Thermo-Mechanical Coupling Load Transfer Method of Energy Pile Based on Hyperbolic Tangent Model
Abstract
1. Introduction
2. Hyperbolic Tangent Model for Load Transfer of Energy Piles
2.1. Calculation Method Considering Load–Temperature Effect
- (1)
- The elastic modulus E and thermal expansion coefficient of the pile remain constant, and neither the pile–soil interaction characteristics nor the soil surrounding the pile are affected by the variation of temperature.
- (2)
- Positive displacement of the pile is determined as downward, with compressive strain and stress within the pile regarded as positive. The upward pile side resistance is also assigned positive values, and a rise in temperature is seen as positive.
- (3)
- Expansion or contraction around a null point occurs when the pile is heated and cooled [4]. The location of the null point relies on the boundary conditions in the axial direction and the distribution of shear forces on the pile side.
- (4)
- It is assumed that the ultimate shear resistance grows linearly with depth in the soil layer.
2.2. The Transfer Functions
2.3. The Ultimate Bearing Capacity of the Pile
3. Verification of the Proposed Method
4. Analysis and Discussion
4.1. Influence of Upper Load on the TM Response of Energy Piles
4.2. Influence of Internal Friction Angle on the TM Response of Energy Piles
4.3. Influence of Temperature on the TM Response of Energy Piles
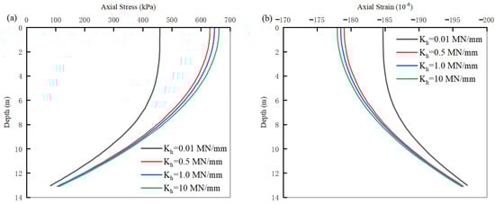
4.4. Influence of Pile Head Stiffness on the TM Response of Energy Piles
4.5. Influence of Radial Expansion on the TM Response of Energy Piles
5. Conclusions
- (1)
- Introducing the control condition of unbalanced forces at the null point improves the method for determining the null point in LT analysis considering temperature effects, making the calculation results more accurate.
- (2)
- By introducing the method for determining the ultimate bearing capacity of drained soil, the influence of soil shear strength on the TM response of EPs is taken into account. An increase in the drained friction angle leads to an increase in axial stress under thermal-load coupling, while strain and displacement decrease. When the drained friction angle is large, its influence on displacement is restricted.
- (3)
- An increase in upper loads leads to an increase in axial stress and a decrease in strain under thermal-load coupling, and it also causes the null point to move upward. An increase in temperature leads to a linear increase in axial stress and strain, but it does not alter the position of the null point. The displacement of the pile below the null point increases with temperature, while above the null point, it decreases.
- (4)
- An increase in pile top stiffness leads to an increase in axial stress and displacement and a decrease in strain. The greater the stiffness, the smaller the magnitude of stress and strain changes, and it also causes the null point to move upward. Increasing the radial expansion parameter leads to a linear increase in axial stress, while strain and displacement decrease linearly. However, it has little impact on the stress at the pile end.
- (5)
- More research is needed on the effects of variations in the characteristics of the surrounding soil and the pile thermal volume. If EPs are installed in soft clay or expansive clay, significant volume changes and cyclic effects may be encountered. In such situations, LT curves that vary with temperature and loading paths can be employed.
Author Contributions
Funding
Data Availability Statement
Conflicts of Interest
References
- Liu, H.L.; Kong, G.Q.; Wu, H.W. Research progress on energy pile engineering applications and development of PCC energy pile technology. Chin. J. Geotech. Eng. 2014, 36, 176–181. (In Chinese) [Google Scholar]
- Laloui, L.; Nuth, M.; Vulliet, L. Experimental and numerical investigations of the behaviour of a heat exchanger pile. Int. J. Numer. Anal. Methods Geomech. 2006, 30, 763–781. [Google Scholar] [CrossRef]
- Brandl, H. Energy foundations and other thermo-active ground structures. Géotechnique 2006, 56, 81–122. [Google Scholar] [CrossRef]
- Bourne-Webb, P.J.; Amatya, B.; Soga, K.; Amis, T.; Davidson, C.; Payne, P. Energy pile test at Lambeth College, London: Geotechnical and thermodynamic aspects of pile response to heat cycles. Géotechnique 2009, 59, 237–248. [Google Scholar] [CrossRef]
- Amatya, B.L.; Soga, K.; Bourne-Webb, P.J.; Amis, T.; Laloui, L. Thermo-mechanical behaviour of energy piles. Géotechnique 2012, 62, 503–519. [Google Scholar] [CrossRef]
- Gui, S.Q.; Cheng, X.H. In-situ experimental study on structural response during heat exchange process of energy piles. Chin. J. Geotech. Eng. 2014, 36, 1087–1094. (In Chinese) [Google Scholar]
- Peng, H.F.; Kong, G.Q.; Liu, H.L.; Abuel-Naga, H.; Hao, Y.H. Thermo-mechanical behaviour of floating energy pile group in sand. J. Zhejiang Univ. Sci. A (Appl. Phys. Eng.) 2018, 19, 638–649. [Google Scholar] [CrossRef]
- Zhang, Y.P.; Ji, H.X.; Liu, H.; El Naggar, M.H.; Jiang, G.S.; Wu, W.B. Initial horizontal dynamic impedance of single anti-toppling helical pile for offshore wind turbines. Ocean Eng. 2024, 306, 118048. [Google Scholar] [CrossRef]
- Wu, W.B.; Di, T.Y.; Yang, X.Y.; El Naggar, M.H.; Zhang, Y.P. Revised pile-pile mutual interaction factors for seismic analysis of end-bearing pile groups embedded in saturated stratum. Soil Dyn. Earthq. Eng. 2024, 182, 108745. [Google Scholar] [CrossRef]
- Lian, J.; Ding, X.M.; Zhang, L. Shaking table test on seismic response of an accumulation landslide reinforced by pile-plate retaining wall based on the time-frequency analysis method. J. Cent. South Univ. 2023, 30, 1710–1721. [Google Scholar] [CrossRef]
- Song, H.B.; Pei, H.F.; Pereira, J.M.; Tang, A.M.; Zhou, C. A simple load transfer method for energy pile groups. Comput. Geotech. 2023, 159, 105483. [Google Scholar] [CrossRef]
- Peng, C.; Ding, X.M.; Wang, C.L.; Kong, G.Q.; Wu, D. Thermo-mechanical characteristics of laterally loaded energy piles under multiple heating-cooling cycles in mountain area. J. Energy Storage 2023, 63, 107020. [Google Scholar] [CrossRef]
- Zhang, D.X.; Wang, C.L.; Bouazza, A.; Ding, X.M.; Kong, G.Q. Influence of a rigid cap on thermo-mechanical behavior of nonsymmetrical thermally loaded energy pile group in clay. Can. Geotech. J. 2023, 60, 654–668. [Google Scholar] [CrossRef]
- Ai, Z.Y.; Ye, J.M. Thermo-mechanical analysis of pipe energy piles in layered cross-isotropic soils. Energy 2023, 277, 127757. [Google Scholar] [CrossRef]
- Lu, H.W.; Jiang, G.; Wang, H.; Hong, X.; Shi, C.L.; Gong, H.W.; Liu, W.Q. Field joint test and bearing characteristic analysis of frictional energy pile under load-temperature coupling. Chin. J. Geotech. Eng. 2017, 39, 334–342. (In Chinese) [Google Scholar]
- Sutman, M.; Brettmann, T.; Olgun, C.G. Full-scale in-situ tests on energy piles: Head and base-restraining effects on the structural behaviour of three energy piles. Geomech. Energy Environ. 2019, 18, 56–68. [Google Scholar] [CrossRef]
- Knellwolf, C.; Peron, H.; Laloui, L. Geotechnical analysis of heat exchanger piles. J. Geotech. Geoenviron. Eng. 2011, 137, 890–902. [Google Scholar] [CrossRef]
- Ouyang, Y.; Soga, K.; Leung, Y.F. Numerical back-analysis of energy pile test at Lambeth College, London. In Geo-Frontiers 2011: Advances in Geotechnical Engineering, Proceedings of the Geo-Frontiers Congress 2011, Dallas, TX, USA, 13 March 2011; American Society of Civil Engineers: Reston, VA, USA, 2011; pp. 440–449. [Google Scholar]
- Guo, H.R.; Qiao, L.; Li, Y. Research on the bearing performance of energy piles using an improved load-transfer model on pile-soil interface. Rock Soil Mech. 2018, 11, 4042–4052. (In Chinese) [Google Scholar]
- Luo, X.Q.; Liu, G.B.; Zheng, Y.D.; Qian, F.; Zhou, M. A load transfer model of energy pile-soil interfaces under temperature variation. Chin. J. Rock Mech. Eng. 2019, 38, 171–179. [Google Scholar]
- Plaseied, N. Load-Transfer Analysis of Energy Foundations. Master’s Thesis, University of Colorado at Boulder, Boulder, CO, USA, 2012. [Google Scholar]
- Stewart, M.A.; McCartney, J.S. Centrifuge modeling of soil-structure interaction in energy foundations. J. Geotech. Geoenviron. Eng. 2014, 140, 04013044. [Google Scholar] [CrossRef]
- Dong, L.L.; Wu, W.B.; Liang, R.Z.; Liu, H.; Mei, G.X.; Yang, Z.J. Long-term responses of energy piles based on exponential model. Chin. J. Rock Mech. Eng. 2021, 40, 629–639. [Google Scholar]
- Dong, L.L.; Mei, G.X.; Wu, W.B.; Wang, L.X.; Ruan, H.F. Numerical simulation of working characteristics of energy pile group under thermos-mechanical coupling. Bull. Geol. Sci. Technol. 2021, 40, 326–334. [Google Scholar]
- Chen, C.; Leng, W.M.; Yang, Q.; Dong, J.L.; Xu, F.; Ruan, B. Effect of a filter cake on shear behavior of sand-concrete pile interface. J. Cent. South Univ. 2022, 29, 2019–2032. [Google Scholar] [CrossRef]
- Ding, Y.Q. Research on Method and Application of Nonlinear Seismic Response Analysis of Site. Master’s Thesis, Chongqing University, Chongqing, China, 2010. (In Chinese). [Google Scholar]
- Murphy, K.D.; McCartney, J.S. Thermal borehole shear device. Geotech. Test. J. 2014, 37, 20140009. [Google Scholar] [CrossRef]
- Fei, K.; Dai, D.; Hong, W. Simplified analysis method for working characteristics of single energy pile. Rock Soil Mech. 2019, 40, 70–80. (In Chinese) [Google Scholar]
- Fei, K.; Ding, S.J.; Qin, H.Y. Analysis of energy pile groups subjected to non-uniform thermal loadings. Undergr. Space 2023, 9, 91–104. [Google Scholar] [CrossRef]
- Ding, X.M.; Zhang, D.X.; Bouazza, A.; Wang, C.L.; Kong, G.Q. Thermo-mechanical behaviour of energy piles in overconsolidated clay under various mechanical loading levels and thermal cycles. Renew. Energy 2022, 201, 594–607. [Google Scholar] [CrossRef]
- Xing, K.Y.; Lu, H.Z.; Chen, Y.C.; Wang, X.G.; Zhang, K.S.; Wu, W.B. Nonlinear solutions of lateral response for piles under axial and lateral load embedded in layered soils. Bull. Geol. Sci. Technol. 2021, 40, 166–174. [Google Scholar]
- McCartney, J.S.; Rosenberg, J.E. Impact of heat exchange on side shear in thermo-active foundations. In Geo-Frontiers 2011: Advances in Geotechnical Engineering, Proceedings of the Geo-Frontiers Congress 2011, Dallas, TX, USA, 13 March 2011; American Society of Civil Engineers: Reston, VA, USA, 2011; pp. 488–498. [Google Scholar]
- Reese, L.C.; Isenhower, W.M.; Wang, S.T. Analysis and Design of Shallow and Deep Foundations; John Wiley & Sons: Hoboken, NJ, USA, 2005. [Google Scholar]
- Ng, C.W.W.; Shi, C.; Gunawan, A.; Laloui, L.; Liu, H.L. Centrifuge modelling of heating effects on energy pile performance in saturated sand. Can. Geotech. J. 2015, 52, 1045–1057. [Google Scholar] [CrossRef]
- Loria, A.F.R.; Gunawan, A.; Shi, C.; Laloui, L.; Ng, C.W.W. Numerical modelling of energy piles in saturated sand subjected to thermo-mechanical loads. Geomech. Energy Environ. 2015, 1, 1–15. [Google Scholar] [CrossRef]
- McCartney, J.S.; Rosenberg, J.E.; Sultanova, A. Engineering performance of thermo-active foundations. In GeoTrends: The Progress of Geological and Geotechnical Engineering in Colorado at the Cusp of a New Decade; American Society of Civil Engineers: Reston, VA, USA, 2011; pp. 27–42. [Google Scholar]
- Zhu, Y.P.; Chen, G.D. Quantifying thermal strain of steel plate subjected to constant temperature by distributed fiber optic sensors. Intell. Transp. Infrastruct. 2022, 1, liac005. [Google Scholar] [CrossRef]
- Xie, J.H.; Wem, M.J.; Tu, Y.; Wu, D.Z.; Liu, K.F.; Tang, K.J. Thermal consolidation of layered saturated soil under time-dependent loadings and heating considering interfacial flow contact resistance effect. Int. J. Numer. Anal. Methods Geomech. 2024, 48, 1123–1159. [Google Scholar] [CrossRef]














| Model Parameters | Variable | Value |
|---|---|---|
| Length of pile | L (m) | 13.1 |
| Diameter of pile | D (m) | 1.2 |
| Young’s modulus of pile | E (GPa) | 30 |
| Coefficient of thermal expansion of pile | (°C−1) | 10−6 |
| Drained friction angle of soil | (°) | 30 |
| Unit weight of pile | kN/m3 | 18 |
| Undrained shear strength at the toe | kPa | 54 |
Disclaimer/Publisher’s Note: The statements, opinions and data contained in all publications are solely those of the individual author(s) and contributor(s) and not of MDPI and/or the editor(s). MDPI and/or the editor(s) disclaim responsibility for any injury to people or property resulting from any ideas, methods, instructions or products referred to in the content. |
© 2024 by the authors. Licensee MDPI, Basel, Switzerland. This article is an open access article distributed under the terms and conditions of the Creative Commons Attribution (CC BY) license (https://creativecommons.org/licenses/by/4.0/).
Share and Cite
Sun, M.; Wu, S.; Wang, T.; Xie, Y.; Xu, M.; Dong, Y.; Zhao, D.; Wu, W. Thermo-Mechanical Coupling Load Transfer Method of Energy Pile Based on Hyperbolic Tangent Model. Buildings 2024, 14, 3190. https://doi.org/10.3390/buildings14103190
Sun M, Wu S, Wang T, Xie Y, Xu M, Dong Y, Zhao D, Wu W. Thermo-Mechanical Coupling Load Transfer Method of Energy Pile Based on Hyperbolic Tangent Model. Buildings. 2024; 14(10):3190. https://doi.org/10.3390/buildings14103190
Chicago/Turabian StyleSun, Ming, Siyang Wu, Tong Wang, Yunze Xie, Meijuan Xu, Yan Dong, Dongxiao Zhao, and Wenbing Wu. 2024. "Thermo-Mechanical Coupling Load Transfer Method of Energy Pile Based on Hyperbolic Tangent Model" Buildings 14, no. 10: 3190. https://doi.org/10.3390/buildings14103190
APA StyleSun, M., Wu, S., Wang, T., Xie, Y., Xu, M., Dong, Y., Zhao, D., & Wu, W. (2024). Thermo-Mechanical Coupling Load Transfer Method of Energy Pile Based on Hyperbolic Tangent Model. Buildings, 14(10), 3190. https://doi.org/10.3390/buildings14103190

