Abstract
To investigate the arching effect of shallow buried hard rock tunnels under overlying load, the engineering scenario of a subway station on Qingdao Metro Line 6 is utilized. A large-scale tunnel loading model test is conducted, in conjunction with finite element numerical simulations, to analyze the impact of various overburden ratios on strata arching. The results show that: when the tunnel excavation span is certain, with an increase in the overlying rock mass, the stress diffusion process of the surrounding rock can be better accomplished to form the arch effect. This means that the thickness of the overburden of the tunnel determines whether or not the surrounding rock appears to have a stratified arch effect. When the tunnel overlying rock thickness is certain, the span of the tunnel determines the shape of the formation into an arch, that is, the curvature of the arch. The joint surface is an important factor in tunnel stability. When the overlying load increases to a certain value, the rock mass at the joint plane slips relatively, leading to the displacement phenomenon of the surrounding rock, which then affects the formation and shape of the formation arch.
1. Introduction
With the rapid development of China’s economy and the expanding scale of urbanization, the development and utilization of urban underground space is of great practical significance [1]. However, its development process has a large uncertainty and risk, which leads to the collapse of the project and affects the stability of the surrounding rock [2,3,4]. The arching effect is common in underground projects as a result of the equilibrium of stress redistribution in the excavated rock. The presence of the arch effect makes the underground space much safer. At the beginning of the 20th century, research on roadways under deep burial conditions began, and the natural balanced arch was found and the formula for discriminating arch formation was given [5]. The formula for calculating the loosened soil pressure was derived from the famous Live Fall Gate Test and it was confirmed that the arch effect is the result of stress redistribution [6]. With the progress of science and technology, the arch formation law of the main stress vector deflection of the quarry overburden has been simulated based on the FLAC3D 7.0 numerical software. The arching effect evolution characteristics are characterized by the derived compressive stress arching index [7]. Through the method of combining theoretical analysis and physical model tests to analyze the change rule of the stress law of the roadway, the evolution law of the pressure arch of the deeply buried roadway was obtained [8]. The tunnel soil arch effect has been explored on the basis of model tests and numerical simulations. The time-varying characteristics of soil arch evolution under different working conditions have been revealed by analyzing the damage mode of sandy soil and the changing law of soil pressure [9]. The above results are the arching law of tunnel surrounding rock under deep burial conditions. With the development of the urban metro, the theory of deep burial can no longer meet the current demand, and the conditions of arch formation need to be further analyzed. The “arch effect” is shown to exist in hard rock shallow tunnels by calculating the surrounding rock pressure with a complex function [10]. The relationship between the stress deflection angle and the relative displacement of soil at different depths for shallow structures was established on the incomplete soil arch effect. And on this basis, the earth pressure calculation method is optimized, and the results are better than Terzaghi’s theory and practical coupling [11]. A combination of similar model tests and finite element numerical simulations have been used to study the formation mechanism of pressure arches in loosely stacked body tunnels, and the shapes of pressure arches obtained from tests and calculations are all in the form of pointed arches [12]. Based on the Terzaghi stratigraphic arch theory, a mechanical model of the progressive stratigraphic arch was established. It is shown that the extent of the initial loosening zone is not affected by the overburden-to-span ratio but by the strength of the strata and decreases with an increase in the internal friction angle [13]. The evolution process of soil arch in shield excavation is investigated, which in turn reveals the three-dimensional force transfer mechanism in the soil arch area [14]. A stratum arch stress model applicable to shallow burial conditions was established based on Pratt’s theory, and the calculation results were verified by numerical simulation [15]. The presence of the stratigraphic arch allows the surrounding rock to share most of the overlying load [10], thus reducing the support cost to a certain extent. The stability of large-section tunnels excavated under different geological conditions has been investigated using extensive model tests and numerical simulations [16]. Although the arching effect of tunnels has been studied [17,18], most of the arching studies are confined to the tunnel excavation stage. Despite these advances, the understanding of shallow buried hard rock tunnels remains limited, particularly regarding the effects of overlying load. The question of whether there is a stratigraphic arch in shallow buried hard rock tunnels under overburden loading remains. If there is one, what factors affect the formation of the arch have not yet been identified.
Building on these previous works, there is still a need to investigate the specific factors affecting arch formation in shallow buried hard rock tunnels. Therefore, this study aims to investigate the factors affecting arch formation in shallow buried hard rock tunnels under overlying load. Based on this, this paper takes a metro station of the Qingdao Metro Line 6 as the engineering background. According to the similarity theory, an indoor model test is designed to judge whether the ground arch is formed through the stress change characteristics of the surrounding rock during the overburden loading process. And numerical simulations are used to explore the influence factors of shallow buried hard rock tunnel arch formation under loading in order to provide a reference for the design and construction of similar tunnel projects.
2. Model Tests
2.1. Project Background
The subway station on Qingdao Metro Line 6 is an underground concealed excavation double-decker island platform station. The depth of the main vault of the station is 25.7–28.6 m, and the thickness of the overlying rock is 19.5–24.2 m. The maximum excavation span of the main arch of the station is 22.4 m. The station site belongs to the denuded remnant mound landform unit; the topography is gentle on the whole, and the thickness of the Quaternary System is 0.9~7.0 m. It is mainly composed of the Quaternary Holocene artificial fill layer (Q4 ml). The underlying bedrock is the late Mesozoic Yanshan granite and Indo-Chinese amphibolite, and the vein rocks are mainly brilliant porphyry and granite veins. The cave is basically located in the slightly weathered rock, dominated by granite, with a strength of 76.40 MPa, which is a more complete–intact harder rock–hard rock. This station is a shallow buried hard rock large span tunnel, and the geological profile of the tunnel is shown in Figure 1.
Figure 1.
Geological section of a station.
2.2. Model Experimental Design
The model test took 1:40 as the geometric similarity ratio, with selected cement, gypsum, quartz sand, barite powder and water as raw materials, and materials similar to the surrounding rock were configured according to 1:1.08:7.45:1.85:1.08. The physical and mechanical parameters and the field-measured surrounding rock parameters are shown in Table 1. At the same time, the dominant jointing surface was simulated with sulphate plates, and the main jointing surface inclination was designed to be mainly 60° 66° 74° in combination with the site conditions.
Table 1.
Physical and mechanical parameters of surrounding rock.
2.3. Test Setup and Arrangement
The model test chamber consists of a steel plate and an acrylic plate, as shown in Figure 2. The size of the test box is 3 m × 0.6 m×1.8 m (length × width × height). The hole size is 0.56 m × 0.6 m × 0.44 m (length × width × height), where the model span is 0.56 m and the overlying rock thickness is 0.56 m. The top of the model box is loaded with a counterforce frame and a hydraulic jack. The first three levels are loaded with 100 kN each, followed by 50 kN each, at a loading rate of 10 kN/min. After each level is loaded, the load holding stage is entered, and the next level is loaded after the monitoring data is stabilized. In order to investigate the state of the tunnel during the loading process, earth pressure boxes were laid on the vault, arch waist, foot and side walls of the tunnel as shown in Figure 3. The process of earth pressure box burial and the location of measurement points are shown in Figure 4.
Figure 2.
Model test stand.
Figure 3.
Schematic diagram of monitoring element layout.
Figure 4.
Burying process diagram of miniature earth pressure box.
2.4. Analysis of Experimental Results
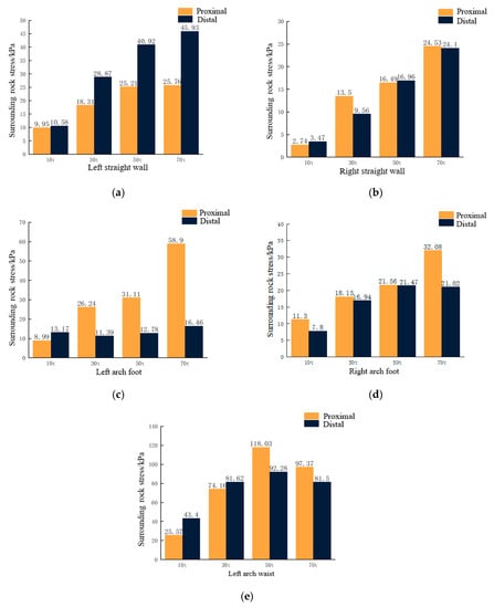
Figure 5 represents the change of radial stress at each measurement point during the loading process in the tunnel. From Figure 5, we can observe: when the overlying load is loaded from 10 t to 30 t during the load process, the distal rock stress of the left straight wall, the left arch waist and the vault of the tunnel is greater than the proximal rock stress. When the overlying load reaches 30 t, the surrounding rock stress at the proximal end of the left arch foot, the right arch foot and the right straight wall tunnel is greater than that at the distal end. And the difference between the peripheral rock pressure at the distal and proximal ends of the right arch foot, the vault, the left straight wall and the left arch foot becomes larger compared to the previous one, and the peripheral rock stress fluctuates in different parts of the tunnel. This is due to stress transfer, diffusion and redistribution within the rock mass. When the overlying load is loaded from 30 t to 50 t during the load process, the distal surrounding rock stress of the left straight wall and vault of the tunnel is greater than the proximal surrounding rock stress. Among them, the gap at the vault is most obvious at 3.53 times, and the proximal peripheral rock stresses of the left arch waist and right arch waist change greatly compared to the distal peripheral rock stresses. The phenomenon of reduced stress in the surrounding rock at the distal and proximal ends of the left arch waist of the tunnel is due to the influence of the jointing surface, which preferentially produces cracks leading to a reduction in the bearing capacity of the surrounding rock at this location. When the overburden load was loaded from 50 t to 70 t, the overall trend of the proximal rock stress was stable, while the distal rock stress at the top of the arch increased suddenly and the proximal rock stress changed less. At this moment, the distal surrounding rock is the main carrier of the load, and this phenomenon indicates that there is a stratum arch effect in the shallow buried hard rock tunnel during the loading process.

Figure 5.
Stress diagram of surrounding rock for loading test: (a) left straight wall measurement point; (b) right straight wall measurement point; (c) left arch foot measurement point; (d) right arch foot measurement point; (e) left arch waist measurement point; (f) right arch waist measurement point; (g) vault measurement point.
3. Numerical Simulations
In order to verify the accuracy of the model tests and further study the influencing factors of arch formation in shallow buried hard rock tunnels under overlying load, FLAC3D was used to simulate and analyze different working conditions in this paper.
3.1. Modeling
An underground station of the Qingdao Metro Line 6 is taken as the engineering background to construct a loading numerical simulation model of a shallow buried hard rock tunnel. The size of the model is 134.4 m × 72 m × 24 m (length × width × thickness), the tunnel span is 22.4 m, and the thickness of the overlying rock is 22.4 m, as shown in Figure 6. The solid unit is used for the surrounding rock part of the model; the Shell structural unit is used for the concrete spray layer, and the Cable structural unit is used for the preload anchor, and the parameters of each unit are detailed in Table 2. To make the simulation more realistic, the main joint position and the dip angle measured in the field are characterized using the interface contact unit. The excavation method is highly consistent with the on-site construction, and the seven-step method is used to simulate the excavation, while the method of supporting the excavation while excavating is used, as shown in Figure 7.
Figure 6.
Tunnel loading simulation model.
Table 2.
Element parameters of tunnel numerical simulation model.
Figure 7.
Schematic diagram of contact unit.
3.2. Numerical Simulations of Working Conditions
Previous research has shown that the tunnel thickness–span ratio is the main factor influencing tunnel stability and stress distribution in the surrounding rock under lithological conditions [19,20]. In order to investigate the arch formation law and the conditions of shallow buried hard rock tunnels under the action of loading, each working condition was simulated for different overlying rock thicknesses and different tunnel spans, and the factor parameters are shown in Table 3.
Table 3.
Tunnel model parameters in various working conditions.
In order to make the simulation results validate each other with the model test and match the actual situation, the main joint surfaces are characterized according to field statistics. After excavation, a stable vertical load was applied to the model and graded loading was realized using Fish language. With reference to the model test results and similar theories, the overlying load was divided into seven stages with each stage applying 2.08 MPa.
The displacement clouds of the tunnel (overlying rock thickness 22.4 m, tunnel span 22.4 m) under all levels of the overlying load were calculated and obtained as shown in Figure 8. From Figure 8, it can be obtained that the maximum displacement is 12 cm under a one-level load, and the overall center-symmetric distribution of the surrounding rock displacement can also be obtained. When the overlying load is loaded to three levels, the maximum displacement is 38 cm and the distribution pattern of the surrounding rock displacement is similar to that of a one-level load. As the overlying load continues to increase, there is a significant rightward shift in the displacement of the surrounding rock. This is due to the fact that there is no relative slip at the joints under smaller external forces and the displacement of the surrounding rock above the tunnel is more uniform. When the overlying load increases to a certain value, the rock body at the joint surface produces a relative slip, resulting in displacement deflection of the surrounding rock. When the seven-level load is reached, the displacement of the surrounding rock increases suddenly and the maximum displacement is 2.09 m, which is about 2.68 times of the five-level load. It can be seen that the presence of jointed surfaces has a greater impact on tunnel stability.
Figure 8.
Cloud map of loading tunnel displacement: (a) one-level load; (b) three-level load; (c) five-level load; (d) seven-level load.
3.3. Analysis of Factors Influencing Overlying Rock Thickness
In order to study the influence of overlying rock thickness on tunnel stability, numerical models were established for four working conditions with a tunnel span of 22.4 m and overlying rock thicknesses of 18.4 m, 22.4 m, 26.4 m and 30.4 m under seven levels of loading. The displacement clouds under each working condition are shown in Figure 9. From Figure 9, it can be obtained that when the tunnel span is certain, the ground settlement gradually decreases with the increase in the overlying rock thickness under the same load. The maximum displacement at an overburden of 18.4 m is approximately 3.1 times the 30.4 m overburden. As the thickness of the overlying rock increases, the area of the maximum displacement region decreases and the growth rate of the maximum displacement decreases. This shows that as the overlying rock thickness increases, the area affected by the displacement of the surrounding rock becomes smaller and more evenly distributed. During the loading process, the overlying rock of the tunnel is the main carrier of the load, and the overlying rock thickness is one of the important factors affecting the stress distribution and stability of the tunnel.

Figure 9.
Cloud map of tunnel displacement with different overburden thicknesses: (a) overlying rock thickness 18.4 m; (b) overlying rock thickness 22.4 m; (c) overlying rock thickness 26.4 m; (d) overlying rock thickness 30.4 m.
To explore the effect of overlying rock thickness on the tunnel mechanics, monitoring points were arranged at 2 m, 4 m, 6 m, 8 m and 10 m from the vault along the centerline of the tunnel to monitor the surrounding rock stress under different levels of loading. The stress diagram for each overlying rock thickness is shown in Figure 10. As can be seen from Figure 10, the initial values of each measurement point do not differ much at the beginning of loading. With the application of load, the difference of each measurement point gradually increases, and it is most obvious at the 4~6 m measurement points. As the overlying rock thickness increases, the overall stress in the surrounding rock generally decreases, with a 30.4 m overlying rock thickness reducing the stress in the surrounding rock by a factor of 2.6 compared to an 18.4 m overlying rock thickness. It is shown that a certain thickness of surrounding rock helps the transfer and diffusion of stress, making the tunnel more stable.
Figure 10.
Tunnel stress of different overlying rock thickness: (a) overlying rock thickness 18.4 m; (b) overlying rock thickness 22.4 m; (c) overlying rock thickness 26.4 m; (d) overlying rock thickness 30.4 m.
With the overlying rock of the tunnel as the main body of bearing, different overburden thicknesses of the tunnel surrounding rock stress and displacement distributions vary. As shown in Figure 11, when the overlying rock thickness is 22.4 m, 26.4 m and 30.4 m (thickness–span ratio ≥ 1), the main bearing area of the overburden is located at 4–6 m from the tunnel opening, where the surrounding rock carries about 60% of the load. The results indicate that there is a stratigraphic arch effect in this area, which is consistent with the model test results. When the overlying rock thickness is 18.4 m (thickness–span ratio = 0.82), the stress diffusion process of the surrounding rock under the overlying load cannot be completed better, and the arch effect is not formed in the stratum. Therefore, the overlying rock thickness determines whether the stratum arch phenomenon occurs in the surrounding rock.
Figure 11.
Percentage of strata stress at different overlying rock thicknesses: (a) overlying rock thickness 18.4 m; (b) overlying rock thickness 22.4 m; (c) overlying rock thickness 26.4 m; (d) overlying rock thickness 30.4 m.
3.4. Analysis of Factors Influencing Tunnel Span
In addition to the overlying rock thickness factor, tunnel span is also one of the important factors affecting the stress and displacement distribution in the tunnel envelope. Numerical models were established for four working conditions with an overlying rock thickness of 22.4 m and tunnel spans of 22.4 m, 23.4 m, 24.4 m and 25.4 m under seven levels of loading, and the displacement clouds under each working condition are shown in Figure 12. From Figure 12, it can be obtained that when the overlying rock thickness is certain, the ground settlement gradually increases with an increase in the tunnel span under the same load. The maximum displacement at a 25.4 m tunnel span is approximately 2.3 times the 22.4 m tunnel span. With an increase in tunnel span, the area of maximum displacement expands and the growth rate of maximum displacement also increases. It can be seen that when the span of the tunnel increases, the area of the surrounding rock at the top of the tunnel increases, resulting in increased deformation of the surrounding rock in the vault area. Therefore, the stability of the tunnel under large-span conditions is reduced, and the support of the vault needs to be strengthened.
Figure 12.
Cloud map of surrounding rock displacement with different tunnel spans: (a) tunnel span 22.4 m; (b) tunnel span 23.4 m; (c) tunnel span 24.4 m; (d) tunnel span 25.4 m.
Similarly, to explore the effect of span on tunnel mechanics, the monitoring points are arranged in the same way as the overlying rock thickness simulation scheme, and the stress diagram for each tunnel span working condition is shown in Figure 13. Figure 13 shows that the difference between the measured points of the surrounding rock above the tunnel decreases as the tunnel span increases under the same overlying load. Starting from the tunnel span of 23.4 m, when the overlying load increases to six levels, the stress in the surrounding rock at the 4 m measurement point increases in line with the increase in the tunnel span and reaches a maximum of 252 kPa at the tunnel span of 25.4 m, exceeding the other measurement points. The stress growth rate at the measurement point at 2 m is almost zero at this stage, indicating that the surrounding rock above the measurement point at 2 m has produced the stratigraphic arch effect and has carried most of the overlying load. Again, this result is in agreement with the model test results.
Figure 13.
Time history diagram of stress in different tunnel spans: (a) tunnel span 22.4 m; (b) tunnel span 23.4 m; (c) tunnel span 24.4 m; (d) tunnel span 25.4 m.
In order to further analyze the effect of span on the tunnel surrounding rock stress, the stresses at the measured points under each span condition were counted, and the percentage of stresses in different span rock formations is shown in Figure 14. From Figure 14, it can be seen that the bearing percentage of the surrounding rock in the 4~6 m rock zone decreases with the increase in the tunnel span at a certain overlying rock thickness. From Figure 14, it can be seen that the bearing percentage of the surrounding rock in the interval of 4–6 m rock layer decreases with the increase in tunnel span at a certain thickness of overlying rock. However, the bearing percentage of the surrounding rock in the interval of 2~4 m rock layer increases significantly, indicating that the main bearing zone moves from the distal to the proximal end of the tunnel. When the tunnel span is 22.4 m (thickness–span ratio = 1), the surrounding rock at 4~6 m bears 58% of the load. When the tunnel span is 25.4 m (thickness–span ratio = 0.88), the surrounding rock at 2~4 m bears 74% of the load. Therefore, the span of the tunnel under certain conditions determines the shape of the strata into an arch, i.e., the arc of the arch.
Figure 14.
Percentage of rock stress in different spans: (a) tunnel span 22.4 m; (b) tunnel span 23.4 m; (c) tunnel span 24.4 m; (d) tunnel span 25.4 m.
4. Discussion
This paper investigates the stress displacement distribution and arch formation effect of shallow buried hard rock tunnel envelopes under overlying load by combining model tests and numerical simulations, which provides a reference for exploring the stability of a shallow buried hard rock tunnel project. Subsequently, a large number of studies will be conducted around the submerged tunnel envelope to further consider the impact of the presence of faults and water-rich and other extreme conditions on the stability of the tunnel in the actual project.
Based on the above research on arch formation factors, it was successfully applied to the support design of Qingdao Metro Line 6. Timely active support, taking into account the influence of formation arching, greatly improves the stability of the tunneling project. The effectiveness of support in shallow buried hard rock tunnels was analyzed based on field monitoring data. Under the action of tunnel arch formation, the surrounding rock bears most of the surrounding rock pressure, and the steel frame and concrete spray layer bears lower surrounding rock pressure and the deformation pressure of the carrier. When the force is stabilized, the maximum stress and strain values of the steel frame and concrete sprays reach only 20% and 38% of the control values, with a large safety reserve of the passive support structure, and the tunnel is in a safe and stable condition. Due to the supporting effect of the ground arch, the steel frame and the concrete spray layer are no longer used as the main bearing elements but only as a preventive block and auxiliary support.
5. Conclusions
The existence of a stratigraphic arch effect in shallow buried hard rock tunnels under overlying load was confirmed through model tests. Numerical simulations were used to further analyze the influencing factors of arch formation in shallow buried hard rock tunnels under overlying load, and the following conclusions were obtained:
- (1)
- The thickness of the overlying rock of the tunnel determines whether the phenomenon of stratigraphic arch occurs in the surrounding rock. The formation of stratigraphic arches in the surrounding rock is 4–6 m above the tunnel excavation profile when the overlying rock thickness is 22.4 m, 26.4 m and 30.4 m, respectively, (thickness–span ratio ≥1) at a tunnel excavation span of 22.4 m. When the overlying rock thickness is 18.4 m (thickness–span ratio = 0.82), the stress diffusion process of the surrounding rock under the overlying load cannot be completed better, and the arch effect is not formed in the stratum.
- (2)
- The span of the tunnel determines the shape of the strata into an arch, i.e., the arc of the arch. The formation of stratigraphic arches occurs in the surrounding rock 4–6 m above the tunnel excavation profile at a tunnel overlying rock thickness of 22.4 m when the tunnel span is 22.4 m (thickness–span ratio = 1). When the tunnel span is 25.4 m (thickness–span ratio = 0.88), the surrounding rock at 2~4 m above the tunnel excavation profile forms a stratigraphic arch.
- (3)
- The joint surface is an important factor affecting the stability of the tunnel. When the overlying load increases to a certain value, the rock body at the joint surface produces a relative slip, resulting in a displacement offset of the surrounding rock, which in turn affects the formation and shape of the stratigraphic arch. But how the joint surface affects it needs to be studied more thoroughly.
Author Contributions
L.C. was mainly responsible for the preliminary research of the literature and the drafting of the manuscript. W.C. was mainly involved in the implementation of the model test and data analysis. Z.Q. made significant contributions to the conceptualization of the study, the design of the modeling experiments, and the conceptualization of the numerical simulation methodology. R.X. was mainly responsible for the implementation of the model test and the drafting of the first draft. T.W. was mainly responsible for the establishment of the numerical simulations. Y.L. was mainly responsible for the analysis of the simulation results. All authors have read and agreed to the published version of the manuscript.
Funding
Financial support from Key Laboratory of Geological Safety of Coastal Urban Underground Space, Ministry of Natural Resources (BHKF2022Y03).
Institutional Review Board Statement
Not applicable.
Informed Consent Statement
Not applicable.
Data Availability Statement
All data generated or analyzed in this study are included in the published article.
Acknowledgments
We gratefully acknowledge the financial support from Key Laboratory of Geological Safety of Coastal Urban Underground Space, Ministry of Natural Resources (BHKF2022Y03).
Conflicts of Interest
The authors declare no conflict of interest.
References
- Yu, P.; Liu, H.H.; Wang, Z.S.; Fu, J.; Zhang, H.; Wang, J.; Yang, Q. Development of urban underground space in coastal cities in China: A review. Deep Undergr. Sci. Eng. 2023, 2, 148–172. [Google Scholar] [CrossRef]
- Fan, H.Y.; Li, L.P.; Zong, P.J.; Liu, H.; Yang, L.; Wang, J.; Yan, P.; Sun, S. Advanced stability analysis method for the tunnel face in jointed rock mass based on DFN-DEM. Undergr. Space 2023, 13, 136–149. [Google Scholar] [CrossRef]
- Hu, J.; Pan, H.; Liu, H.; Li, L.; Fan, H.; Liu, Q. Response of acoustic emission and vibration monitoring data during rock block collapse in the tunnel: Small-and large-scale experiments study. Tunn. Undergr. Space Technol. 2023, 137, 105121. [Google Scholar] [CrossRef]
- Yang, G.Y.; Li, L.L.; Liu, H.L.; Lai, Y.; Zhu, C.; Hou, J.; Dai, Y. Experimental study on evolution law of dynamic characteristic parameters during the tunnel surrounding rock block collapse process. Tunn. Undergr. Space Technol. 2023, 140, 105336. [Google Scholar] [CrossRef]
- Cai, M.F. Rock Mechanics and Engineering; Sciences Press: Beijing, China, 2002; pp. 330–333. [Google Scholar]
- Terzaghi, K. Theoretical Soil Mechanics; John Wiley &Sons: New York, NY, USA, 1947; pp. 66–76. [Google Scholar]
- Zhao, Y.H.; Yu, J.; Zhou, C.H. Characterization of pressure arching effect of arch shell surrounding rock considering deviation of principal stress axis. Geotech. Eng. 2021, 43, 1842–1850. [Google Scholar]
- Du, X.L.; Ma, Q.Y.; Song, H.W.; Wei, J.H. Simulation on Evolution Characteristics of the Pressure Arch in Bedded Rock at Coal Mining. Chin. J. Undergr. Space Eng. 2017, 13, 381–386. [Google Scholar]
- Cui, P.B.; Zhu, Y.Q.; Liu, Y.; Zhu, Z.G.; Pan, Y.D. Model test and particle flow numerical simulation of soil arch effect for unsaturated sandy soil tunnel. Rock Soil Mech. 2021, 42, 3451–3466. [Google Scholar]
- Gong, X.D. Analysis of arching effect of shallow buried tunnel in hard rock stratum. J. Railw. Eng. Soc. 2019, 36, 58–64. [Google Scholar]
- Lai, F.W.; Chen, F.Q.; Wan, L.L. Vertical stress calculation of shallow foundations based on partially developed soil arching effect. Rock Soil Mech. 2018, 39, 2546–2554. [Google Scholar]
- Zan, W.B.; Lai, J.X. Experiments and numerical simulations on pressure-arch effect for a tunnel in loose deposits. Geotech. Eng. 2021, 43, 1666–1674. [Google Scholar]
- Wang, H. Theoretical Analysis of the Arching Effect for Large Tunnels with Shallow Overburden Depth and the Resulted Rock Load. Ph.D. Thesis, Beijing Jiaotong University, Beijing, China, 2020. [Google Scholar]
- Lin, X.T.; Chen, R.P.; Wu, H.N. Three-dimensional stress-transfer mechanism and soil arching evolution induced by shield tunneling in sandy ground. Tunn. Undergr. Space Technol. 2019, 93, 103104.1–103104.13. [Google Scholar]
- Fan, H.Y.; Li, L.P.; Liu, H.L. Improvement to the calculating model of the pressure arch’s height considering the confining pressure in the excavation of shallow tunnels. Arab. J. Geosci. 2021, 14, 1130. [Google Scholar] [CrossRef]
- Sun, Z.Y.; Zhang, D.L.; Li, A.; Lu, S.; Tai, Q.; Chu, Z. Model test and numerical analysis for the face failure mechanism of large cross-section tunnels under different ground conditions. Tunn. Undergr. Space Technol. 2022, 130, 104735. [Google Scholar]
- Li, R.; Zhang, D.; Song, Y.; Li, A.; Luo, J. Pressure Arch Effect of Deeply Buried Symmetrically Distributed Triple Tunnels. Symmetry 2023, 15, 673. [Google Scholar] [CrossRef]
- Zhang, Y.; Tao, L.J.; Zhao, X. An analytical model for face stability of shield tunnel in dry cohesionless soils with different buried depth. Comput. Geotech. 2022, 142, 104565. [Google Scholar]
- Hu, Z.M. Study on Determination of Cover Depth of Shallow–covered Tunnel in Soil-rock Strata. Tunn. Const. 2015, 35, 322–327. [Google Scholar]
- Qin, K.; Yuan, W.Z.; Xu, G.C. Study on Stability Evolution Law of Surrounding Rock in Different Span Underground Tunnels. Fly Ash Compr. Util. 2021, 35, 48–51+111. [Google Scholar]
Disclaimer/Publisher’s Note: The statements, opinions and data contained in all publications are solely those of the individual author(s) and contributor(s) and not of MDPI and/or the editor(s). MDPI and/or the editor(s) disclaim responsibility for any injury to people or property resulting from any ideas, methods, instructions or products referred to in the content. |
© 2023 by the authors. Licensee MDPI, Basel, Switzerland. This article is an open access article distributed under the terms and conditions of the Creative Commons Attribution (CC BY) license (https://creativecommons.org/licenses/by/4.0/).















