Enhancing Mortar Properties through Thermoactivated Recycled Concrete Cement
Abstract
:1. Introduction
2. Materials and Methods
2.1. Materials
2.1.1. Binders
2.1.2. Fine Aggregates
2.2. Methods
2.2.1. TARC Production Procedures
2.2.2. Mix Proportions
2.2.3. Test Program
3. Results and Discussion
3.1. Fresh Properties
3.1.1. Water Demand
3.1.2. Setting Time
3.1.3. Slump Flow
3.2. Mechanical Properties
3.2.1. Bulk Density
3.2.2. Compressive Strength
3.2.3. Ultrasonic Pulse Velocity
3.3. Microstructure Properties
3.3.1. SEM
3.3.2. FTIR
3.3.3. TGA and DTA
3.4. Durability Properties
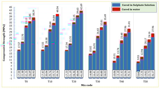
3.4.1. Sulphate Attack
3.4.2. Water Absorption
3.4.3. Apparent Porosity
3.5. Correlations between Properties of Mortar
4. Conclusions
- The inclusion of TARC significantly affected the flow of mortar. The workability of the TARC mix experienced a linear decline with increasing replacement percentages, in contrast to the control mix, which displayed notably superior average mortar flow.
- In terms of mechanical performance, the early-aged mortar exhibited comparable, if not better, attributes when compared to the control mix. Commencing from the 28th day of curing, T20 mixes demonstrated improved compressive strength, bulk density, and UPV. Consequently, the optimal percentage replacement for TARC was up to 20%. However, the SAI indicated that even a 40% replacement would perform well.
- Microstructural analysis revealed that the TARC mix possessed favorable thermal properties, enhanced FTIR spectra, and a structurally compact or densely packed microstructure.
- The incorporation of TARC contributed to bolstering the durability of the mortar. Although the sulphate resistance test did not initially showcase a substantial reduction in compressive strength, it became evident over an extended curing period that sulphate solutions exerted a slightly more pronounced detrimental influence.
Author Contributions
Funding
Data Availability Statement
Conflicts of Interest
References
- Vo, D.-H.; Yehualaw, M.D.; Hwang, C.-L.; Liao, M.-C.; Thi, K.-D.T.; Chao, Y.-F. Mechanical and durability properties of recycled aggregate concrete produced from recycled and natural aggregate blended based on the Densified Mixture Design Algorithm method. J. Build. Eng. 2021, 35, 102067. [Google Scholar] [CrossRef]
- Miller, S.A.; Horvath, A.; Monteiro, P.J.M. Impacts of booming concrete production on water resources worldwide. Nat. Sustain. 2018, 1, 69–76. [Google Scholar] [CrossRef]
- Cantero, B.; Bravo, M.; de Brito, J.; del Bosque, I.S.; Medina, C. Mechanical behaviour of structural concrete with ground recycled concrete cement and mixed recycled aggregate. J. Clean. Prod. 2020, 275, 122913. [Google Scholar] [CrossRef]
- Coffetti, D.; Crotti, E.; Gazzaniga, G.; Carrara, M.; Pastore, T.; Coppola, L. Pathways towards sustainable concrete. Cem. Concr. Res. 2022, 154, 106718. [Google Scholar] [CrossRef]
- Aboelkheir, M.G.; Pal, K.; Cardoso, V.A.; Celestino, R.; Yoshikawa, N.K.; Resende, M.M. Influence of concrete mixer washing waste water on the chemical and mechanical properties of mortars. J. Mol. Struct. 2021, 1232, 130003. [Google Scholar] [CrossRef]
- Barcelo, L.; Kline, J.; Walenta, G.; Gartner, E. Cement and carbon emissions. Mater. Struct. 2014, 47, 1055–1065. [Google Scholar] [CrossRef]
- Khalil, M.J.; Aslam, M.; Ahmad, S. Utilization of sugarcane bagasse ash as cement replacement for the production of sustainable concrete—A review. Constr. Build. Mater. 2021, 270, 121371. [Google Scholar] [CrossRef]
- Cosentino, I.; Liendo, F.; Arduino, M.; Restuccia, L.; Bensaid, S.; Deorsola, F.; Ferro, G.A. Nano CaCO3 particles in cement mortars towards developing a circular economy in the cement industry. Procedia Struct. Integr. 2020, 26, 155–165. [Google Scholar] [CrossRef]
- Chusilp, N.; Jaturapitakkul, C.; Kiattikomol, K. Effects of LOI of ground bagasse ash on the compressive strength and sulfate resistance of mortars. Constr. Build. Mater. 2009, 12, 3523–3531. [Google Scholar] [CrossRef]
- Taffese, W.Z.; Abegaz, K.A. Embodied Energy and CO2 Emissions of Widely Used Building Materials: The Ethiopian Context. Buildings 2019, 9, 136. [Google Scholar] [CrossRef]
- Lan, T.; Meng, Y.; Ju, T.; Song, M.; Chen, Z.; Shen, P.; Du, Y.; Deng, Y.; Han, S.; Jiang, J. Manufacture of alkali-activated and geopolymer hybrid binder (AGHB) by municipal waste incineration fly ash incorporating aluminosilicate supplementary cementitious materials (ASCM). Chemosphere 2022, 303, 134978. [Google Scholar] [CrossRef]
- Yehualaw, M.D.; Alemu, M.; Hailemariam, B.Z.; Vo, D.-H.; Taffese, W.Z. Aquatic Weed for Concrete Sustainability. Sustainability 2022, 14, 15501. [Google Scholar] [CrossRef]
- Li, Z.; Zhang, W.; Jin, H.; Fan, X.; Liu, J.; Xing, F.; Tang, L. Research on the durability and Sustainability of an artificial lightweight aggregate concrete made from municipal solid waste incinerator bottom ash (MSWIBA). Constr. Build. Mater. 2023, 365, 129993. [Google Scholar] [CrossRef]
- Nega, D.M.; Yifru, B.W.; Taffese, W.Z.; Ayele, Y.K.; Yehualaw, M.D. Impact of Partial Replacement of Cement with a Blend of Marble and Granite Waste Powder on Mortar. Appl. Sci. 2023, 13, 8998. [Google Scholar] [CrossRef]
- Liu, J.; Xie, G.; Wang, Z.; Zeng, C.; Fan, X.; Li, Z.; Ren, J.; Xing, F.; Zhang, W. Manufacture of alkali-activated cementitious materials using municipal solid waste incineration (MSWI) ash: Immobilization of heavy metals in MSWI fly ash by MSWI bottom ash. Constr. Build. Mater. 2023, 392, 131848. [Google Scholar] [CrossRef]
- Haiyan, Y.; Zhixiao, R.; Cuina, Q.; Lintong, H. Experimental study on recycled cement prepared from waste concrete. Ferroelectrics 2021, 570, 218–227. [Google Scholar] [CrossRef]
- Oikonomou, N. Recycled concrete aggregates. Cem. Concr. Compos. 2005, 27, 315–318. [Google Scholar] [CrossRef]
- Cantero, B.; del Bosque, I.S.; Matías, A.; de Rojas, M.S.; Medina, C. Inclusion of construction and demolition waste as a coarse aggregate and a cement addition in structural concrete design. Arch. Civ. Mech. Eng. 2019, 19, 1338–1352. [Google Scholar] [CrossRef]
- Yu, Y.; Wang, P.; Yu, Z.; Yue, G.; Wang, L.; Guo, Y.; Li, Q. Study on the Effect of Recycled Coarse Aggregate on the Shrinkage Performance of Green Recycled Concrete. Sustainability 2021, 13, 13200. [Google Scholar] [CrossRef]
- Taffese, W.Z. Suitability Investigation of Recycled Concrete Aggregates for Concrete Production: An Experimental Case Study. Adv. Civ. Eng. 2018, 2018, 8368351. [Google Scholar] [CrossRef]
- Batikha, M.; Ali, S.T.M.; Rostami, A.; Kurtayev, M. Using recycled coarse aggregate and ceramic waste to produce sustainable economic concrete. Int. J. Sustain. Eng. 2021, 14, 785–799. [Google Scholar] [CrossRef]
- Neto, R.O.; Gastineau, P.; Cazacliu, B.G.; Le Guen, L.L.; Paranhos, R.S.; Petter, C.O. An economic analysis of the processing technologies in CDW recycling platforms. Waste Manag. 2017, 60, 277–289. [Google Scholar] [CrossRef]
- Silva, R.V.; De Brito, J.; Dhir, R.K. Properties and composition of recycled aggregates from construction and demolition waste suitable for concrete production. Constr. Build. Mater. 2014, 65, 201–217. [Google Scholar] [CrossRef]
- Wang, J.; Mu, M.; Liu, Y. Recycled cement. Constr. Build. Mater. 2018, 190, 1124–1132. [Google Scholar] [CrossRef]
- Carriço, A.; Real, S.; Bogas, J.A.; Pereira, M.F.C. Mortars with thermo activated recycled cement: Fresh and mechanical characterisation. Constr. Build. Mater. 2020, 256, 119502. [Google Scholar] [CrossRef]
- He, Z.; Zhu, X.; Wang, J.; Mu, M.; Wang, Y. Comparison of CO2 emissions from OPC and recycled cement production. Constr. Build. Mater. 2019, 211, 965–973. [Google Scholar] [CrossRef]
- ASTM C150/C150M-22; Standard Specification for Portland Cement. American Society for Testing and Materials: West Conshohocken, PA, USA, 2022.
- Shui, Z.; Xuan, D.; Chen, W.; Yu, R.; Zhang, R. Cementitious characteristics of hydrated cement paste subjected to various dehydration temperatures. Constr. Build. Mater. 2009, 23, 531–537. [Google Scholar] [CrossRef]
- Endale, S.A.; Taffese, W.Z.; Vo, D.-H.; Yehualaw, M.D. Rice Husk Ash in Concrete. Sustainability 2022, 15, 137. [Google Scholar] [CrossRef]
- ASTM C618; A Standard Test Method for Coal Fly Ash and Raw Calcined Natural Pozzolan for Use in Concrete. American Society for Testing and Materials: West Conshohocken, PA, USA, 2015.
- Kalina, R.D.; Al-Shmaisani, S.; Seraj, S.; Cano, R.; Ferron, R.D.; Juenger, M.C.G. Role of Alkalis in Natural Pozzolans on Alkali-Silica Reaction. ACI Mater. J. 2021, 118, 83–89. [Google Scholar] [CrossRef]
- Li, Z.; Afshinnia, K.; Rangaraju, P.R. Effect of alkali content of cement on properties of high performance cementitious mortar. Constr. Build. Mater. 2016, 102, 631–639. [Google Scholar] [CrossRef]
- Carriço, A.; Bogas, J.A.; Guedes, M. Thermoactivated cementitious materials—A review. Constr. Build. Mater. 2020, 250, 118873. [Google Scholar] [CrossRef]
- Bogas, J.A.; Carriço, A.; Tenza-Abril, A.J. Microstructure of thermoactivated recycled cement pastes. Cem. Concr. Res. 2020, 138, 106226. [Google Scholar] [CrossRef]
- Kalinowska-Wichrowska, K.; Kosior-Kazberuk, M.; Pawluczuk, E. The Properties of Composites with Recycled Cement Mortar Used as a Supplementary Cementitious Material. Materials 2019, 13, 64. [Google Scholar] [CrossRef]
- Kim, Y.J.; Choi, Y.W. Utilization of waste concrete powder as a substitution material for cement. Constr. Build. Mater. 2012, 30, 500–504. [Google Scholar] [CrossRef]
- ASTM C29/C29M; Standard Test Method for Bulk Density (“Unit Weight”) and Voids in Aggregate. American Society for Testing and Materials: West Conshohocken, PA, USA, 2017.
- ASTM C117-17; Standard Test Method for Materials Finer than 75-μm (No. 200) Sieve in Mineral Aggregates by Washing. American Society for Testing and Materials: West Conshohocken, PA, USA, 2020.
- ASTM C136; Standard Test Method for Sieve Analysis of Fine and Coarse Aggregates. American Society for Testing and Materials: West Conshohocken, PA, USA, 2014.
- ASTM C128; Standard Test Method for Relative Density (Specific Gravity) and Absorption of Fine Aggregate. American Society for Testing and Materials: West Conshohocken, PA, USA, 2022.
- ASTM C566; Standard Test Method for Total Evaporable Moisture Content of Aggregate by Drying. American Society for Testing and Materials: West Conshohocken, PA, USA, 2019.
- Lim, S.; Mondal, P. Micro- and nano-scale characterization to study the thermal degradation of cement-based materials. Mater. Charact. 2014, 92, 15–25. [Google Scholar] [CrossRef]
- ASTM C109/C109M-20; Standard Test Method for Compressive Strength of Hydraulic Cement Mortars (Using 2-in. or [50-mm] Cube Specimens). American Society for Testing and Materials: West Conshohocken, PA, USA, 2020.
- ASTM C305; Standard Practice for Mechanical Mixing of Hydraulic Cement Pastes and Mortars of Plastic Consistency. American Society for Testing and Materials: West Conshohocken, PA, USA, 2020.
- ASTM C187; Standard Test Method for Amount of Water Required for Normal Consistency of Hydraulic Cement Paste. American Society for Testing and Materials: West Conshohocken, PA, USA, 2016.
- ASTM C191; Standard Test Methods for Time of Setting of Hydraulic Cement by Vicat Needle. American Society for Testing and Materials: West Conshohocken, PA, USA, 2021.
- ASTM C1437; Standard Test Method for Flow of Hydraulic Cement Mortar. American Society for Testing and Materials: West Conshohocken, PA, USA, 2020.
- ASTM C597; Standard Test Method for Pulse Velocity Through Concrete. American Society for Testing and Materials: West Conshohocken, PA, USA, 2016.
- ASTM E1131; Standard Test Method for Compositional Analysis by Thermogravimetry. American Society for Testing and Materials: West Conshohocken, PA, USA, 2020.
- Gedefaw, A.; Yifru, B.W.; Endale, S.A.; Habtegebreal, B.T.; Yehualaw, M.D. Experimental Investigation on the Effects of Coffee Husk Ash as Partial Replacement of Cement on Concrete Properties. Adv. Mater. Sci. Eng. 2022, 2022, 4175460. [Google Scholar] [CrossRef]
- Florea, M.; Ning, Z.; Brouwers, H. Activation of liberated concrete fines and their application in mortars. Constr. Build. Mater. 2014, 50, 1–12. [Google Scholar] [CrossRef]
- Xinwei, M.; Zhaoxiang, H.; Xueying, L. Reactivity of dehydrated cement paste from waste concrete subjected to heat treatment. In Coventry University and the University of Wisconsin Milwaukee Centre for By-Products Utilization Conference Proceeding Second International Conference on Sustainable Construction Materials and Technologies, Ancona, Italy, 28–30 June 2010; Università Politecnica delle Marche: Ancona, Italy, 2010; pp. 28–30. [Google Scholar]
- Yu, R.; Shui, Z. Influence of agglomeration of a recycled cement additive on the hydration and microstructure development of cement based materials. Constr. Build. Mater. 2013, 49, 841–851. [Google Scholar] [CrossRef]
- Ahmed, A.; Kamau, J.; Pone, J.; Hyndman, F.; Fitriani, H. Chemical Reactions in Pozzolanic Concrete. Mod. Approaches Mater. Sci. 2019, 1, 128–133. [Google Scholar] [CrossRef]
- Sargent, P. The development of alkali-activated mixtures for soil stabilisation. In Handbook of Alkali-Activated Cements, Mortars and Concretes; Pacheco-Torgal, F., Labrincha, J.A., Leonelli, C., Palomo, A., Chindaprasirt, P., Eds.; Woodhead Publishing: Oxford, UK, 2015; pp. 555–604. [Google Scholar] [CrossRef]
- BS 1881; Part 203, Testing Concrete: Part 203. Recommendations for Measurement of Velocity of Ultrasonic Pulses in Concrete. British Standards Institution: London, UK, 1986.
- Shahsavari, R.; Hwang, S.H. Morphogenesis of Cement Hydrate: From Natural C-S-H to Synthetic C-S-H. In Cement Based Materials; Saleh, H.E.-D.M., Rahman, R.O.A., Eds.; IntechOpen: Rijeka, Croatia, 2018. [Google Scholar] [CrossRef]
- Rodríguez-Camacho, R.; Uribe-Afif, R. Importance of using the natural pozzolans on concrete durability. Cem. Concr. Res. 2002, 32, 1851–1858. [Google Scholar] [CrossRef]
- Amin, M.N.; Ahmad, A.; Shahzada, K.; Khan, K.; Jalal, F.E.; Qadir, M.G. Mechanical and microstructural performance of concrete containing high-volume of bagasse ash and silica fume. Sci. Rep. 2022, 12, 5719. [Google Scholar] [CrossRef] [PubMed]
- Worku, M.A.; Taffese, W.Z.; Hailemariam, B.Z.; Yehualaw, M.D. Cow Dung Ash in Mortar: An Experimental Study. Appl. Sci. 2023, 13, 6218. [Google Scholar] [CrossRef]
- Fridrichová, M.; Dvořák, K.; Gazdič, D.; Mokrá, J.; Kulísek, K. Thermodynamic Stability of Ettringite Formed by Hydration of Ye’elimite Clinker. Adv. Mater. Sci. Eng. 2016, 2016, 9280131. [Google Scholar] [CrossRef]
- Maddalena, R.; Hall, C.; Hamilton, A. Effect of silica particle size on the formation of calcium silicate hydrate [C-S-H] using thermal analysis. Thermochim. Acta 2019, 672, 142–149. [Google Scholar] [CrossRef]
- Santos, T.A.; Silva, G.A.d.O.e.; Ribeiro, D.V. Mineralogical Analysis of Portland Cement Pastes Rehydrated. J. Solid Waste Technol. Manag. 2020, 46, 15–23. [Google Scholar] [CrossRef]
- Karunadasa, K.S.; Manoratne, C.; Pitawala, H.; Rajapakse, R. Thermal decomposition of calcium carbonate (calcite polymorph) as examined by in-situ high-temperature X-ray powder diffraction. J. Phys. Chem. Solids 2019, 134, 21–28. [Google Scholar] [CrossRef]
- Lee, S.; Moon, H. Swamy Sulfate attack and role of silica fume in resisting strength loss. Cem. Concr. Compos. 2005, 27, 65–76. [Google Scholar] [CrossRef]
- Tian, B.; Cohen, M.D. Does gypsum formation during sulfate attack on concrete lead to expansion? Cem. Concr. Res. 2000, 30, 117–123. [Google Scholar] [CrossRef]
- Tayeh, B.A.; Al Saffar, D.M.; Aadi, A.S.; Almeshal, I. Sulphate resistance of cement mortar contains glass powder. J. King Saud Univ. Eng. Sci. 2020, 32, 495–500. [Google Scholar] [CrossRef]
- Güneyisi, E.; Gesoğlu, M. A study on durability properties of high-performance concretes incorporating high replacement levels of slag. Mater. Struct. 2008, 41, 479–493. [Google Scholar] [CrossRef]
- Jiang, C.; Cai, S.; Mao, L.; Wang, Z. Effect of Porosity on Dynamic Mechanical Properties and Impact Response Characteristics of High Aluminum Content PTFE/Al Energetic Materials. Materials 2019, 13, 140. [Google Scholar] [CrossRef] [PubMed]
- Zhang, S.P.; Zong, L. Evaluation of Relationship between Water Absorption and Durability of Concrete Materials. Adv. Mater. Sci. Eng. 2014, 2014, 650373. [Google Scholar] [CrossRef]
- Alsayed, S.H.; Amjad, M.A. Strength, Water Absorption and Porosity of Concrete Incorporating Natural and Crushed Aggregate. J. King Saud Univ. Eng. Sci. 1996, 8, 109–119. [Google Scholar] [CrossRef]
- Vo, D.-H.; Hwang, C.-L.; Thi, K.-D.T.; Yehualaw, M.D.; Chen, W.-C. Effect of Fly Ash and Reactive MgO on the Engineering Properties and Durability of High-Performance Concrete Produced with Alkali-Activated Slag and Recycled Aggregate. J. Mater. Civ. Eng. 2020, 32, 04020332. [Google Scholar] [CrossRef]














| Items | OPC | TARC | |
|---|---|---|---|
| Physical properties | Surface area (m2/g) | 340 | 501 |
| Pore volume (cc/g) | 0.0789 | 0.079 | |
| Pore size (Å) | 8.13 | 9.24 | |
| Specific gravity (g/cm3) | 3.15 | 2.66 | |
| Chemical compositions | CaO | 65.42 | 40.83 |
| SiO2 | 23.82 | 25.36 | |
| Al2O3 | 4.79 | 5.4 | |
| Fe2O3 | 3.05 | 8.5 | |
| K2O | 0.9 | 0.5 | |
| MgO | 1.51 | 4.96 | |
| Na2O | 0.54 | 1.5 | |
| LOI | - | 10.98 | |
| Items | Test Method | Result | Limit | Within Limits |
|---|---|---|---|---|
| Unit weight (kg/m3) | ASTM C29/C29M [37] | 1408.3 | 1200–1760 | √ |
| Silt content (%) | ASTM C117 [38] | 2.07 | <5 | √ |
| Fineness modules | ASTM C136 [39] | 2.80 | 2.3–3.2 | √ |
| Relative density | ASTM C128 [40] | 2.32 | 2.3–2.9 | √ |
| Absorption (%) | ASTM C128 [40] | 1.39 | 0.2–2 | √ |
| Moisture content (%) | ASTM C566 [41] | 3.15 | 0–10 | √ |
| Mix Code | Ingredient Proportion | ||||||
|---|---|---|---|---|---|---|---|
| w/b | OPC | TARC | Sand (g) | Water (mL) | |||
| % | g | % | g | ||||
| T0 | 0.486 | 100 | 888.00 | 0 | 0.00 | 2442.00 | 516.82 |
| T10 | 0.486 | 90 | 799.20 | 10 | 88.80 | 2442.00 | 516.82 |
| T20 | 0.486 | 80 | 710.40 | 20 | 177.60 | 2442.00 | 516.82 |
| T30 | 0.486 | 70 | 621.60 | 30 | 266.40 | 2442.00 | 516.82 |
| T40 | 0.486 | 60 | 532.80 | 40 | 355.20 | 2442.00 | 516.82 |
| T50 | 0.486 | 50 | 444.00 | 50 | 444.00 | 2442.00 | 516.82 |
| Assignment | Bond | Phase | Absorption Peak (cm−1) | ||||
|---|---|---|---|---|---|---|---|
| T0 | T10 | T20 | T30 | T50 | |||
| O–H stretching of Ca(OH)2 | O–H | Portlandite | 3749 | 3741 | 3744 | 3740 | 3734 |
| Symmetric and asymmetric stretching of water molecules | O–H | H2O capil | 3585–2977 | 3658–2971 | 3654–2948 | 3667–2944 | 3665–2962 |
| Asymmetric stretching of the C–H bond | C–H | CH2 or CH3 | 2923 | 2920 | 2928 | 2872 | 2915 |
| Stretching of absorbed water | O–H | H2O capil | 1707–1547 | 1702–1552 | 1701–1560 | 1709–1748 | 1723–1549 |
| Stretching of CO3 | C–O | Vaterite/ Calcite | 1547–1192 | 1552–1206 | 1560–1218 | 1548–1190 | 1549–1190 |
| Formation of C–S–H band | Si–O | Afwillite | 1192–728 | 1206–734 | 1218–729 | 1190–723 | 1190–730 |
| Ettringite or monosulfate | S–O | Ettringite | 1106 | 1098 | 1090 | 1087 | 1090 |
| Stretching of Si–O bond of calcium silicate hydrate (C–S–H) | Si–O | Afwillite | 965 | 969 | 970 | 964 | 956 |
| C3S | Si–O | Alite | 870 | 870 | 874 | 869 | 869 |
| C2S | Si–O | Blite | 540 | 533 | 522 | 525 | 529 |
| Thermal Event | Temperature Range °C | Weight Loss in mg and % | |||
|---|---|---|---|---|---|
| Control | T20 | ||||
| mg | % | mg | % | ||
| Water loss from dehydration C–S–H, C–A–H, ettringite, and hydrotalcite decomposition | <390 | 0.69 | 6.92 | 0.70 | 7.04 |
| Hydrated silica and alumina compounds (C2S and C3A) | 390–520 | 0.06 | 0.57 | 0.06 | 0.56 |
| Water loss from Portlandite decomposition | 520–550 | 0.11 | 1.05 | 0.06 | 0.58 |
| Decarbonization or CO2 loss from the calcite decomposition (probably dolomite) | 650–800 | 0.32 | 3.23 | 0.24 | 2.43 |
Disclaimer/Publisher’s Note: The statements, opinions and data contained in all publications are solely those of the individual author(s) and contributor(s) and not of MDPI and/or the editor(s). MDPI and/or the editor(s) disclaim responsibility for any injury to people or property resulting from any ideas, methods, instructions or products referred to in the content. |
© 2023 by the authors. Licensee MDPI, Basel, Switzerland. This article is an open access article distributed under the terms and conditions of the Creative Commons Attribution (CC BY) license (https://creativecommons.org/licenses/by/4.0/).
Share and Cite
Getachew, E.M.; Yifru, B.W.; Taffese, W.Z.; Yehualaw, M.D. Enhancing Mortar Properties through Thermoactivated Recycled Concrete Cement. Buildings 2023, 13, 2209. https://doi.org/10.3390/buildings13092209
Getachew EM, Yifru BW, Taffese WZ, Yehualaw MD. Enhancing Mortar Properties through Thermoactivated Recycled Concrete Cement. Buildings. 2023; 13(9):2209. https://doi.org/10.3390/buildings13092209
Chicago/Turabian StyleGetachew, Ephrem Melaku, Begashaw Worku Yifru, Woubishet Zewdu Taffese, and Mitiku Damtie Yehualaw. 2023. "Enhancing Mortar Properties through Thermoactivated Recycled Concrete Cement" Buildings 13, no. 9: 2209. https://doi.org/10.3390/buildings13092209
APA StyleGetachew, E. M., Yifru, B. W., Taffese, W. Z., & Yehualaw, M. D. (2023). Enhancing Mortar Properties through Thermoactivated Recycled Concrete Cement. Buildings, 13(9), 2209. https://doi.org/10.3390/buildings13092209

