Parametric Investigation of Self-Centering Prestressed Concrete Frame Structures with Variable Friction Dampers
Abstract
:1. Introduction
2. Configuration and Numerical Model of VFD-SCPC Connection
2.1. Connection Configuration of VFD-SCPC Connections
2.2. Finite-Element Model of Connection
Mechanism of the Interaction between Axial and Bending Deformations
3. Prototype Buildings
4. Dynamic Time History Analyses
4.1. Selection of Ground-Motion Records
4.2. The Verification of Target Structural Seismic Performance
4.3. Analysis of the Impacts of Key Parameters on the Anti-Seismic Properties of Structures
4.3.1. The Influence of Prestressed Strands on the Seismic Performance of VFD-SCPC Frames
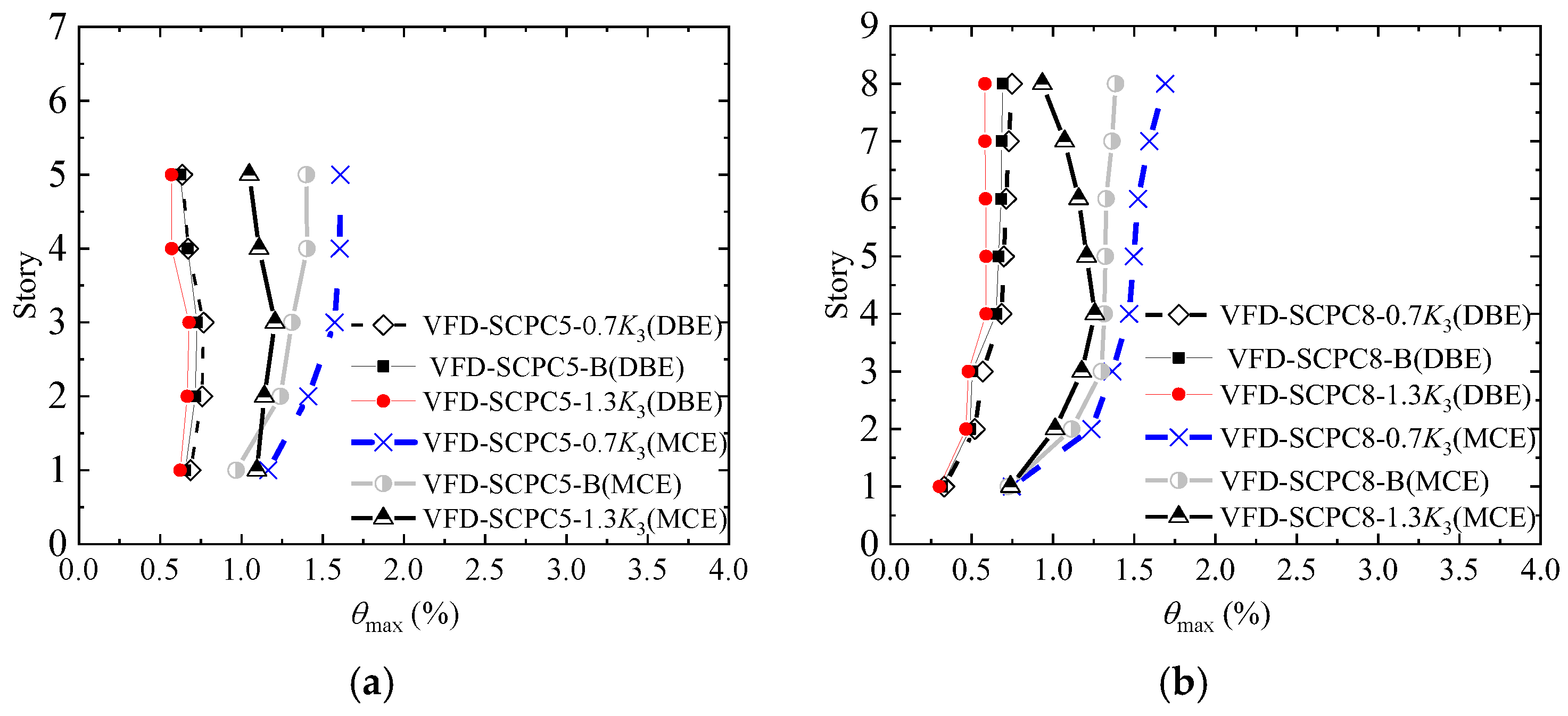
4.3.2. The Influence of Slope Sliding Friction Parts on the Seismic Performance of VFD-SCPC Frames
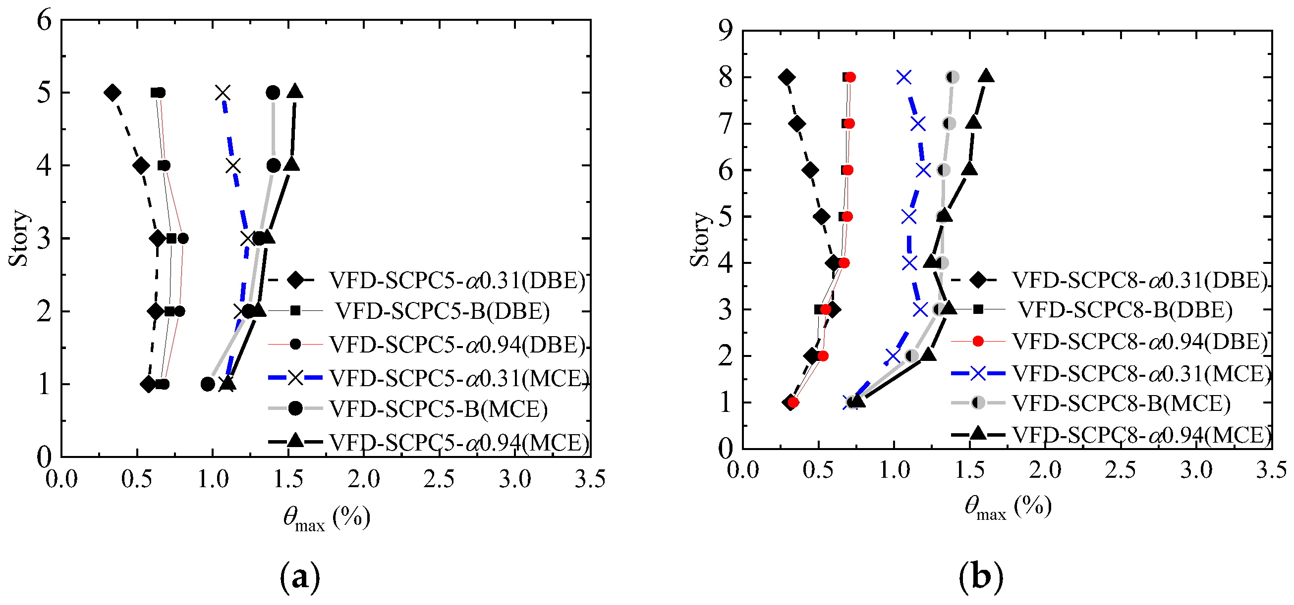
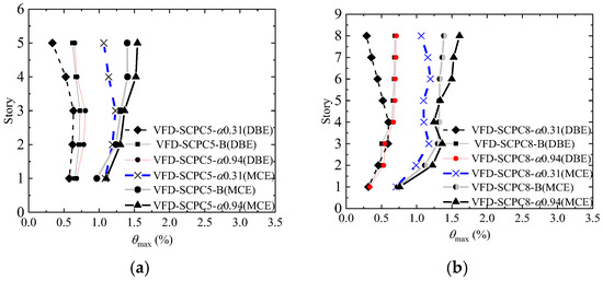
4.3.3. The Influence of Secondary Activation of VFD on the Seismic Performance of Structures
5. Conclusions
- (1)
- Two methods can be used to improve the second stiffness of SCPC connections, which are increasing the stiffness (number) of the prestressed strands and increasing the force arm of the prestressed strands. Under the DBE seismic level, increasing the second stiffness had little effectiveness in terms of reducing the deformation of structures, while it had a significant effect under the MCE seismic level. The method of increasing the number of prestressed strands may increase the economic cost, while the method of increasing the force arm of prestressed strands is easy to implement and has a lower economic cost.
- (2)
- Increasing the third stiffness of the connections (the angle of slope sliding areas and the stiffness of the combination of disc springs) can effectively reduce the deformation of structures under MCE seismic levels. The energy-dissipation capacity of structures can also be significantly improved, and the higher mode effect of the structures can also be reduced. However, under DBE seismic levels, the loading capacity of the structures was mainly controlled by the flat sliding areas of VFD. The improvement of the third stiffness had almost no effect on the floor deformation or energy-dissipation capacity, and the higher modal effect could not be controlled effectively.
- (3)
- Reducing the length ratio of the flat sliding areas to the slope sliding areas (α = Δf/Δs) can result in the secondary activation of VFD being performed prematurely. The loading capacity and energy-dissipation capacity of structures can be effectively improved under both DBE and MCE seismic levels, the inter-story drift can be effectively reduced, and the higher modal effects can be significantly controlled. Therefore, in practical engineering, the secondary activation of VFD and the design of the third stiffness can be combined to control the higher modal effects of SCPC frames under both DBE and MCE seismic levels.
Author Contributions
Funding
Data Availability Statement
Conflicts of Interest
References
- Wen, J.; Li, X.; Xie, Q. Seismic disadvantages and formation mechanism of weak coupling effects in interconnected power infrastructures. Soil Dyn. Earthq. Eng. 2023, 173, 108082. [Google Scholar] [CrossRef]
- Ouyang, X.; Zhang, Y.; Ou, X.; Shi, Y.; Liu, S.; Fan, J. Seismic fragility analysis of buckling-restrained brace-strengthened reinforced concrete frames using a performance-based plastic design method. Structures 2022, 43, 338–350. [Google Scholar] [CrossRef]
- Zhang, Y.; Ouyang, X.; Sun, B.; Shi, Y.; Wang, Z. A comparative study on seismic fragility analysis of RC frame structures with consideration of modeling uncertainty under far-field near-field ground motion excitation. Bull. Earthq. Eng. 2022, 20, 1455–1487. [Google Scholar] [CrossRef]
- Zhang, Y.; Sun, B.; Shi, Y.; Wang, Z. Estimation of Aleatory Randomness by Sa(T1)-Based Intensity Measures in Fragility Analysis of Reinforced Concrete Frame Structures. CMES-Comput. Model. Eng. Sci. 2022, 130, 73–96. [Google Scholar] [CrossRef]
- Sun, B.; Zeng, Z.; Zhang, Y.; Shen, W.; Ou, J. An effective geometric nonlinear analysis approach of framed structures with local material nonlinearities based on the reduced-order Newton-Raphson method. Soil Dyn. Earthq. Eng. 2023, 172, 107991. [Google Scholar] [CrossRef]
- Lin, Y.; Wang, Y.; Wu, W. Experimental study on PSPC beam–Concrete encased CFST column frame installed with novel steel panel dampers. Eng. Struct. 2023, 288, 116211. [Google Scholar] [CrossRef]
- Lin, Y.; He, X.; Igarashi, A. Influence of directionality of spectral-compatible Bi-directional ground motions on critical seismic performance assessment of base-isolation structures. Earthq. Eng. Struct. Dyn. 2022, 51, 1477–1500. [Google Scholar] [CrossRef]
- Wei, Y.; Nie, Y.; Lin, Y. Axial stress–strain behaviour of bamboo composite tube-confined recycled aggregate concrete with different aggregate replacement ratios. Wood Mater. Sci. Eng. 2023, 1–17. [Google Scholar] [CrossRef]
- Wu, F.; Wei, Y.; Lin, Y. Experimental study of bamboo scrimber-filled steel tube columns under axial compression. Eng. Struct. 2023, 280, 115669. [Google Scholar] [CrossRef]
- Wu, F.; Wei, Y.; Lin, Y. Confinement effectiveness of bamboo scrimber-filled steel tube columns under axial compression. J. Build. Eng. 2023, 68, 106157. [Google Scholar] [CrossRef]
- Guan, D.; Peng, Z.; Lin, Y. Development and seismic performance of precast rocking walls with multiple steel energy dissipaters. Case Stud. Constr. Mater. 2023, 19, e02304. [Google Scholar] [CrossRef]
- Cao, Q.; Wei, Y.; Chen, S. Experimental investigations on the load-bearing properties of dowel connection joints of bamboo scrimber. Structures 2023, 50, 1868–1878. [Google Scholar] [CrossRef]
- Priestley, M.J.N. Overview of presss research program. PCI J. 1991, 36, 50–57. [Google Scholar] [CrossRef]
- Song, G.; Yang, T.; Zhou, Y. Distribution of hysteretic energy demands in self-centering concrete frames with hybrid joints. Soil Dyn. Earth. Eng. 2021, 148, 106828. [Google Scholar] [CrossRef]
- Qiu, C.; Liu, J.; Jiang, T.; Du, X. Experimental study on a steel self-centering rocking column with SMA slip friction dampers. Eng. Struct. 2022, 274, 115126. [Google Scholar] [CrossRef]
- Wang, Y.; Zhou, Z.; Xie, Y.; Huang, L.; Zheng, J. Shake Table Tests of Self-Centering Steel Braced Frame with Pretensioned Basalt Fiber Reinforced Polymers. J. Earthq. Eng. 2022, 27, 3251–3268. [Google Scholar] [CrossRef]
- Liu, J.; Yuan, Y.; Wang, L.; Liu, Z.; Yang, J. Parameter Study of Interfacial Capacities for FRP–Steel Bonded Joints Based on 3D FE Modeling. Materials 2022, 15, 7787. [Google Scholar] [CrossRef]
- Liu, J.; Guo, T.; Wei, Y.; Wang, L.; Zou, X. Investigation of the Effect of Pre-Tightening Forces on Bolted Connection for FRP-Steel Joints. Case Stud. Constr. Mater. 2023, 19, e02348. [Google Scholar] [CrossRef]
- Wang, G.; Wei, Y.; Shen, C.; Huang, Z.; Zheng, K. Compression performance of FRP-steel composite tube-confined ultrahigh-performance concrete (UHPC) columns. Thin-Walled Struct. 2023, 192, 111152. [Google Scholar] [CrossRef]
- Priestley, M.J.N.; Tao, J.R. Seismic response of precast prestressed concrete frames with partially debonded tendons. PCI J. 1993, 38, 58–69. [Google Scholar] [CrossRef]
- Stone, W.C.; Cheok, G.S.; Stanton, J.F. Performance of hybrid moment-resisting precast beam–column concrete connection subjected to cyclic loading. ACI Struct. J. 1995, 92, 229–249. [Google Scholar]
- Li, L.; Mander, J.B.; Dhakal, R.P. Bi-directional cyclic loading experiment on a 3-D beam-column connection designed for damage avoidance. J. Struct. Eng. 2008, 134, 1733–1742. [Google Scholar] [CrossRef]
- Pampanin, S.; Amaris, A. Critical aspects in modelling the seismic behavior of precast/ prestressed concrete building connections and systems. In Proceedings of the First FIB Congress, Osaka, Japan, 13–19 October 2002. [Google Scholar]
- Youssef, M.A.; Alam, M.S.; Nehdi, M. Experimental investigation on the seismic behavior of beam-column joints reinforced with superelastic shape memory alloys. J. Earthq. Eng. 2008, 12, 1205–1222. [Google Scholar] [CrossRef]
- Choi, E.; Jeon, J.S.; Lee, J.H. Self-centering capacity of RC columns with smart plastic hinges of martensitic NiTi SMA bars. Smart Mater. Struct. 2023, 32, 115015. [Google Scholar] [CrossRef]
- Lu, X.L.; Cui, Y.; Liu, J. Shaking table test and numerical simulation of a 1/2-scale self-centering reinforced concrete frame. Earthq. Eng. Struct. Dyn. 2015, 44, 1899–1917. [Google Scholar] [CrossRef]
- Sun, D.; Yang, Y.; Ma, Y.; Xue, Y.; Yu, Y.; Feng, S. Seismic behavior of self-centering column base with replaceable stiffener angle steels. Thin-Walled Struct. 2022, 181, 110113. [Google Scholar] [CrossRef]
- Veismoradi, S.; Yousef-beik, S.M.M.; Zarnani, P.; Quenneville, P. Development and parametric study of a new self-centering rotational friction damper. Eng. Struct. 2021, 235, 112097. [Google Scholar] [CrossRef]
- Song, L.L.; Guo, T.; Gu, Y.; Cao, Z.L. Experimental study of a self-centering prestressed concrete frame subassembly. Eng. Struct. 2015, 88, 176–188. [Google Scholar] [CrossRef]
- Huang, L.; Zhou, Z.; Huang, X. Variable friction damped self-centering precast concrete beam–column connections with hidden corbels: Experimental investigation and theoretical analysis. Eng. Struct. 2020, 206, 110150. [Google Scholar] [CrossRef]
- Huang, L.; Clayton, P.M.; Zhou, Z. Seismic design and performance of self-centering precast concrete frames with variable friction dampers. Eng. Struct. 2021, 245, 112863. [Google Scholar] [CrossRef]
- Rodgers, G.W.; Solberg, K.M.; Chase, J.G.; Mander, J.B.; Bradley, B.A.; Dhakal, R.P. Performance of a damage-protected beam–column subassembly utilizing external HF2V energy dissipation devices. Earth. Eng. Struct. Dyn. 2008, 37, 1549–1564. [Google Scholar] [CrossRef]
- Rodgers, G.W.; Mander, J.B.; Chase, J.G. Modeling cyclic loading behavior of jointed precast concrete connections including effects of friction, tendon yielding and dampers. Earthq. Eng. Struct. Dyn. 2012, 41, 2215–2233. [Google Scholar] [CrossRef]
- Kam, W.Y.; Pampanin, S.; Palermo, A.; Carr, A.J. Self-centering structural systems with combination of hysteretic and viscous energy dissipations. Earthq. Eng. Struct. Dyn. 2010, 39, 1083–1108. [Google Scholar] [CrossRef]
- Huang, L.; Zhou, Z.; Clayton, P.M. Experimental and numerical study of unbonded post-tensioned precast concrete connections with controllable post-decompression stiffness. Struct. Des. Tall Spec. Build. 2021, 30, e1847. [Google Scholar] [CrossRef]
- Huang, L.; Han, J.; Wen, H.; Li, C.; He, H.; Luo, Y.; Qian, Z. The Seismic Performance and Global Collapse Resistance Capacity of Infilled Reinforced Concrete Frames Considering the Axial–Shear–Bending Interaction of Columns. Buildings 2022, 12, 2030. [Google Scholar] [CrossRef]
- Zheng, K.; Ni, S.; Zhang, Y.; Gu, J.; Gao, M.; Wei, Y. Post-cracking Shear Stiffness Model of Reinforced Concrete Beams. Buildings 2023, 13, 2814. [Google Scholar] [CrossRef]
- Zheng, K.; Zhou, S.; Zhang, Y.; Wei, Y.; Wang, J.; Wang, Y.; Qin, X. Simplified Evaluation of Shear Stiffness Degradation of Diagonally Cracked Reinforced Concrete Beams. Materials 2023, 16, 4752. [Google Scholar] [CrossRef]
- Huang, Z.; Zheng, K.; Wei, Y.; Liu, L.; Tang, X.; Qin, X. Compressive performance of SWSSC-filled CFRP-stainless steel composite tube columns. Constr. Build. Mater. 2023, 385, 131471. [Google Scholar] [CrossRef]
- Shan, Z.W.; Looi, D.T.; Su, R.K. Confinement model for RC columns strengthened with direct-fastened steel plate. Steel Compos. Struct. 2021, 39, 367–381. [Google Scholar]
- Shan, Z.W.; Su, R.K.L. Flexural capacity model for RC beams strengthened with bolted side-plates incorporating both partial longitudinal and transverse interactions. Eng. Struct. 2018, 168, 44–57. [Google Scholar] [CrossRef]
- Shan, Z.W.; Looi, D.T.W.; Su, R.K.L. A novel seismic strengthening of RC columns by direct fastening steel plates. Eng. Struct. 2020, 218, 110838. [Google Scholar] [CrossRef]
- Kam, W.Y.; Pampanin, S.; Carr, A.J. Design Procedure and Behaviour of Advanced Flag-Shape (AFS) MDOF Systems; New Zealand Society for Earthquake Engineering (NZSEE): Wellington, New Zealnd, 2008; pp. 1–18. [Google Scholar]
- GB50011-2010; Code for Seismic Design of Buildings. National Standards of the People’s Republic of China: Beijing, China, 2010. (In Chinese)
- Du, H.; Liu, J.; Yuan, S. Mechanical behavior of glulam-concrete composite beam with notched connections under ISO 834 standard fire. J. Build. Eng. 2023, 78, 107670. [Google Scholar] [CrossRef]
- Du, H.; Yuan, S.; Yu, T.; Hu, X. Experimental and analytical investigation on flexural behavior of high-strength steel-concrete composite beams. Buildings 2023, 13, 902. [Google Scholar] [CrossRef]












| Floor | Beam (Bb × Hb) (mm) | Column (Bc × Hc) (mm) | ρb (%) | ρc (%) | Aps (mm2) | Fps,0 (kN) | FC (kN) | Kcds (kN/mm) |
|---|---|---|---|---|---|---|---|---|
| 1 | 400 × 650 | 600 × 600 | 0.66 | 1.86 | 1251 | 1202 | 205 | 18.3 |
| 2 | 400 × 600 | 600 × 600 | 0.71 | 2.18 | 1112 | 1209 | 206 | 19.8 |
| 3 | 400 × 600 | 550 × 550 | 0.71 | 1.91 | 1112 | 1131 | 192 | 18.6 |
| 4 | 400 × 550 | 550 × 550 | 0.76 | 2.27 | 973 | 980 | 167 | 17.4 |
| 5 | 400 × 550 | 550 × 550 | 0.76 | 1.94 | 834 | 718 | 122 | 12.8 |
| Floor | Beam (Bb × Hb) (mm) | Column (Bc × Hc) (mm) | ρb (%) | ρc (%) | Aps (mm2) | Fps,0 (kN) | FC (kN) | Kcds (kN/mm) |
|---|---|---|---|---|---|---|---|---|
| 1 | 400 × 700 | 750 × 750 | 0.66 | 1.95 | 1793 | 1514 | 463 | 42.5 |
| 2 | 400 × 650 | 750 × 750 | 0.71 | 2.22 | 1673 | 1533 | 476 | 35.3 |
| 3 | 400 × 650 | 700 × 700 | 0.71 | 2.06 | 1679 | 1530 | 461 | 32.6 |
| 4 | 400 × 600 | 700 × 700 | 0.76 | 2.32 | 1455 | 1412 | 451 | 31.9 |
| 5 | 400 × 600 | 650 × 650 | 0.76 | 2.01 | 1324 | 1323 | 308 | 26.7 |
| 6 | 400 × 600 | 650 × 650 | 0.76 | 1.76 | 1120 | 1128 | 269 | 21.2 |
| 7 | 400 × 600 | 600 × 600 | 0.76 | 2.08 | 1003 | 943 | 229 | 18.3 |
| 8 | 400 × 600 | 600 × 600 | 0.76 | 2.06 | 918 | 635 | 135 | 13.4 |
| Structure | Model | DBE | MCE | ||
|---|---|---|---|---|---|
| Average | Variation Rate | Average | Variation Rate | ||
| Five-story building | VFD-SCPC5-B | 0.78% | - | 1.46% | |
| VFD-SCPC5-PT2 | 0.74% | −5.13% | 1.31% | −10.27% | |
| VFD-SCPC5-PH1/4 | 0.71% | −8.97% | 1.28% | −12.33% | |
| Eight-story building | VFD-SCPC 8-B | 0.75% | - | 1.56% | |
| VFD-SCPC 8--PT2 | 0.71% | −5.33% | 1.40% | −10.26% | |
| VFD-SCPC8-PH1/4 | 0.68% | −9.33% | 1.20% | −23.08% | |
| Structure | Model | DBE | MCE | ||
|---|---|---|---|---|---|
| Average | Variation Rate | Average | Variation Rate | ||
| Five-story building | VFD-SCPC5-B | 0.78% | - | 1.46% | |
| VFD-SCPC5-0.7K3 | 0.82% | 5.13% | 1.68% | 15.07% | |
| VFD-SCPC5-1.3K3 | 0.73% | −6.76% | 1.28% | −12.33% | |
| Eight-story building | VFD-SCPC 8-B | 0.75% | - | 1.56% | |
| VFD-SCPC 8-0.7K3 | 0.83% | 9.67% | 1.86% | 19.23% | |
| VFD-SCPC 8-1.3K3 | 0.69% | −8.67% | 1.28% | −17.91% | |
| Structure | Model | DBE | MCE | ||
|---|---|---|---|---|---|
| Average | Variation Rate | Average | Variation Rate | ||
| Five-story building | VFD-SCPC5-B | 0.78% | - | 1.46% | |
| VFD-SCPC5-α0.31 | 0.71% | −8.97% | 1.28% | −12.33% | |
| VFD-SCPC5-α0.94 | 0.84% | 7.69% | 1.70% | 16.44% | |
| Eight-story building | VFD-SCPC 8-B | 0.75% | - | 1.56% | |
| VFD-SCPC 8-α0.31 | 0.69% | −8.00% | 1.36% | −12.82% | |
| VFD-SCPC 8-α0.94 | 0.82% | 9.33% | 1.85% | 18.59% | |
Disclaimer/Publisher’s Note: The statements, opinions and data contained in all publications are solely those of the individual author(s) and contributor(s) and not of MDPI and/or the editor(s). MDPI and/or the editor(s) disclaim responsibility for any injury to people or property resulting from any ideas, methods, instructions or products referred to in the content. |
© 2023 by the authors. Licensee MDPI, Basel, Switzerland. This article is an open access article distributed under the terms and conditions of the Creative Commons Attribution (CC BY) license (https://creativecommons.org/licenses/by/4.0/).
Share and Cite
Huang, L.; Qian, Z.; Meng, Y.; Jiang, K.; Zhang, J.; Sang, C. Parametric Investigation of Self-Centering Prestressed Concrete Frame Structures with Variable Friction Dampers. Buildings 2023, 13, 3029. https://doi.org/10.3390/buildings13123029
Huang L, Qian Z, Meng Y, Jiang K, Zhang J, Sang C. Parametric Investigation of Self-Centering Prestressed Concrete Frame Structures with Variable Friction Dampers. Buildings. 2023; 13(12):3029. https://doi.org/10.3390/buildings13123029
Chicago/Turabian StyleHuang, Linjie, Zhendong Qian, Yuan Meng, Kaixi Jiang, Jingru Zhang, and Chenxu Sang. 2023. "Parametric Investigation of Self-Centering Prestressed Concrete Frame Structures with Variable Friction Dampers" Buildings 13, no. 12: 3029. https://doi.org/10.3390/buildings13123029
APA StyleHuang, L., Qian, Z., Meng, Y., Jiang, K., Zhang, J., & Sang, C. (2023). Parametric Investigation of Self-Centering Prestressed Concrete Frame Structures with Variable Friction Dampers. Buildings, 13(12), 3029. https://doi.org/10.3390/buildings13123029

