Abstract
Alternative materials need to be mapped, characterized, and valued in order to reduce clay usage. A study was conducted on the utilization of waste dolomite material from a mirror manufacturing factory in the production of bricks where the factory disposes 2500 tons of dolomite waste annually. Dolomite residue was mixed with clay raw material in various mass ratios of 90/10, 87.5/12.5, 85/15, and 82.5/17.5 wt%, extruded with proper moisture content, dried at 110 °C, and fired at 1000 °C and 1100 °C. The addition of dolomite resulted in an efflorescence on the surface of the bricks while also providing thermal insulation advantages and higher fire resistance. The addition of dolomite allowed for an increase in firing temperature to 1100 °C, which was initially not possible due to the melting characteristics of the clay. Dolomite also decreased the density of the bricks, which is crucial in order to decrease the dead load in structures. The produced bricks are intended for internal wall applications because of the efflorescence on the surface of the bricks. Overall, the addition of dolomite improved thermal conductivity and density, and other characteristics also showed suitable results.
1. Introduction
In the construction sector, clay bricks are one of the most typical materials and have been widely used for a long time. Global brick production is increasing every year, with China and India as the leading countries manufacturing almost 80% of the world’s brick production. This enormous amount of brick production brings rise to the discussion of natural clay resource shortage, where in India alone, 700–750 million tons of clay is consumed annually for brick manufacturing. Yet, clay is not only used in the construction industry, but also in other industries such as pharmaceutical membranes, filters, thermal insulators, and bioceramics [1] Therefore, to reduce clay usage and overcome clay depletion, alternative materials are studied to replace clay, and in some countries, such as China, the implementation of restrictions on clay consumption for brick manufacturing has already started [2]. Other than fertile soil depletion, landfill scarcity for residues from industries is also another environmental problem for a green world [3]. Thus, the utilization of brick waste has gained popularity due to the increase in demand in brick manufacturing and the depletion of clay resources as well as the aim to reduce waste disposal into environment. Many waste materials have been studied and some of them are brick waste [4], waste sawdust, cigarette butts [5], waste pomace [6], marble powder [7], biomass incineration [8], raw sand residue [9], bio-briquette ash [10], sugarcane ash [11], and sludge and mirror factory residue [3].
One of those residues from the industries is dolomite. Dolomite is sedimentary carbonate rock, which is composed of calcium magnesium carbonate (CaMg(CO3)2) [12]. It has a wide range of applications such as ceramics as a source of magnesia in glazes, steelmaking as fluxing and refractory material, construction as an additive in cement, and agriculture as a fertilizer and food supplement. In the construction industry, it is crushed and used as road base material, aggregate in concrete and asphalt, railroad ballast, and as an additive in cement.
This study aimed to evaluate the use of dolomite residue (DOL) in the manufacturing of clay bricks. DOL is a waste from the glass and mirror factory in Turkmenistan where it is used to improve the viscosity of the glass melt and increase the scratch and chemical resistance of the glass (Figure 1). Crushed dolomite is passed through the sieves of different sizes and the factory uses dolomite within the range of 1 mm to 2.2 mm. The leftover dolomite powder of sizes 0.7–1 mm is considered as a waste, and the mirror and glass factory dispose 2500 tons of DOL annually. The use of DOL as a clay replacement in this study will decrease the clay consumption for brick production as well as contribute to the waste management of the mirror and glass factory by recycling the residue. Waste dolomite powder was used as a substitute material in cement [13,14], concrete [15,16], ceramic [17], and sand brick [12]. Kizinievic et al. [18,19] studied the recycling of dolomite powder in clay brick manufacturing, its effects, and its gas release compared to normal clay brick samples. They found that dolomite addition mainly improved thermal conductivity, with a 50% decrease, while other characteristics showed adequate results. DOL addition increased porosity, water absorption, and decreased the bulk density values of bricks. Additionally, their study focused on gas release from brick manufacturing and compared it with normal clay production; CO2 emission slightly decreased in 300–500 °C firing temperatures, and increased at 700–900 °C. Overall, their results showed a very small difference in gas emissions compared to the clay brick control sample.
Figure 1.
Dolomite collected from the mirror factory.
2. Materials and Methods
2.1. Materials and Characterization
Clay, which is the main raw material of the brick, was extracted from Dostluk deposits (latitude 37°48′–38°49′ N and longitude 65°24′–65°20′ E) of the Amu-Darya basin, located 21 km southeast of the town of Kerkichi, Turkmenistan [4]. Another raw material is dolomite residue, which was industrial waste from the Turkmen glass and mirror factory. The factory uses crushed dolomite with sizes between 1 mm and 2.2 mm for glass and mirror production, and remaining dolomite powder that is smaller than 1 mm is considered as a waste to be disposed. This waste from the factory was used as a substitute material for the clay in this study.
Utilizing energy dispersive X-ray analysis (XRD) on a Bruker-AXS D8 Advance device and X-ray fluorescence (XRF) with a Bruker S4 Pioneer, the raw materials’ mineralogical and chemical composition (oxides) analyses were performed, respectively. For XRF analysis, clay and dolomite residue samples were made as pressed powder pellets and molded in an Al ring with 300 kgf cm−2 using a hydraulic press machine with 5 g of material and 1 g of wax. The crushed and pressed disks were sieved at 50 m and inspected with a powder diffractometer employing Cu Ka radiation (λKa 14 0.154186 nm) operating between 2° and 70° (2θ) to identify the crystalline phases present in the raw materials for XRD investigation. The DiffracPlus EVA software 3.1 was used to determine the mineral phases and their abundances. A laser particle size analyzer was used to measure the particle size distribution of the raw materials (Mastersizer 3000E, Malvern Panalytical, Malvern, UK). The specific surface area (m2/kg) was measured using the ISO standard [20]. The thermal behaviors of the clay and DOL were examined using thermogravimetric (TGA) and differential scanning calorimetry (DSC) analyses (DSC 1, Mettler Toledo Int. Inc, Greifensee, Switzerland). SEM (JSM-5800, JEOL, Tokyo, Japan) microstructural characterization of the raw materials was carried out at a working distance of 10 mm and a voltage of 20 kV.
2.2. Preparation of Fired Brick Samples
Following collection, the clay and dolomite residue (DOL) were allowed to dry for 72 h in air before spending another 24 h at 110 °C in an oven. For both dry and wet mixing methods, the materials were combined in a mechanical mixer, and clay was mixed with 10%, 12.5%, 15%, and 17.5% DOL by mass of the clay as a partial substitution material. The material composition is shown in Table 1 based on the mass percent of DOL and the water percent that was added at room temperature. The amount of water that should be added to the combination was found by adjusting the penetration values between 1.8 and 2.5 kg/cm2. Additionally, the Pfefferkorn method was employed to analyze plasticity and determine the ideal moisture content for workability [3]. Mixing codes are utilized to distinguish the samples. Plastic mixtures were left overnight to allow for aging and even moisture distribution before being formed into brick samples in a vacuum (760 mm Hg) extruder (Verdes, Barcelona, Spain), producing bricks that were about 118 × 28 × 18 mm3. The samples were dried for 24 h in a drying unit (TypeM40, Ceramic Instruments, Sassuolo, Italy) at progressively higher temperatures (30 °C to 110 °C). For a 26 h firing cycle, the firing temperatures for dried bricks were set at 1000 °C and 1100 °C. The entire preparation process for the brick sample is shown in Figure 2.
Table 1.
Specimen mixtures from the clay and DOL.
Figure 2.
Flowchart of unfired and fired brick manufacturing.
2.3. Testing Methods
Brick samples that had been burnt were examined for their physical, mechanical, and durability characteristics. ASTM C20 standard [21] was followed for testing the apparent porosity, apparent density, and water absorption. Three samples were tested for each test, and for sample sizes, bricks were cut from their original shape in order to conform with the standard (410 to 490 cm3). In our earlier work, formulas for calculating those qualities were provided [3]. Using a mechanical test device (Ibertest, Madrid, Spain) with a capacity of 100 kN, the ASTM C67 [22] standard was used to determine the bending strength of brick sample materials. Twelve samples with their original brick size were tested for the bending strength test. Fired brick samples were subjected to SEM and XRD analyses to examine their microscopic structure and elemental content. The loss on ignition (LOI) test was conducted following our earlier study [4]. According to Kazanskaya et al. [23], the standard [24] for “Construction materials and products” was utilized to measure the thermal conductivity of concrete using 2021 MIT-1 equipment.
3. Results and Discussion
3.1. Properties of Raw Materials
Figure 3 shows the clay and DOL particle size distribution curves. Clay fraction (<2 µm) constitutes 57.6% of the total volume of the raw clay, while silt fraction (>2 µm and <50 µm) is 30.03%. Sand ratios within the clay raw material for different subdivisions, namely very fine, fine, medium, coarse, and very coarse sand, are also given with the total sand of 12.37% (Figure 3a). On the other hand, the majority volume of DOL, 82.5%, consists of silt, whereas clay fraction has 17.5%. A good measure of plasticity and workability is the percentage of clay particles, which is 57.6% for clay and 17.5% for DOL, respectively [25].
Figure 3.
Particle size distribution of (a) clay and (b) DOL via cumulative volume (green) and volume density (red).
Images of raw materials taken using a scanning electron microscope (SEM) and magnified by 100× are shown in Figure 4. The particle morphology of clay and DOL shows that both raw materials have particles with sizes lower than 100 µm (Figure 4c,d). The micron-sized clay particles are in the form of agglomerates with erratic shapes and angularities, and the dolomite particles have similar shapes as the clay.
Figure 4.
Microscope and SEM images of clay (a,c) and DOL (b,d) with magnification of 100×.
Table 2 displays the chemical composition of the clay and DOL using XRF. In general, clay used to make bricks should have a SiO2 content of 50% to 60% and an alumina content of 10% to 20% [6]. With 57.61% and 17.54%, respectively, both of the oxides in this study—SiO2 and alumina—fall inside the intended range. Clay contains traces of other oxides such Na2O (1.9%), CaO (0.59%), and TiO2 (0.77%), as well as a small number of other oxides like iron oxide (Fe2O3, 6.51%), potassium oxide (K2O, 4.37%), and manganese oxide (MgO, 2.46%). It is clear that MgO (17.03%), LOI (45.81%), and CaO (35.01%) make up the majority of the DOL, accounting for more than 97% of its composition. DOL contains traces of Na2O (0.03%), Fe2O3 (0.12%), TiO2 (0.014%), K2O (0.084%), and Al2O3 (0.25%), as well as small amounts of SiO2 (1.59%). Both of the raw materials have different oxides in terms of rich content: clay consists of mainly silica and alumina, whereas dolomite residue is rich in CaO and MgO. Also, clay is richer than DOL in Na2O, K2O, TiO2, and Fe2O3. The moisture content of clay and DOL are 4.1% and 1.03%, respectively.
Table 2.
Chemical composition (oxides%) of clay and DOL.
Figure 5 shows the XRD results of the clay and DOL. The main mineralogical phases of clay are quartz (31.2%) and montmorillonite (24.1%), while albite (16.6%), sanidine (11.8%), illite (12.1%), and clinochlore (4.3%) are other phases in the clay. Dolomite (95.8%) and calcite (4.2%) are the only two mineralogical phases of DOL raw material. Clay mineralogical phases are congruent with previous works [3,26,27,28] and sharp peaks of quartz and dolomite dominate clay and DOL patterns, respectively.

Figure 5.
XRD patterns of clay (a) and DOL (b).
Using a raw material sample that has undergone a heat treatment and a cooling phase, the dilatometry test allows for the measurement of dimensional differences [29]. Additionally, the firing temperature is specified via this test [30]. The test’s maximum working temperature of 1200 °C demonstrated that shrinkage effects are being produced in the material at this temperature because of high-temperature reactions (creation of a glassy phase and/or recrystallizations). As seen in Figure 6, stable and gentle expansions were seen in all mixture types up until the quartz polymorphic inversion α → β at 573 °C [4]. Between 20 and 90 °C, they showed a modest contraction of 0.22%, followed by the elimination of water absorbed (0.88%) below 256 °C. The structural change and likely breakdown of carbonates causes a maximum expansion of 1.7% at 850 °C. As a result of firing, more heating has caused progressive contraction. This marks the start of the melting phase.
Figure 6.
Dilatometric analysis (DA). Change in length vs. temperature.
3.2. The Physical and Mechanical Characteristics of Dried and Burnt Brick Sample
3.2.1. Physical Properties
The materials’ microstructural analysis, which focuses on the impact of the dolomite addition, indicates significant chemical alterations in the matrix. During the fire process, dolomite, a complex mineral consisting of calcium and magnesium carbonates, adds new components to the material matrix. In addition, the addition of dolomite may cause the creation of new phases or the alteration of pre-existing ones, which would affect the microstructure of the material. Investigating the precise chemical reactions that take place when dolomite is added during the fire process is crucial. For example, secondary phases that contribute to the observed microstructural alterations may arise from the interaction of dolomite with silica and alumina in the clay matrix.
Apparent porosity is one of the significant aspects of clay bricks as the rate of moisture movement is faster in bricks compared to other materials. Moisture is released during the daytime and absorbed back at night, and in this way, it helps to control the temperature and humidity inside the structure [31]. However, porosity also affects structure adversely by making it vulnerable to weathering and chemical attacks [32]. Thus, porosity plays a crucial role in the performance of clay bricks.
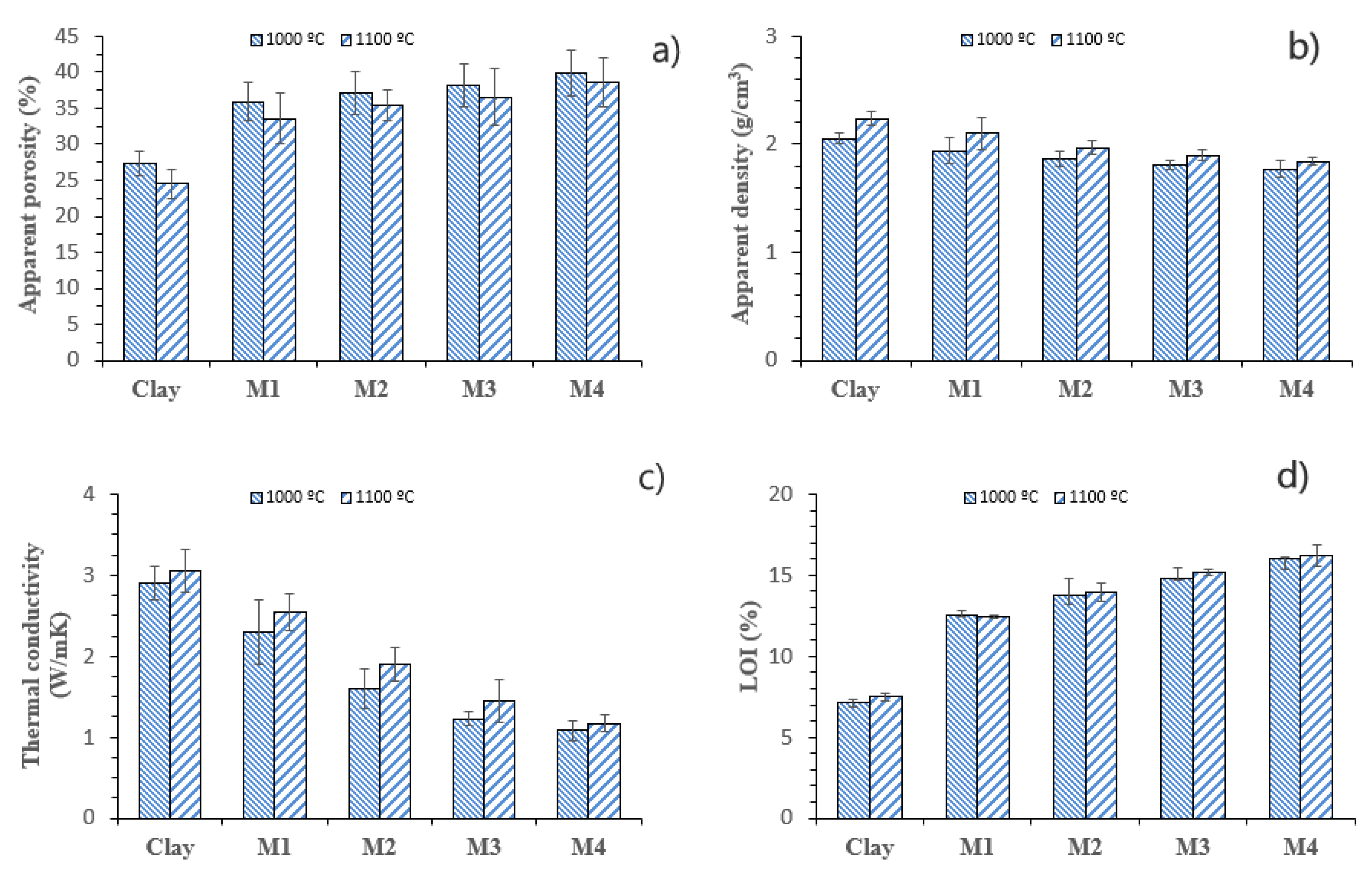
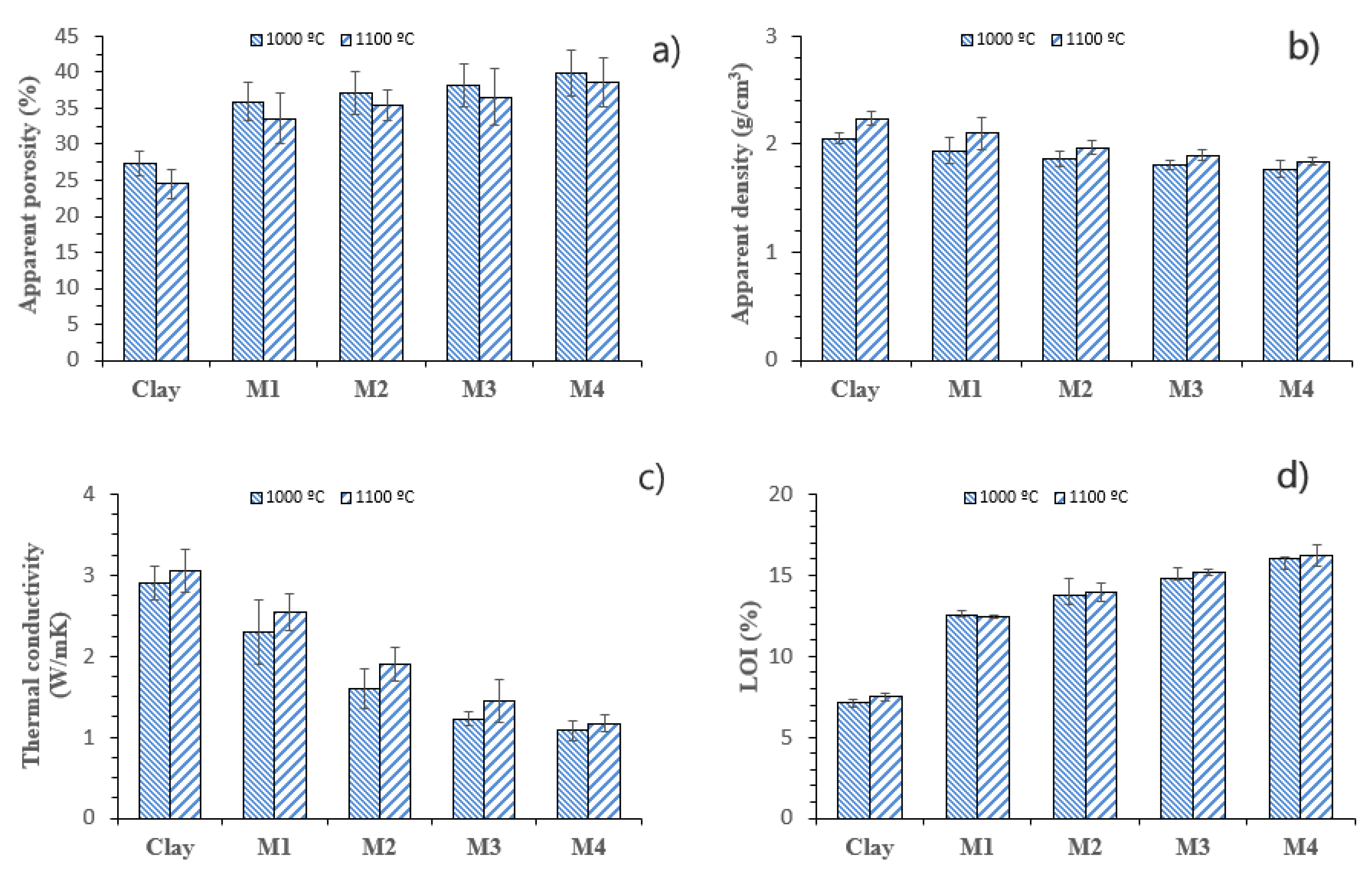
Figure 7a depicts the results of porosity tests for the control sample (clay brick) and other specimens incorporating DOL. Porosity values vary between 24.5% and 39.8%, with the highest and lowest values seen in M4 and the control sample, respectively. The increase in DOL ratios in bricks shows an upward trend in porosity results, but the increase is only around 3% of each DOL increment. Approximately an 11% increase in porosity is observed when the amount of DOL is increased from 10% to 17.5% by clay weight. The sharp increase in porosity from the control sample (clay) to M1 is around 31.5% and this can be attributed to a higher LOI value of DOL than that of clay. The combustion of carbonates may lead to the creation of small pores [33]. DOL has 35.01% of calcium oxide as a raw material, where this amount is only 0.59% in clay. The decomposition of CaCO3 to CaO resulted in high porosity in DOL samples, and porosity increased proportionally with the amount of DOL in brick samples. Another factor affecting the porosity is the firing temperature of the bricks. There is a decreasing trend in all mixtures, including the control sample clay when the firing temperature is increased from 1000 °C to 1100 °C, and this can be associated with the densification of bricks under the increasing temperature. The densification is aided by higher temperatures because they cause structural changes, improve bonding between particles, decrease porosity, and facilitate particle movement. Depending on the characteristics of the material and the specifics of the firing or sintering process, several mechanisms may be at work. The impact of porosity on other characteristics, namely density and water absorption, of bricks is also observed (Figure 7b and Figure 8a). An increase was recorded in water absorption while a downtrend was seen in the density with the increment of porosity in the samples. The effect of the firing temperature and the impact of porosity on other characteristics of the bricks are consistent with other research [3,26,34].
Figure 7.
Results of apparent porosity (a), apparent density (b), thermal conductivity (c), and LOI (d) for clay and other mixtures (M1, M2, M3, M4).
Figure 8.
Results of linear shrinkage (a) and water absorption (b) for clay and other mixtures (M1, M2, M3, M4).
Apparent density is the mass-to-volume ratio of the specimen, which takes into account all of its solid and hollow areas as well as all its surfaces. The kind of particles, the materials’ composition, and the storage technique all affect the density [9]. The apparent density of the manufactured bricks is presented in Figure 8b, where the values range between 1.77 and 2.24 g/cm3 depending on the amount of dolomite residue and firing temperature. The highest and lowest values were recorded for the control sample and M4, respectively. The change in DOL replacement from the control sample (0%) to 17.5% decreased the apparent density about 13.6%. On the other hand, densities of the bricks fired at 1100 °C are slightly higher than the bricks fired at 1000 °C. This can be attributed to the increase in consolidation and/or vitrification among particles in an increment of temperature. However, this consolidation with temperature increase is more for the clay material rather than the DOL. A change in the density of the control clay sample is 9.27% (from 2.05 to 2.24 g/cm3), whereas this change is only 3.95% (from 1.77 to 1.84 g/cm3) in the M4 sample.
Considering the above Figure 7a,b and Figure 8a, apparent density has a reverse relationship with both apparent porosity and water absorption. A higher apparent density means lower porosity and water absorption values. Lastly, densities of the fired clay bricks are classified as lightweight (<1680 kg/m3), medium (1680–2000 kg/m3), and normal weight (>2000 kg/m3) according to ASTM C90 [35]. In this regard, all samples with DOL additive classified within the medium weight brick and control sample clay will be in the normal weight brick group. Adding DOL as an additive to decrease the density and produce lighter clay bricks in buildings would be useful, considering the beneficial reduction in the dead load of the structures.
Thermal conductivity is a significant characteristic of brick properties as it plays a crucial role in the determination of the insulation capacity in brick construction. The test results of the manufactured bricks are illustrated in Figure 7c. Thermal conductivity values varied between 1.08 and 3.05 W/m K. The control sample clay brick demonstrated the highest value while thermal conductivity decreased with an increase in DOL in bricks. The decreasing trend can be associated with an increase in porosity and a decrease in the apparent density values with an increment of DOL amount in bricks (Figure 7a–c). The correlation of thermal conductivity with both apparent porosity and apparent density is consistent with previous research as well [27,31,36,37]. Also, there is an effect of firing temperature on the thermal conductivity feature of the bricks. As Figure 7c exhibits, samples fired at 1100 °C have higher values compared to bricks sintered at 1000 °C. Even though an increase in insulation with the addition of DOL indicates significant energy saving, thermal conductivity values are higher. The M4 sample has the best value and it is within the acceptable range.
The loss on Ignition (LOI) values, which is a representation of the weight loss of samples after firing, are given for 1000 °C and 1100 °C in Figure 7d. The value is around 7% for the control sample clay brick, while it increases to 12% sharply when the DOL is added. This decomposition likely results in the release of carbon dioxide and the transformation of calcium and magnesium compounds, ultimately contributing to alterations in the material’s chemical composition. There is a correlation between the amount of DOL and LOI as LOI changed from 12% to 16% when the amount of DOL in brick is incremented from 10% to 17.5%. The reason for this significant difference between the control sample and DOL additive bricks is the upward trend of LOI value with the increment of DOL, which can be attributed to a lower LOI of clay raw material (7.59%) and a higher LOI of DOL raw material (45.81%) (Table 2). The effect of firing temperature can be negligible as it fluctuates around 2% when the temperature is increased to 1100 °C, and it is consistent with other research works in the literature [38]. Only sample M4, with a 16% LOI, was not within the recommended industrial limit value of 15% for LOI [38,39,40].
Water absorption is a significant characteristic of building materials as it is an indicator of resistance to ambient conditions [41]. The durability of the brick and resistance to the environment are inversely proportional with the rate of water infiltration into the brick. In other words, less water infiltration into the brick equates to higher durability and resistance to the environment. Figure 8a depicts the WA values and it is clearly seen that there are two factors affecting the WA, namely firing temperature and the amount of waste added to the mixtures. The values varied between 9.21 and 14.33%, and 1.07 and 5.80%, for 1000 °C and 1100 °C firing temperatures, respectively. The lowest WA value of 12.22% was recorded in the M1 sample among various clay/DOL mixtures, and it can be attributed to the lowest porosity and the highest apparent density performed by this sample. This correlation between WA, porosity, and density are consistent with previous research studies [26,42]. An increment of DOL amount on clay brick displayed a fluctuation in WA values. Brick samples incorporating 10%, 12.5%, and 17.5% waste exhibited a similar WA value of around 12%, while the M3 specimen showed the highest WA at 14.33%. When the graph is analyzed with the overall trend, it can be seen that the WA value is in an increasing trend from the clay sample to M4. On the other hand, there was a sharp decrease in WA when the sintering temperature rose from 1000 °C to 1100 °C. The decline was about 60% for the control sample and between 55 and 92% in other samples containing the waste, while this decrease was mentioned in other studies in a range of 10–20% [27,37,38]. Also, WA values of bricks fired at 1100 °C are in a rising trend, which is proportional with 1000 °C samples. The sharp decrease in WA at 1100 °C was encountered in the authors’ previous work, where WA was almost the same at 850 °C and 950 °C, and decreased by about 50–60% when the temperature incremented to 1050 °C [9].
ASTM C62 [43] classifies bricks for use as severe and moderate weather-resistant bricks at values of 17% and 22%, while some other researchers stated that 20–30% WA values is the acceptable range [44,45]. In this study, all brick samples independent from incorporating the waste amount showed WA values less than 17%; and therefore, adding DOL as a waste can be helpful in manufacturing more durable, economical, and sustainable green bricks.
The linear shrinkage (LS) is an indication of volume change, in other words, a measurement of expansion/contraction behavior of the bricks during firing process. The main reason for the occurrence of LS is the evaporation of chemically bound water [46] as well as the beginning of quartz conversion at 800 °C [47]. Figure 8b illustrates that LS values varied between 5.7% and 7.2% with the lowest and highest percentages seen in M1 and M3 clay–DOL mixtures, respectively. The addition of DOL performed a fluctuating performance. An increment of DOL amount from 10% to 15% performed an increasing trend, while a decrease in LS was recorded in M1 and M4 bricks. The reason for the rise in LS values with the incorporation of DOL is the reduction in clay amount in bricks as clay is a silica-rich raw material with 57%, while DOL has only 1.6% (Table 2). The replacement of DOL decreased the amount of clay and it led to a rise in the LS values of specimens. The effect of firing temperature in LS can be neglected as the change was only about 2% with the increment of temperature from 1000 °C to 1100 °C. [38,48] stated that a good-quality brick exhibits shrinkage below 8%, and the values obtained in this study were below 8% for all clay–DOL mixtures. Therefore, the addition of DOL in clay bricks is advantageous and ecofriendly despite the fact that DOL increases the shrinkage.
3.2.2. Microstructure and Phase Analysis
SEM images of the fractured surfaces of the M2 brick sample fired at 1000 °C and 1100 °C temperatures are presented in Figure 9. Figure 9a,c show a ×300 magnification view of the sample fired at 1000 °C and 1100 °C, while Figure 9b,d depict a ×600 magnification for the same temperatures, respectively. As seen from the figures, the increment of temperature presented a more porous structure and this can be attributed to the decomposition of mineral components during the firing temperature increase. The shapes of the pores are irregular and non-interconnected with sizes smaller than 20 µm. Unfortunately, the SEM images are not consistent with porosity and water absorption results. In tests, porosity decreases while the increment of temperature increases. More pores mean an increase in water absorption; however, the WA value decreased sharply with an increase in firing temperature from 1000 °C to 1100 °C.
Figure 9.
SEM images of fresh-cut surfaces of M2 brick specimen fired at 1000 °C (a,b) and 1100 °C (c,d): (a) magnification ×300; (b) magnification ×600; (c) magnification ×300; (d) magnification ×600.
The XRD analysis of M2 bricks after subjection to 1000 °C and 1100 °C firing temperatures is presented in Figure 10. Upon comparing these results with XRD phases of raw clay and dolomite, it can be seen that the peaks of albite, dolomite, calcite, and clinochlore disappeared, which means that these crystalline phases decomposed, except for quartz. The main phases are quartz, labradorite, zirconolite, lazurite-A, and microcline. Those phases showed stable behavior on elevated temperatures. Small changes were seen when the temperature rose to 1100 °C: quartz and microcline increased the peaks from 15.5 to 17 and 15.7 to 17.6, respectively. Other phase peaks decreased; lazurite-A in particular showed a significant decrease from 23.7 to 11.7 with the temperature increase. These variations suggest dynamic phase changes in response to higher temperatures. This insight provides a valuable foundation for understanding how the thermal treatment influences the crystalline structure and, consequently, the overall characteristics of the bricks. Exploring the relationship between these phase changes and bending properties will contribute to a more thorough assessment of the bricks’ performance under varying firing temperatures.

Figure 10.
XRD patterns of M2 (DOL 12.5%) fired at 1000 °C (a) and 1100 °C (b).
3.2.3. Bending Strength
The bending strength values for brick specimens incorporating DOL are shown in Figure 11. The values varied between 6.96 mPa and 26.97 mPa. The highest bending strength was obtained in the control sample clay brick fired at 1100 °C. There was no significant change in bending strength value when the 10% of DOL was added, but with the increment of DOL amount, the bending strength declined. The main reason of this downturn can be due to the fact that the amounts of SiO2 as clay and DOL were 57.61% and 1.59%, respectively. Unlike the DOL effect, the firing temperature had a positive change on the bending strengths of the samples. In the control sample, an increase of 65% was observed, while in other samples containing DOL the change was between 12% and 33% with the elevation of temperature from 1000 °C to 1100 °C. An abnormality was recorded in the M4 mixture as result of the sample moving against the trend in both DOL and temperature effects. The downturn trend with DOL addition was interrupted when bending strength increased by more than 120% from M3 to M4. Similarly, while temperature increase positively affected the bending values of the samples in all mixtures, it had an adverse effect in the M4 specimen, with a 17% decrease in strength. The firing temperature of 1100 °C seems to have a positive impact on the bending strength of the control sample clay brick. This result may be attributed to the specific phase changes identified in the XRD analysis, such as the increase in quartz and microcline peaks, which could contribute to the reinforcement of the brick’s structure. Another factor affecting bending strength is porosity as voids play a significant role in fired clay brick bending strength [49]. The lesser the number of voids, the higher the bending strength in bricks. An increment of DOL in samples increased the porosity and decreased the bending strength from M1 to M4. This relationship of porosity and bending strength is consistent with previous studies [31,50]. Despite the fact that using DOL as a substitute material decreases the bending strength, the values are in a good range and DOL can be used for economical and sustainable construction.
Figure 11.
Bending strength of brick samples.
3.2.4. Efflorescence Results
Nowadays, aesthetics is also considered a significant aspect of structures in addition to building safety and stability. White-colored thin dots deposit on the surface of the brick samples, which adversely affects the aesthetic of the building. Figure 12 shows the results of the efflorescence test results for specimens incorporating DOL waste up to 17.5% for firing temperatures 1000 °C and 1100 °C as well as for unfired brick mixtures. The efflorescence tendency of bricks is classified as slight, medium, heavy, and serious, according to ASTM C67 [22]. It is considered as slight if white soluble salts cover about 10% of the brick surface and medium if the amount is up to 50%. More than 50% is considered as heavy efflorescence, while serious is when the salt deposits on the surface convert into powdered mass [51]. Samples fired at 1000 °C and 1100 °C can be classified as slight and medium for all mixtures, respectively, as the approximate number of white dots on the brick surface is between 10 and 50%. The M4 specimen fired at 1100 °C can be classified as possessing a heavy efflorescence tendency considering the larger amount of DOL added into the mixture (Figure 12d). In Figure 12a–d, it is clearly seen that the increment of DOL amount from 10% to 17.5% led to a rise in efflorescence in the bricks. This can be attributed to the amount of CaO content of the DOL raw material as the oxide plays a very significant role in efflorescence occurrence. DOL is a CaO-rich material at 35%, whereas the amount in clay is only 0.59%. Therefore, replacing the clay partially with DOL increases CaO amount, leading to poorer performance in terms of efflorescence behavior. Fe2O3 is another factor affecting efflorescence. DOL has a less amount of Fe2O3 (Dr 0.12%, clay 6.51%), and so, with the addition of DOL, the amount of Fe2O3 is reduced, but not enough to prevent efflorescence completely. Using DOL as a substitute material for clay brick causes efflorescence to appear on the surface of bricks with any amount of waste incorporated. However, bricks can be used for internal applications to avoid aesthetic deficiency.
Figure 12.
Views of test after efflorescence. Unfired, fired at 1000 °C and 1100 °C from top to down with order: (a) M1, (b) M2, (c) M3, (d) M4.
4. Conclusions
In this study, the characteristics of clay bricks incorporating dolomite residue were investigated. The utilization of DOL as a substitute material in clay brick production can be a good solution for the disposal problems of the industry, and also, in conserving natural clay. The main significance of the study was the improvement in thermal conductivity. Thermal conductivity decreased by around 50% with the addition of DOL into clay brick. Apparent density is also decreased while other physical and mechanical characteristics showed suitable and adequate results. Porosity, LOI, LS, and WA values increased, whereas density, thermal conductivity, and bending strength deceased with the addition of DOL. Clay and DOL were mixed at ratios of 90/10, 87.5/12.5, 85/15, and 82.5/17.5 with proper moisture content, and their characteristics after firing were analyzed in detail. The following summary and conclusion may be drawn:
- A total of 2500 tons of dolomite residue is disposed annually from the mirror factory. Considering DOL as a secondary material in clay production can be considered as sustainable manufacturing. Its advantage is not only the reduction in clay consumption, but also in assisting the disposal of DOL.
- Firing temperature always plays a vital role in clay brick, and higher sintering means better brick properties. However, an increase in the firing temperature to 1100 °C with the clay of this specific basin was not possible as it melts down after 1050 °C. The addition of dolomite residue solved this problem, and bricks were produced in firing temperatures up to 1100 °C. Setting the sintering temperature to 1100 °C improved porosity, bending strength, and water absorption characteristics of the bricks. On the other hand, DOL addition mainly positively affected thermal conductivity, and thermal conductivity performed well at 1000 °C firing temperature rather than 1100 °C. Therefore, 1000 °C sintering temperature could be selected for general application by considering energy efficiency and gas releases.
- The decline in bending strength following dolomite addition to the clay may be attributed to factors such as phase decomposition, the introduction of porosity during dolomite thermal breakdown, and the potential incompatibility of phases. These effects collectively contribute to weakened bonds and altered microstructures, compromising the material’s overall bending integrity.
- DOL can be potentially used in the production of lighter bricks. It is recorded that substituting 17.5% of clay with DOL led to a decrease of approximately 15% in density compared to clay brick. This reduction in the weight of bricks incorporating DOL can decrease the overall dead load of the structures and, as a result, economical structures can be built.
- Although the use of DOL decreased some of the brick properties, they are still within the specified or desired range for a good brick quality. Apparent porosity increases linearly with DOL amount, but the M1 sample with a 90/10 clay/DOL ratio was a perfectly acceptable range for it. ASTM C62 recommends WA values less than 17% and 22% for different conditions, and the WA values obtained in this study were less than 17% for all mixtures of any DOL value. Similarly, the generally accepted range for linear shrinkage is below 8% and the addition of DOL in clay bricks did not exceed the limit.
- A negative effect of dolomite residue was seen in the physical properties of bricks. Efflorescence was observed in the fired bricks, and the percentage of white dots increased with the increment of DOL ratio in the bricks. This can be attributed to the high amount of CaO in the DOL as a raw material. However, bricks can be used in internal applications other than façades in order to avoid this aesthetic deficiency.
Based on these limited results and observations, it can be summarized and concluded that the incorporation of dolomite residue up to 10%–15% in fired clay bricks can be successfully used in brick production, which is a sustainable and economical contribution to the construction industry.
Author Contributions
Conceptualization, N.K. and S.K.; Formal analysis, S.K.; Funding acquisition, R.M.; Investigation, S.D.; Methodology, N.K. and S.K.; Project administration, S.K. and S.D.; Resources, R.M. and L.G.; Software, R.M.; Validation, N.K., S.K. and L.G.; Visualization, N.K., S.K. and L.G.; Writing—original draft, N.K. and S.K.; Writing—review and editing, N.K. All authors have read and agreed to the published version of the manuscript.
Funding
The research received no external funding.
Data Availability Statement
The data presented in this study are available in the article.
Acknowledgments
This study was supported by the Economic Society “Dowletli-Dowran”.
Conflicts of Interest
The authors declare no conflict of interest.
References
- Valášková, M. Clays, clay minerals and cordierite ceramics—A review. Orig. Pap. Ceram. 2015, 59, 331–340. [Google Scholar]
- Zhang, J.; Srinivasan, R.S.; Peng, C. Ecological Assessment of Clay Brick Manufacturing in China Using Emergy Analysis. Buildings 2020, 10, 190. [Google Scholar] [CrossRef]
- Korpayev, S.; Bayramov, M.; Kandymov, N.; Durdyev, S. Recycling of agricultural irrigation canal sludge and mirror factory residue in green brick production. Constr. Build. Mater. 2022, 346, 128474. [Google Scholar] [CrossRef]
- Korpayev, S.; Bayramov, M.; Durdyev, S.; Hamrayev, H. Characterization of three amu-darya basin clays in ceramic brick industry and their applications with brick waste. Materials 2021, 14, 7471. [Google Scholar] [CrossRef]
- Kurmus, H.; Mohajerani, A. Recycling of cigarette butts in fired clay bricks: A new laboratory investigation. Materials 2020, 13, 790. [Google Scholar] [CrossRef] [PubMed]
- Muñoz Velasco, P.; Morales Ortíz, M.P.; Mendívil Giró, M.A.; Muñoz Velasco, L. Fired clay bricks manufactured by adding wastes as sustainable construction material—A review. Constr. Build. Mater. 2014, 63, 97–107. [Google Scholar] [CrossRef]
- Bilgin, N.; Yeprem, H.A.; Arslan, S.; Bilgin, A.; Günay, E.; Maroglu, M. Use of waste marble powder in brick industry. Constr. Build. Mater. 2012, 29, 449–457. [Google Scholar] [CrossRef]
- Pérez-Villarejo, L.; Eliche-Quesada, D.; Iglesias-Godino, F.J.; Martínez-García, C.; Corpas-Iglesias, F.A. Recycling of ash from biomass incinerator in clay matrix to produce ceramic bricks. J. Environ. Manag. 2012, 95, S349–S354. [Google Scholar] [CrossRef]
- Kandymov, N.; Korpayev, S.; Bayramov, M.; Durdyev, S. Sustainable Use of Raw Sand Residue in Production of Fired Clay Bricks. Arab. J. Sci. Eng. 2023, 2023, 1–15. [Google Scholar] [CrossRef]
- Sakhare, V.V.; Ralegaonkar, R.V. Use of bio-briquette ash for the development of bricks. J. Clean. Prod. 2016, 112, 684–689. [Google Scholar] [CrossRef]
- Kazmi, S.M.S.; Munir, M.J.; Wu, Y.F.; Hanif, A.; Patnaikuni, I. Thermal performance evaluation of eco-friendly bricks incorporating waste glass sludge. J. Clean. Prod. 2018, 172, 1867–1880. [Google Scholar] [CrossRef]
- Isa, N.F.; Muhamad, K.; Yahya, N.; Ahmad, M.M.; Ab Manaf, M.B.H.; Abdul Rahim, M.; Khair Ishak, M.; Hashim, N.H.; Mansor, A.F.; Ahmad Naspu, S.N. Dolomite quarry waste as sand replacement in sand brick. Mater. Sci. Forum 2016, 857, 319–322. [Google Scholar] [CrossRef]
- Lin, W.; Zhou, F.; Luo, W.; You, L. Recycling the waste dolomite powder with excellent consolidation properties: Sample synthesis, mechanical evaluation, and consolidation mechanism analysis. Constr. Build. Mater. 2021, 290, 123198. [Google Scholar] [CrossRef]
- Chen, X.; Chen, H.; Chen, Q.; Lawi, A.S.; Chen, J. Effect of partial substitution of cement with Dolomite powder on Glass-Fiber-Reinforced mortar. Constr. Build. Mater. 2022, 344, 128201. [Google Scholar] [CrossRef]
- Agrawal, Y.; Gupta, T.; Siddique, S.; Sharma, R.K. Potential of dolomite industrial waste as construction material: A review. Innov. Infrastruct. Solut. 2021, 6, 205. [Google Scholar] [CrossRef]
- Agrawal, Y.; Gupta, T.; Sharma, R.K. Strength and durability assessment of concrete containing dolomite quarry waste as fine aggregate. J. Mater. Cycles Waste Manag. 2022, 24, 268–286. [Google Scholar] [CrossRef]
- Monteiro, R.C.C.; Mota, C.S.; Lima, M.M.R.A. Effect of Dolomite Addition on the Densification of Fly Ash Based Ceramics. Mater. Sci. Forum 2006, 514–516, 1711–1715. [Google Scholar] [CrossRef]
- Kizinievic, O.; Kizinievic, V.; Skamat, J. Characteristics of Fired Clay Brick with Added Dolomite Powder. Glas. Ceram. 2023, 80, 22–24. [Google Scholar] [CrossRef]
- Kizinievič, O.; Gencel, O.; Kizinievič, V.; Sutcu, M.; Skamat, J. Recycling of dolomite powder in clay bricks: Effects on characteristics and gas release. Constr. Build. Mater. 2023, 404, 133217. [Google Scholar] [CrossRef]
- ISO 13320:2020; Particle Size Analysis—Laser Diffraction Methods. ISO: Geneva, Switzerland, 2020.
- ASTM C20-00; Standard Test Methods for Apparent Porosity, Water Absorption, Apparent Specific Gravity, and Bulk Density of Burned Refractory Brick and Shapes by Boiling Water. ASTM: West Conshohocken, PN, USA, 2015.
- ASTM C67/C67M-18; ASTM International Standard Test Methods for Sampling and Testing Brick and Structural Clay Tile. ASTM: West Conshohocken, PN, USA, 2018.
- Kazanskaya, L.F.; Smirnova, O.M.; Palomo, Á.; Pidal, I.M.; Romana, M. Supersulfated Cement Applied to Produce Lightweight Concrete. Materials 2021, 14, 403. [Google Scholar] [CrossRef]
- Ministry of Economy of The Republic of Armenia. National Body for Standards and Metrology. Available online: https://www.armstandard.am/en/standart/5531 (accessed on 4 December 2023).
- Diko, M.L.; Ekosse, G.E.; Ayonghe, S.N.; Ntasin, E.B. Note. Appl. Clay Sci. 2011, 3, 380–384. [Google Scholar] [CrossRef]
- Sutcu, M.; Alptekin, H.; Erdogmus, E.; Er, Y.; Gencel, O. Characteristics of fired clay bricks with waste marble powder addition as building materials. Constr. Build. Mater. 2015, 82, 1–8. [Google Scholar] [CrossRef]
- Sutcu, M.; Erdogmus, E.; Gencel, O.; Gholampour, A.; Atan, E.; Ozbakkaloglu, T. Recycling of bottom ash and fly ash wastes in eco-friendly clay brick production. J. Clean. Prod. 2019, 233, 753–764. [Google Scholar] [CrossRef]
- Gencel, O.; Erdugmus, E.; Sutcu, M.; Oren, O.H. Effects of concrete waste on characteristics of structural fired clay bricks. Constr. Build. Mater. 2020, 255, 119362. [Google Scholar] [CrossRef]
- Litvan, G.G. Determination of the firing temperature of clay brick. Natl. Res. Counc. Canada 1984, 63, 617–627. [Google Scholar]
- Ajam, L.; Ben Ouezdou, M.; Felfoul, H.S.; Mensi, R. El Characterization of the Tunisian phosphogypsum and its valorization in clay bricks. Constr. Build. Mater. 2009, 23, 3240–3247. [Google Scholar] [CrossRef]
- Kazmi, S.M.S.; Abbas, S.; Saleem, M.A.; Munir, M.J.; Khitab, A. Manufacturing of sustainable clay bricks: Utilization of waste sugarcane bagasse and rice husk ashes. Constr. Build. Mater. 2016, 120, 29–41. [Google Scholar] [CrossRef]
- Elert, K.; Cultrone, G.; Navarro, C.R.; Pardo, E.S. Durability of bricks used in the conservation of historic buildings-influence of composition and microstructure. J. Cult. Herit. 2003, 4, 91–99. [Google Scholar] [CrossRef]
- Eliche-Quesada, D.; Leite-Costa, J. Use of bottom ash from olive pomace combustion in the production of eco-friendly fired clay bricks. Waste Manag. 2016, 48, 323–333. [Google Scholar] [CrossRef] [PubMed]
- Gencel, O.; Sutcu, M.; Erdogmus, E.; Koc, V.; Cay, V.V.; Gok, M.S. Properties of bricks with waste ferrochromium slag and zeolite. J. Clean. Prod. 2013, 59, 111–119. [Google Scholar] [CrossRef]
- ASTM C90; ASTM C90 Standard Specification for Loadbearing Concrete Masonry Units. ASTM: West Conshohocken, PN, USA, 2022.
- Taurino, R.; Ferretti, D.; Cattani, L.; Bozzoli, F.; Bondioli, F. Lightweight clay bricks manufactured by using locally available wine industry waste. J. Build. Eng. 2019, 26, 100892. [Google Scholar] [CrossRef]
- Yaras, A. Combined effects of paper mill sludge and carbonation sludge on characteristics of fired clay bricks. Constr. Build. Mater. 2020, 249, 118722. [Google Scholar] [CrossRef]
- Benlalla, A.; Elmoussaouiti, M.; Dahhou, M.; Assafi, M. Utilization of water treatment plant sludge in structural ceramics bricks. Appl. Clay Sci. 2015, 118, 171–177. [Google Scholar] [CrossRef]
- Cai, L.; Ma, B.; Li, X.; Lv, Y.; Liu, Z.; Jian, S. Mechanical and hydration characteristics of autoclaved aerated concrete (AAC) containing iron-tailings: Effect of content and fineness. Constr. Build. Mater. 2016, 128, 361–372. [Google Scholar] [CrossRef]
- Muttashar, H.L.; Ali, N.B.; Mohd Ariffin, M.A.; Hussin, M.W. Microstructures and physical properties of waste garnets as a promising construction materials. Case Stud. Constr. Mater. 2018, 8, 87–96. [Google Scholar] [CrossRef]
- Phonphuak, N.; Kanyakam, S.; Chindaprasirt, P. Utilization of waste glass to enhance physical–mechanical properties of fired clay brick. J. Clean. Prod. 2016, 112, 3057–3062. [Google Scholar] [CrossRef]
- Abbas, S.; Saleem, M.A.; Kazmi, S.M.S.; Munir, M.J. Production of sustainable clay bricks using waste fly ash: Mechanical and durability properties. J. Build. Eng. 2017, 14, 7–14. [Google Scholar] [CrossRef]
- ASTM C62; Standard Specification for Building Brick (Solid Masonry Units Made from Clay or Shale). ASTM: West Conshohocken, PN, USA, 2012; pp. 12959–19428.
- Phonphuak, N. Effects of Additive on the Physical and Thermal Conductivity of Fired Clay Brick Types of waste, properties, and durability of pore-forming waste-based fired masonry bricks View project Effects of Additive on the Physical and Thermal Conductivity of Fired Clay Brick. J. Chem. Sci. Technol. 2013, 2, 95–99. [Google Scholar]
- More, A.S.; Tarade, A.; Anant, A. Assessment of suitability of Fly Ash and Rice Husk Ash burnt clay bricks. Int. J. Sci. Res. Publ. 2014, 4, 1–6. [Google Scholar]
- Karaman, S.; Gunal, H.; Ersahin, S. Assesment of clay bricks compressive strength using quantitative values of colour components. Constr. Build. Mater. 2006, 20, 348–354. [Google Scholar] [CrossRef]
- Chidiac, S.E.; Federico, L.M. Effects of waste glass additions on the properties and durability of fired clay brick. Can. J. Civ. Eng. 2007, 34, 1458–1466. [Google Scholar] [CrossRef]
- Weng, C.H.; Lin, D.F.; Chiang, P.C. Utilization of sludge as brick materials. Adv. Environ. Res. 2003, 7, 679–685. [Google Scholar] [CrossRef]
- Tiffo, E.; Elimbi, A.; Manga, J.D.; Tchamba, A.B. Red ceramics produced from mixtures of kaolinite clay and waste glass. Brazilian J. Sci. Technol. 2015, 2, 4. [Google Scholar] [CrossRef]
- Kazmi, S.M.S.; Abbas, S.; Nehdi, M.L.; Saleem, M.A.; Munir, M.J. Feasibility of Using Waste Glass Sludge in Production of Ecofriendly Clay Bricks. J. Mater. Civ. Eng. 2017, 29, 04017056. [Google Scholar] [CrossRef]
- Leiva, C.; Arenas, C.; Alonso-Fariñas, B.; Vilches, L.F.; Peceño, B.; Rodriguez-Galán, M.; Baena, F. Characteristics of fired bricks with co-combustion fly ashes. J. Build. Eng. 2016, 5, 114–118. [Google Scholar] [CrossRef]
Disclaimer/Publisher’s Note: The statements, opinions and data contained in all publications are solely those of the individual author(s) and contributor(s) and not of MDPI and/or the editor(s). MDPI and/or the editor(s) disclaim responsibility for any injury to people or property resulting from any ideas, methods, instructions or products referred to in the content. |
© 2023 by the authors. Licensee MDPI, Basel, Switzerland. This article is an open access article distributed under the terms and conditions of the Creative Commons Attribution (CC BY) license (https://creativecommons.org/licenses/by/4.0/).













