel, the surrounding rock pressure was reduced by 23%, and structural forces were lowered by 11%. The project was completed without requiring later arch replacement, effectively addressing the issue of large deformation and saving both time and costs associated with arch replacement.
- An incremental dynamic analysis (IDA) was conducted on the yielding steel arch. The relative deformation rate remained below 12.5‰ in the elastic phase and exceeded 12.5‰ in the plastic phase. As the peak ground acceleration (PGA) increased, the deformation rate of the yielding steel arch also rose. When the PGA reached 11 m/s2, the relative deformation rate surpassed 16‰, indicating complete structural failure and a total loss of the support capacity.
- The fragility curve of the steel arch at the letting pressure node, derived from the fragility analysis via incremental dynamic analysis (IDA), presents the damage probability of the structure under varying seismic intensities. This study considers the damage probability of the steel arch at the relief node during rare earthquakes, showing that there is a 94% probability of exceeding the normal use limit under an 8-degree design seismic intensity.
Author Contributions
Funding
Data Availability Statement
Conflicts of Interest
References
- Kimura, F.; Okabayashi, N.; Kawamoto, T. Tunnelling through squeezing rock in two large fault zones of the Enasan Tunnel II. Rock Mech. Rock Eng. 1987, 20, 151–166. [Google Scholar] [CrossRef]
- Hoek, E.; Brown, E.T. Practical Estimates of Rock Mass Strength. Int. J. Rock Mech. Min. Sci. 1997, 34, 1165–1186. [Google Scholar] [CrossRef]
- Peterson, R.W.; Dutton, P.L.; Wand, A.J. First and Second Tube of the Tauern Tunnel. Geomech. Tunnelbau 2010, 3, 334–343. [Google Scholar]
- Napoli, M.L.; Festa, A.; Barbero, M. Practical classification of geotechnically complex formations with block-in-matrix fabrics. Eng. Geol. 2022, 301, 106595. [Google Scholar] [CrossRef]
- Zhou, Z.; He, C.; Chen, Z.; Wang, B.; Li, T.; Jiang, C. Analysis of interaction mechanism between surrounding rock and supporting structures for soft-rock tunnels under high geo-stress. Acta Geotech. 2023, 18, 4871–4897. [Google Scholar] [CrossRef]
- Wu, K.; Shao, Z.; Qin, S.; Wei, W.; Chu, Z. A critical review on the performance of yielding supports in squeezing tunnels. Tunn. Undergr. Space Technol. 2021, 115, 103815. [Google Scholar] [CrossRef]
- Langford, J.C.; Vlachopoulos, N.; Diederichs, M. Revisiting support optimization at the Driskos tunnel using a quantitative risk approach. J. Rock Mech. Geotech. Eng. 2016, 8, 147–163. [Google Scholar] [CrossRef]
- Lin, M.G.; Zuo, X.Q.; Huang, B. Control Technology of Deformation of Soft Surrounding Rock in Highway Tunnel. J. Highway 2021, 66, 408–411. [Google Scholar]
- Tan, X.; Zuo, C.; Liu, D.; Ding, S.; Li, H. Analysis of Bolt and Shotcrete Support in Soft Large-Deformation Tunnel. Sci. Technol. Eng. 2015, 15, 228–232+243. (In Chinese) [Google Scholar]
- Tahmasebinia, F.; Yang, A.; Feghali, P.; Skrzypkowski, K. A Numerical Investigation to Calculate Ultimate Limit State Capacity of Cable Bolts Subjected to Impact Loading. Appl. Sci. 2022, 13, 15. [Google Scholar] [CrossRef]
- Chen, Z.; Guo, X.; Yu, J.; Long, W.; Wang, R. Research on Rapid Support Technology of High Strength Prestressing Anchor Cable in Soft Rock Tunnel—Take Muzailing Highway Tunnel as an Example. Tunn. Constr. 2024, 44, 1669–1678. (In Chinese) [Google Scholar]
- Barla, G.; Bonini, M.; Semeraro, M. Analysis of the behaviour of a yield-control support system in squeezing rock. Tunn. Undergr. Space Technol. 2011, 26, 146–154. [Google Scholar] [CrossRef]
- Barla, G.; Debernardi, D.; Sterpi, D. Time-Dependent Modeling of Tunnels in Squeezing Conditions. Int. J. Géoméch. 2012, 12, 697–710. [Google Scholar] [CrossRef]
- Xu, C.; Xia, C.; Du, S. Simplified solution for viscoelastic-plastic interaction between tunnel support and surrounding rock based on MC and GZZ strength criteria. Comput. Geotech. 2021, 139, 104393. [Google Scholar] [CrossRef]
- Alexeyeva, L.A.; Ukrainets, V.N.; Girnis, S.R. Stress-Strain State of a Shallow Tunnel Supported by a Three-Layer Shell Affected by Transport Loads. Mech. Solids 2022, 57, 1781–1792. [Google Scholar] [CrossRef]
- Liu, Z.; Zhu, J.; Wu, J.; Kuang, L.; Tang, S. Adaptation Analysis of Layered Initial Support in Extruding Large Deformation Tunnels. Tunn. Constr. 2023, 43, 131–140. (In Chinese) [Google Scholar]
- Wang, B.; Guo, X.; He, C.; Wu, D. Analysis of the Characteristics and Development Trend of the Current High Stress Tunnel Support Technology in China. Mod. Tunn. Technol. 2018, 55, 1–10. [Google Scholar]
- Awaji, D.; Hase, R.; Matsuo, K.; Okubo, S.; Nakamura, J. Expanding Underground-Knowledge and Passion to Make a Positive Impact on the World Triple Layered Tunnel Supports System against Extremely High Squeezing Ground Condition; CRC Press: Boca Raton, FL, USA, 2023. [Google Scholar]
- Anagnostou, G.; Cantieni, L. Design and Analysis of Yielding Support in Squeezing Ground. In Proceedings of the ISRM Congress, Lisbon, Portugal, 9–13 July 2007; p. 181. [Google Scholar]
- Mezger, F.; Ramoni, M.; Anagnostou, G. Options for deformable segmental lining systems for tunnelling in squeezing rock. Tunn. Undergr. Space Technol. 2018, 76, 64–75. [Google Scholar] [CrossRef]
- Zhou, B.; Li, K.; Xie, X.; Xu, J.; Liu, L. Optimization of Soft Rock Tunnel Support Letting Pressure System and Evaluation of Safety State Vulnerability. J. Tongji Univ. 2024, 52, 1040–1048. (In Chinese) [Google Scholar]
- St-Pierre, L.; Hassani, F.P.; Radziszewski, P.H.; Ouellet, J. Development of a Dynamic Model for a Cone Bolt. Int. J. Rock Mech. Min. Sci. 2009, 46, 107–114. [Google Scholar] [CrossRef]
- He, M.C.; Guo, Z.B. Mechanical Properties of Constant Resistance Large Deformation Anchors and Their Engineering Appli-cations. J. Rock Mech. Eng. 2014, 33, 1297–1308. [Google Scholar]
- Ayaydin, N.; Leitner, A. Tauern Tunnel First and Second Tubes from the Consultant’s Viewpoint. Geomech. Tunn. 2009, 2, 14–23. [Google Scholar] [CrossRef]
- Dong, J.; Xu, B.; Wu, X. Mechanical Characterization of Graded Letting Pressure Support Structure for High Geostress Soft Rock Tunnel. China J. Highw. Transp. 2024, 37, 342–355. [Google Scholar]
- Sun, Y.; Li, G.; Zhang, J. Investigation on jet grouting support strategy for controlling time-dependent deformation in the roadway. Energy Sci. Eng. 2020, 8, 2151–2158. [Google Scholar] [CrossRef]
- Zhang, B.; Zhang, Z.; Wang, B.; Zhou, L. Experimental Study of Application of Yielding Bolt to Large Deformation Tunnel. Rock Soil Mech. 2016, 37, 2047–2055. (In Chinese) [Google Scholar]
- Zhu, X.; Yang, S.; Xia, H.; Xia, Q.; Guofeng, Z.; Wei, L. Joint Support Technology and Its Engineering Application to Deep Soft Rock Tunnel with Strong Creep. Geotech. Geol. Eng. 2020, 38, 3403–3414. [Google Scholar] [CrossRef]
- Vlachopoulos, N.; Diederichs, M.S. Improved Longitudinal Displacement Profiles for Convergence Confinement Analysis of Deep Tunnels. Rock Mech. Rock Eng. 2009, 42, 131–146. [Google Scholar] [CrossRef]
- Tian, H.; Chen, W.; Yang, D.; Wu, G.; Tan, X. Numerical analysis on the interaction of shotcrete liner with rock for yielding supports. Tunn. Undergr. Space Technol. 2016, 54, 20–28. [Google Scholar] [CrossRef]
- Schubert, W. Design of Ductile Tunnel Linings. In Proceedings of the ARMA US Rock Mechanics/Geomechanics Symposium, San Francisco, CA, USA, 29 June–2 July 2008; p. ARMA–08-146. [Google Scholar]
- Tan, X.; Chen, W.; Liu, H.; Chan, A.H.C.; Tian, H.; Meng, X.; Wang, F.; Deng, X. A combined supporting system based on foamed concrete and U-shaped steel for underground coal mine roadways undergoing large deformations. Tunn. Undergr. Space Technol. 2017, 68, 196–210. [Google Scholar] [CrossRef]
- Qiu, W.; Wang, G.; Gong, L.; Shen, Z.; Li, C.; Dang, J. Development and Application of a Resistance-Limiting and Energy-Consuming Support Structure Adapted to Large Deformation in Tunnels. J. Rock Mech. Eng. 2018, 37, 1785–1795. (In Chinese) [Google Scholar]
- He, M.C.; Wang, B.; Tao, Z.G.; Qiao, Y.F.; Xiao, Y.M. Axialcompression Behavior of Adaptive Steel Arch Joint for Large-Deforma-Tion Tunnels. China J. Highw. Transp. 2018, 34, 1–10. [Google Scholar]
- Li, S.; Lu, W.; Wang, Q.; Sun, H.; Jiang, B.; Qin, Q. Study on failure mechanism and mechanical properties of casing joints of square steel confined concrete arch. Eng. Fail. Anal. 2018, 92, 539–552. [Google Scholar] [CrossRef]
- Kovári, K. Design Methods with Yielding Support in Squeezing and Swelling Rocks. In Proceedings of the World Tunnel Congress, Budapest, Hungary, 23–28 May 2009; pp. 1–10. [Google Scholar]
- Li, C.; Wang, G.; Qiu, W.; Gong, L.; Zhao, Y.; Wang, Q. Research and Application of Support Resistant Limiting Dampers in the Tunnel with High Horizontal Geostress. Mod. Tunn. Tech 2020, 57, 15–24. [Google Scholar]
- Entfellner, M.; Hamdi, P.; Wang, X.; Wannenmacher, H.; Amann, F. Investigating High-Strength Expanded Polystyrene (HS-EPS) as yielding support elements for tunnelling in squeezing ground conditions. Tunn. Undergr. Space Technol. 2023, 140, 105261. [Google Scholar] [CrossRef]
- Fan, J.; Guo, Z.; Qiao, X.; Tao, Z.; Wang, F. Constant Resistance and Yielding Support Technology for Large Deformations of Surrounding Rocks in the Minxian Tunnel. Adv. Civ. Eng. 2020, 2020, 8850686. [Google Scholar] [CrossRef]
- Wu, K.; Song, J.; Zheng, X.; Zhao, N.; Shao, Z.; Chu, Z. The deformation coordination-dominated design of yielding supports applied in large deformation tunnels. Acta Geotech. 2024, 19, 2499–2513. [Google Scholar] [CrossRef]
- Roy, N.; Sarkar, R. A Review of Seismic Damage of Mountain Tunnels and Probable Failure Mechanisms. Geotech. Geol. Eng. 2016, 35, 1–28. [Google Scholar] [CrossRef]
- Baeza-Faundez, S. Use of Deterministic and Probabilistic Slope Stability Analyses to Evaluate Tunnel Location in Land-Slide-Prone Areas. Master’s Thesis, Colorado School of Mines, Golden, CO, USA, 2022. [Google Scholar]
- Sun, B.; Deng, M.; Zhang, S.; Wang, C.; Cui, W.; Li, Q.; Xu, J.; Zhao, X.; Yan, H. Optimal selection of scalar and vector-valued intensity measures for improved fragility analysis in cross-fault hydraulic tunnels. Tunn. Undergr. Space Technol. 2023, 132, 104857. [Google Scholar] [CrossRef]
- Du, W. Stability Analysis and Treatment Measures for Highway Tunnels with Fractured Rock Body. Master’s Thesis, Southwest Jiaotong University, Chengdu, China, 2012. (In Chinese). [Google Scholar]
- Ashford, S.A.; Kawamata, Y. Performance of Transportation Systems during the 2004 Niigata Ken Chuetsu, Japan, Earthquake. Earthq. Spectra 2006, 22, 111–132. [Google Scholar] [CrossRef]
- Zhai, C.; Liu, W.; Xie, L. Research Progress on Urban Seismic Resilience Assessment. J. Build. Struct. 2018, 39, 1–9. (In Chinese) [Google Scholar]
- Pitilakis, K.; Tsinidis, G. Earthquake Geotechnical Engineering Design Performance and Seismic Design of Underground Structures; Springer: Cham, Switzerland, 2013. [Google Scholar]
- Lee, T.-H.; Park, D.; Nguyen, D.D.; Park, J.-S. Damage analysis of cut-and-cover tunnel structures under seismic loading. Bull. Earthq. Eng. 2015, 14, 413–431. [Google Scholar] [CrossRef]
- Shao, J.H.; Tang, B.J. Seismic Performance Evaluation of Steel Frame-Steel Plate Shear Wall Using Pushover and IDA. Appl. Mech. Mater. 2014, 578–579, 354–358. [Google Scholar] [CrossRef]
- Eads, L.; Miranda, E.; Krawinkler, H.; Lignos, D.G. An efficient method for estimating the collapse risk of structures in seismic regions. Earthq. Eng. Struct. Dyn. 2012, 42, 25–41. [Google Scholar] [CrossRef]
- Dong, Z.; Kuo, C.; Yin, J.; Wen, S.; Liu, G.; Gou, Y. Examination of Longitudinal Seismic Vulnerability of Shield Tunnels Utilizing Incremental Dynamic Analysis. Front. Earth Sci. 2021, 9, 779879. [Google Scholar] [CrossRef]
- Bertero, V.V. Strength and Deformation Capacities of Buildings under Extreme Environments. Struct. Eng. Struct. Mech. 1977, 53, 29–79. [Google Scholar]
- Fema 350 Recommended Seismic Design Criteria for New Steel Moment-Frame Buildings; Federal Emergency Management Agency: Washington, DC, USA, 2000.
- Vamvatsikos, D.; Cornell, C.A. Direct Estimation of Seismic Demand and Capacity of Multidegree-of-Freedom Systems through Incremental Dynamic Analysis of Single Degree of Freedom Approximation. J. Struct. Eng. 2005, 131, 589–599. [Google Scholar] [CrossRef]
- Wang, M.; Wang, Z.; Liu, F. Improved Method for Incremental Dynamic Analysis and Its Application. Dizhen Gongcheng Yu Gongcheng Zhendong 2012, 32, 30–35. [Google Scholar]
- Huang, J.; Zhao, X.; Zhao, M.; Du, X.; Wang, Y.; Zhang, C.; Zhang, C. Effect of peak ground parameters on the nonlinear seismic response of long lined tunnels. Tunn. Undergr. Space Technol. 2019, 95, 103175. [Google Scholar] [CrossRef]
- Andreotti, G.; Lai, C. Use of fragility curves to assess the seismic vulnerability in the risk analysis of mountain tunnels. Tunn. Undergr. Space Technol. 2019, 91, 103008. [Google Scholar] [CrossRef]
- Jiang, J.; Xun, Z.; Bai, X.; Liu, D.; Zhao, K.; Du, X. Seismic damage mechanics and vulnerability analysis for the immersed tunnel subjected transverse earthquake records. Soil Dyn. Earthq. Eng. 2024, 182, 108703. [Google Scholar] [CrossRef]
- Dong, B.; Yang, J.; Ying, B. Analysis of tunnel steel arch node letting pressure performance. Tunn. Constr. 2021, 41, 1524–1529. [Google Scholar]
- Barla, G. Squeezing rocks in tunnels. ISRM News J. 1995, 2, 44–49. [Google Scholar]
- Shen, Z.; Wang, G.; Qiu, W.; Wang, H. Mechanical Characteristics of Deeply Buried Old Loess Tunnel Support Restrictor and Its Application Research. J. China Railw. Soc. 2024, 46, 194–204. [Google Scholar]
- Wang, C.; Gao, R.; Xia, P. Characterization of dynamic mechanical properties of LY100, LY160 low-yield-point steels. J. Constr. Steel Res. 2024, 222, 108934. [Google Scholar] [CrossRef]
- National Standard of the People’s Republic of China Steel Structure Design Code; China Planning Press: Beijing, China, 2018.
- Specifications for Design of Highway Tunnels Section 1 Civil Engineering; PRC Ministry of Transport (MOT): Beijing, China, 2019.
- Han, L. Dynamic Buckling and Bifurcation of Elastoplastic Systems; Science Publishing House: Beijing, China, 2000. [Google Scholar]
- Vamvatsikos, D.; Cornell, C.A. Incremental Dynamic Analysis. Earthq. Eng. Struct. Dyn. 2002, 31, 491–514. [Google Scholar] [CrossRef]
- Khorami, M.; Alvansazyazdi, M.; Shariati, M.; Zandi, Y.; Jalali, A.; Tahir, M. Seismic Performance Evaluation of Buckling Re-strained Braced Frames (Brbf) Using Incremental Nonlinear Dynamic Analysis Method (Ida). Earthq. Struct 2017, 13, 531–538. [Google Scholar]
- Wang, X.; Wang, B.C.; Du, Y.; Al, E. Seismic Response and Strength Parameter Analysis of Tunnel Lining Based on Incremental Dynamics Approach. J. Railw. Stand. Des. 2020, 64, 134–141. [Google Scholar]
- Huang, Z.K.; Zhang, D.M. Recent advance in Seismic Fragility Research of Underground Structures. J. Tongji Univ. 2021, 49, 49–59+115. [Google Scholar] [CrossRef]
- Fang, L.; Pan, Y.Y.; Li, Z.Q.; Wang, L. Analysis of probabilistic seismic losses over the whole life cycle of continuous girder bridges for high-speed railroads. J. Railw. Sci. Eng. 2020, 17, 815–822. [Google Scholar] [CrossRef]
- Dong, Z.F.; Wang, J.J.; Yao, Y.C. Evaluation of Seismic Design Methods for a Deeply-Buried Shield Tunnel. J. Vib. Shock. 2012, 31, 79–85. [Google Scholar]
- Chen, X.T. Research on Seismic Damage Mode of Mountain Ridge Tunnel and Its Performance Indexes; Chongqing Jiao Tong University: Chongqing, China, 2020. [Google Scholar]
- Gong, L.S. Building Structural Design Manual Series: Seismic Design Manual for Buildings, 2nd ed.; China Construction Industry Press: Beijing, China, 2003. [Google Scholar]
- Yang, C. Determination Method of Seismic Action with Arbitrary Exceeding Probability; Structural Engineering Committee of Chinese Mechanics Society, Editorial Committee of Engineering Mechanics of Chinese Mechanics Society, Xinjiang University; Shanghai Pudong Architectural Design and Research Institute Co.: Shanghai, China, 2013; Volume III. [Google Scholar]
- Alliance, A.L. Seismic Fragility Formulations for Water Systems, Part 1-Guideline; ASCEFEMA: Reston, VA, USA, 2005; pp. 1–103. [Google Scholar]

























| Name | Length (mm) | Width (mm) | Thickness (mm) | Height (mm) | Materials | Properties |
|---|---|---|---|---|---|---|
| Board 1 | 200 | 180 | 16 | 16 | Q235 | Carbon structural steel |
| Board 2 | 290 | 250 | 16 | 16 | Q235 | Carbon structural steel |
| Board 3 | 150 | 120 | 8 | 151 | LY160 | Low-yield structural steel |
| Board 4 | 150 | 70 | 8 | 151 | LY160 | Low-yield structural steel |
| Board 5 | 150 | 120 | 8 | 151 | LY160 | Low-yield structural steel |
| Section Height (mm) | Section Width (mm) | Flange Thickness (mm) | Web Thickness (mm) | Cross-Sectional Area (mm2) | Length of Steel Arch (m) |
|---|---|---|---|---|---|
| 180 | 94 | 10.7 | 6.5 | 2508 | 6.25 |
| Placement | Instrument Number | Instrument Model | Lead Wire Length (m) | Range (Mpa) | K-Value |
|---|---|---|---|---|---|
| Arch vault (Monitoring point 1) | 53781 | TY30 | 16 | 0–30 | 0.00129 |
| Left arch (Monitoring point 3) | 33107 | TY30 | 14 | 0–30 | 0.00175 |
| Right arch (Monitoring point 2) | 64844 | TY30 | 14 | 0–30 | 0.00432 |
| Left girdle (Monitoring point 5) | 31804 | TY30 | 12 | 0–30 | 0.00312 |
| Right gridle (Monitoring point 4) | 46937 | TY30 | 12 | 0–30 | 0.00303 |
| Placement | Instrument Number | Instrument Model | Lead Wire Length (m) | Range (Mpa) | K-Value |
|---|---|---|---|---|---|
| Arch vault (Monitoring point 1) | 30812 | GJ20 | 16 | 0–200 | 0.1222 |
| Left arch (Monitoring point 3) | 62238 | GJ20 | 14 | 0–200 | 0.1245 |
| Right arch (Monitoring point 2) | 39184 | GJ20 | 14 | 0–200 | 0.1354 |
| Left girdle (Monitoring point 5) | 56183 | GJ20 | 12 | 0–200 | 0.1334 |
| Right gridle (Monitoring point 4) | 62037 | GJ20 | 12 | 0–200 | 0.1256 |
| Yield Support Performance Indicators | Indicators | Statistics | |||||
|---|---|---|---|---|---|---|---|
| Number | Mean | Variance | Min | Max | Range | ||
| Pressure on surrounding rock | S1 | 27 | 0.39 | 0.005 | 0.25 | 0.45 | 0.20 |
| S2 | 27 | 0.41 | 0.007 | 0.29 | 0.51 | 0.22 | |
| S3 | 27 | 0.37 | 0.003 | 0.27 | 0.45 | 0.18 | |
| S4 | 27 | 0.35 | 0.002 | 0.28 | 0.44 | 0.16 | |
| S5 | 27 | 0.38 | 0.001 | 0.27 | 0.41 | 0.14 | |
| Synthesize | − | −0.39 | − | − | − | − | |
| Steel arch stress | A1 | 27 | 12.54 | 7.407 | 8.53 | 17.75 | 9.22 |
| A2 | 27 | 11.88 | 2.153 | 9.14 | 14.97 | 5.83 | |
| A3 | 27 | 18.03 | 14.536 | 12.82 | 21.61 | 8.79 | |
| A4 | 27 | 15.39 | 1.166 | 13.15 | 17.20 | 4.05 | |
| A5 | 27 | 16.32 | 0.921 | 14.43 | 17.29 | 2.86 | |
| Synthesize | − | −14.83 | − | − | − | − | |
| Deformation | D1 | 27 | 147.59 | 6599.052 | 9.59 | 260.54 | 250.95 |
| D2 | 27 | 176.56 | 10,427.329 | 8.22 | 323.19 | 314.97 | |
| D3 | 27 | 131.84 | 4566.031 | 6.85 | 214.77 | 207.92 | |
| D4 | 27 | 162.61 | 7153.208 | 8.22 | 255.52 | 247.30 | |
| D5 | 27 | 94.68 | 2957.08 | 5.48 | 177.86 | 172.38 | |
| Synthesize | − | +142.65 | − | − | − | - |
| Serial Number | Name of the Seismic Wave and Time of Occurrence | Station | Earthquake Fraction | Degree of Earthquake | Intensity of Earthquakes | PGA (g) |
|---|---|---|---|---|---|---|
| 1 | Imperial Valley-06, 1979 | EI Centro Array #3 | E03140 | 6.53 | 8 | 0.267 g |
| 2 | Coalinga-01, 1983 | Parkfield-Cholame2WA | C02000 | 6.36 | 8 | 0.110 g |
| 3 | Whittier Narrow-01, 1987 | Carson-Water St | WAT180 | 5.99 | 8 | 0.110 g |
| 4 | Loma Peieta, 1989 | APEEL2-Redwood City | A02043 | 6.93 | 8 | 0.274 g |
| 5 | Northridge-01, 1994 | Carson-Water St | WAT270 | 6.69 | 8 | 0.088 g |
| Damage State | State Description | Relative Deformation Rate ξ (‰) | This Article Takes Values (‰) |
|---|---|---|---|
| Normal use of DS1 | Structurally undamaged and fully functional | [0,2) | - |
| Minor impairment DS2 | Minor structural damage, can be repaired for normal access | [2,5) | 3 |
| Moderate impairment DS3 | Temporary reinforcement to restore partial functionality | [9,16) | 14 |
| Severely impaired DS4 | Partially collapsed, irreparable | [16,+∞) | 16 |
| DM | The PGA | Normal Use | Minor Damage | Moderate Impairment | Serious Damage |
|---|---|---|---|---|---|
| Relative deformation rate ξ | 0.40 | 0.94 | 0.36 | 0.02 | 0.00 |
Disclaimer/Publisher’s Note: The statements, opinions and data contained in all publications are solely those of the individual author(s) and contributor(s) and not of MDPI and/or the editor(s). MDPI and/or the editor(s) disclaim responsibility for any injury to people or property resulting from any ideas, methods, instructions or products referred to in the content. |
© 2024 by the authors. Licensee MDPI, Basel, Switzerland. This article is an open access article distributed under the terms and conditions of the Creative Commons Attribution (CC BY) license (https://creativecommons.org/licenses/by/4.0/).
Share and Cite
Deng, K.; Zhang, Q.; Pu, X.; Ma, R.; Kou, J. Study on the Susceptibility of Steel Arches with Letting Pressure Nodes Based on Incremental Dynamic Analysis. Buildings 2024, 14, 3189. https://doi.org/10.3390/buildings14103189
Deng K, Zhang Q, Pu X, Ma R, Kou J. Study on the Susceptibility of Steel Arches with Letting Pressure Nodes Based on Incremental Dynamic Analysis. Buildings. 2024; 14(10):3189. https://doi.org/10.3390/buildings14103189
Chicago/Turabian StyleDeng, Kaiying, Qingwen Zhang, Xuan Pu, Rongkang Ma, and Junwei Kou. 2024. "Study on the Susceptibility of Steel Arches with Letting Pressure Nodes Based on Incremental Dynamic Analysis" Buildings 14, no. 10: 3189. https://doi.org/10.3390/buildings14103189
APA StyleDeng, K., Zhang, Q., Pu, X., Ma, R., & Kou, J. (2024). Study on the Susceptibility of Steel Arches with Letting Pressure Nodes Based on Incremental Dynamic Analysis. Buildings, 14(10), 3189. https://doi.org/10.3390/buildings14103189
