A Beam Finite Element Model Considering the Slip, Shear Lag, and Time-Dependent Effects of Steel–Concrete Composite Box Beams
Abstract
:1. Introduction
2. Theoretical Model of the Composite Box Beam
2.1. Principal Knowledge
- (i)
- The vertical bending curvatures and transverse bending curvatures of the concrete slab and steel beam are identical;
- (ii)
- The deflections of the concrete slab and steel beam in both vertical and transverse deflections are identical;
- (iii)
- Shear deformation of the beam caused by bending is disregarded;
- (iv)
- The slip between the steel beam and the concrete slab is considered only in a longitudinal direction. The shear connections are arranged uniformly along the span so that the shear connection stiffness of the interface remains identical along the span;
- (v)
- The shear lag on vertical deflection is considered;
- (vi)
- The study only focused on the structure in the normal service stage, so the concrete slab is always under elastic stage. The concrete creep is simulated by use of a linear creep model according to Bazant’s study.
- (vii)
- The study only focused on the structure in the normal service stage, so the steel beam is always under the elastic stage;
- (viii)
- The study only focused on the mechanical properties in the normal service stage, so the shear connections are always under elastic stage.
2.2. Kinematics of the Composite Box Beam
2.3. Virtual Work of the Composite Box Beam
- (1)
- Internal virtual work of the steel beam and the concrete slab
- (2)
- Internal virtual work by interface slip
- (3)
- External virtual work
3. Numerical Procedure of the Analysis Model
3.1. Time Integration: Incremental Step-by-Step Method without Storing the Histories of Stress and Strain
3.2. Space Integration: The Finite Beam Element with 18 DOFs
- (i)
- Calculate according to Equation (42);
- (ii)
- Calculate ; calculate according to Equation (40);
- (iii)
- Calculate Kn according to Equation (53); calculate , , and according to Equations (55)–(57); calculate according to Equation (54); calculate according to Equation (52);
- (iv)
- Calculate from Equations (48) and (9);
- (v)
- Calculate according to Equation (43) for the next incremental time step;
- (vi)
- Return to (i) and perform the iterative computation for the next incremental time step.
4. Verification of the Beam Finite Element Model
4.1. Instantaneous Behavior
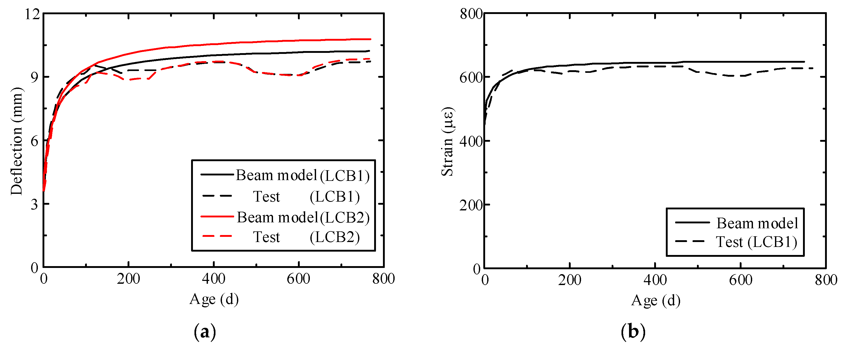
4.2. Time-Dependent Behavior
5. Application of the Beam Finite Element Model
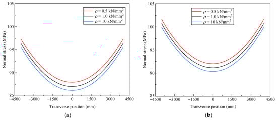
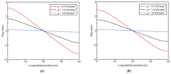
5.1. Influence of the Shear Connection Stiffness
5.2. Time-Dependent Analysis
6. Conclusions
- (1)
- The analytical model of the composite box beam is solved in the time domain by an accurate step-by-step method, and the Dirichlet series is employed into the creep function without the storage of stress and strain histories. In the spatial domain, the FEM discretizes the composite beam into finite two-node beam elements with 18 DOFs. An effective recursion method was developed to solve these equations of the system.
- (2)
- A fine numerical simulation by ANSYS is performed to validate the correctness and applicability of the proposed model in instantaneous analysis. Through a comparison between the classical long-term test results of the composite beams and the calculation results of the proposed model involving beam finite elements, the validity and applicability of the proposed model used in the long-term analysis was proven.
- (3)
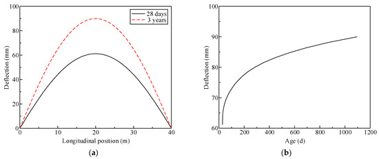
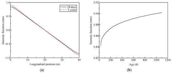
- The proposed model is then applied to the analysis of the time-dependent behavior of composite beams. Some mechanical responses, including vertical deflections, interface slip, warping intensity function due to shear deformation, the stress on the concrete slab, and the stress of the steel beam, are analyzed. In this study, the variation in these responses between the 28th day and the 3rd year was the focus. It was determined that the shear connection stiffness, shrinkage, and creep all have a significant impact on these responses.
- (4)
- Compared with the model with ρ = 1 kN/mm2, the vertical deflection at mid-span in the 3rd year of the model with ρ = 0.5 kN/mm2 is 8.40% larger; the interface slip at the end is 90.62% larger; the mid-span vertical deflection in the 3rd year of the model with ρ = 10 kN/mm2 is 7.90% less; and the interface slip at the end is 89.20% smaller.
- (5)
- For the model with ρ = 1 kN/mm2, from the 28th day to the 3rd year, the mid-span vertical deflection increased by 47.01%, the interface slip at the end decreased by 10.99%, the warping intensity function of the concrete slab at end of the steel beam due to shear deformation increased by 111.64%, the warping intensity function at the steel bottom near the beam end increased by 7.01%, the maximum compressive stress on the concrete slab decreased by 6.75%, and the maximum tensile stress at the steel bottom flange increased by 4.56%. The above mechanical responses have been developing, and even in the 10th year, the development rate is still not negligible.
Author Contributions
Funding
Data Availability Statement
Acknowledgments
Conflicts of Interest
Appendix A
References
- Doori, S.G.; Noori, A.R. Finite element approach for the bending analysis of castellated steel beams with various web openings. ALKU J. Sci. 2021, 3, 38–49. [Google Scholar] [CrossRef]
- Jiang, L.Z.; Nie, L.X.; Zhou, W.B.; Wu, X.; Liu, L.L. Distortional buckling analysis of steel–concrete composite box beams considering effect of stud rotational restraint under hogging moment. J. Cent. South Univ. 2022, 29, 3158–3170. [Google Scholar] [CrossRef]
- Shen, J.; Pagani, A.; Arruda, M.R.T.; Carrera, E. Exact component-wise solutions for 3D free vibration and stress analysis of hybrid steel–concrete composite beams. Thin-Walled Struct. 2022, 174, 109094. [Google Scholar] [CrossRef]
- Lou, T.; Wu, S.; Chen, B. Effect of reinforcement on the response of continuous steel–concrete composite beams. Case Stud. Constr. Mater. 2022, 16, e00929. [Google Scholar] [CrossRef]
- Fan, J.S.; Li, B.L.; Liu, C.; Liu, Y.F. An efficient model for simulation of temperature field of steel–concrete composite beam bridges. Structures 2022, 43, 1868–1880. [Google Scholar] [CrossRef]
- Chisari, C.; Amadio, C. An experimental, numerical and analytical study of hybrid RC-encased steel joist beams subjected to shear. Eng. Struct. 2014, 61, 84–98. [Google Scholar] [CrossRef]
- Colajanni, P.; Mendola, L.L.; Monaco, A. Experimental investigation of the shear response of precast steel–concrete trussed beams. J. Struct. Eng. ASCE 2017, 143, 04016156. [Google Scholar] [CrossRef]
- Foutch, D.A.; Chang, P.C. A shear lag anomaly. J. Struct. Eng. ASCE 1982, 108, 1653–1658. [Google Scholar] [CrossRef]
- Chang, S.T.; Fang, Z.Z. Negative shear lag in cantilever box girder with constant depth. J. Struct. Eng. ASCE 1987, 113, 20–35. [Google Scholar] [CrossRef]
- Kristek, V.; Studnicka, J. Discussion of ‘negative shear lag in cantilever box girder with constant depth’. J. Struct. Eng. ASCE 1988, 114, 2168–2173. [Google Scholar]
- Chang, S.T.; Ding, Y. Shear lag effect in box girder with varying depth. J. Struct. Eng. ASCE 1988, 114, 2280–2292. [Google Scholar] [CrossRef]
- Cao, G.H.; Han, C.C.; Dai, Y.; Zhang, W. Long-term experimental study on prestressed steel–concrete composite continuous box beams. J. Bridge Eng. ASCE 2018, 23, 04018067. [Google Scholar] [CrossRef]
- Huang, D.; Wei, J.; Liu, X.; Xiang, P.; Zhang, S. Experimental study on long-term performance of steel–concrete composite bridge with an assembled concrete deck. Constr. Build. Mater. 2019, 214, 606–618. [Google Scholar] [CrossRef]
- Huang, D.; Wei, J.; Peng, H.; Guo, H.L.; Wang, B.W. An analysis model accounting for time-dependent shear lag effects in assembled composite bridge decks. Adv. Struct. Eng. 2022, 25, 1866–1877. [Google Scholar] [CrossRef]
- Souici, A.; Tehami, M.; Rahal, N.; Bekkouche, M.S.; Berthet, J.F. Creep effect on composite beam with perfect steel–concrete connection. Int. J. Steel Struct. 2015, 15, 433–445. [Google Scholar] [CrossRef]
- Henriques, D.; Gonçalves, R.; Sousa, C.; Camotim, D. GBT-based time-dependent analysis of steel–concrete composite beams including shear lag and concrete cracking effects. Thin-Walled Struct. 2020, 150, 106706. [Google Scholar] [CrossRef]
- Dezi, L.; Gara, F.; Leoni, G.; Tarantino, A.M. Time dependent analysis of shear-lag effect in composite beams. J. Eng. Mech. ASCE 2001, 127, 71–79. [Google Scholar] [CrossRef]
- Dezi, L.; Leoni, G. Effective slab width in prestressed twin-girder composite decks. J. Struct. Eng. ASCE 2006, 132, 1358–1370. [Google Scholar] [CrossRef]
- Dezi, L.; Gara, F.; Leoni, G. Shear-lag effect in twin-girder composite decks. Steel Compos. Struct. 2003, 3, 111–122. [Google Scholar] [CrossRef]
- Gara, F.; Leoni, G.; Dezi, L. A beam finite element including shear lag effect for the time-dependent analysis of steel–concrete composite decks. Eng. Struct. 2009, 31, 1888–1902. [Google Scholar] [CrossRef]
- Gara, F.; Ranzi, G.; Leoni, G. Short- and long-term analytical solutions for composite beams with partial interaction and shear-lag effects. Int. J. Steel Struct. 2010, 10, 359–372. [Google Scholar] [CrossRef]
- Madenci, E.; Ozkilic, Y.O.; Gemi, L. Buckling and free vibration analyses of pultruded GFRP laminated composites: Experimental, numerical and analytical investigations. Compos. Struct. 2020, 254, 112806. [Google Scholar] [CrossRef]
- Madenci, E.; Ozkilic, Y.O.; Gemi, L. Experimental and theoretical investigation on flexure performance of pultruded GFRP composite beams with damage analyses. Compos. Struct. 2020, 242, 112162. [Google Scholar] [CrossRef]
- Gemi, L.; Madenci, E.; Ozkılıc, Y.O. Experimental, analytical and numerical investigation of pultruded GFRP composite beams infilled with hybrid FRP reinforced concrete. Eng. Struct. 2021, 244, 112790. [Google Scholar] [CrossRef]
- Madenci, E.; Ozkilic, Y.O. Free vibration analysis of open-cell FG porous beams: Analytical, numerical and ANN approaches. Steel Compos. Struct. 2021, 40, 157–173. [Google Scholar]
- The International Federation for Structural Concrete. CEB Design Manual on Structural Effects of Time Dependent Behavior of Concrete; CEB Bulletin D’Information: Saint-Saphorin, Switzerland, 1984. [Google Scholar]
- Bazant, Z.P.; Baweja, S. Creep and shrinkage prediction model for analysis and design of concrete structures: Model B3. In Adam Neville Symposium: Creep and Shrinkage-Structural Design Effects, Proceedings of the Adam Neville Symposium, Atlanta, GA, USA, November 1997; American Concrete Institute: Farmington Hills, MI, USA, 2000; pp. 1–83. [Google Scholar]
- Bazant, Z.P. Prediction of concrete creep effects using age-adjusted effective modulus method. ACI J. 1972, 69, 212–217. [Google Scholar]
- Zhang, H.; Quan, L.W.; Wang, L.; Wu, J.X.; Zhang, Z.C. Analyses on long-term behavior of composite steel–concrete beams with weak interface using a state space approach. Eng. Struct. 2021, 231, 111781. [Google Scholar] [CrossRef]
- Bazant, Z.P. Numerical determination of long-range stress history from strain history in concrete. Mater. Struct. 1972, 5, 135–141. [Google Scholar]
- Bazant, Z.P.; Wu, S.T. Rate-type creep law of aging concrete based on Maxwell chain. Mater. Struct. 1974, 7, 45–60. [Google Scholar]
- Bazant, Z.P.; Asghari, A. Computation of age-dependent relaxation spectra. Cem. Concr. Res. 1974, 4, 567–579. [Google Scholar] [CrossRef]
- Bazant, Z.P.; Kim, S.S. Approximate relaxation function for concrete. J. Struct. Div. ASCE 1979, 105, 2695–2705. [Google Scholar] [CrossRef]
- Bazant, Z.P. Mathematical Modeling of Creep and Shrinkage of Concrete; Wiley: Hoboken, NJ, USA, 1988. [Google Scholar]
- Zhu, L.; Su, R.K.L. Analytical solutions for composite beams with slip, shear-lag and time-dependent effects. Eng. Struct. 2017, 152, 559–578. [Google Scholar] [CrossRef]
- Zhu, L.; Zhao, G.Y.; Su, R.K.L.; Liu, W.; Wang, G.M. Time-dependent creep and shrinkage analysis of curved steel–concrete composite box beams. Mech. Adv. Mater. Struct. 2021. [Google Scholar] [CrossRef]
- Comite Euro-International du Beton-Federation International de la Precontrainte (CEB-FIP). CEB-FIP Model Code 1990: Design Code; Thomas Telford, Ltd.: London, UK, 1993. [Google Scholar]
- Fan, J.S.; Nie, J.G.; Li, Q.; Wang, H. Long-term behavior of composite beams under positive and negative bending. I: Experimental study. J. Struct. Eng. ASCE 2009, 136, 849–857. [Google Scholar] [CrossRef]
- Bradford, M.A.; Gilbert, R.I. Time-dependent behaviour of simply-supported steel–concrete composite beams. Mag. Concr. Res. 1991, 43, 265–274. [Google Scholar] [CrossRef]





















| bc (mm) | bc1 (mm) | tc (mm) | bs (mm) | bs1 (mm) | ts (mm) | bst (mm) | tst (mm) | hs (mm) | tw (mm) |
|---|---|---|---|---|---|---|---|---|---|
| 9000 | 5000 | 300 | 5000 | 5000 | 24 | 600 | 16 | 3000 | 20 |
| Location of Section | Restraint DOFs |
|---|---|
| Both ends of the beam | u, v, ϕ |
| Mid-span | wc, ws, fc, fs |
| bc (mm) | bc1 (mm) | tc (mm) | bs (mm) | bs1 (mm) | ts (mm) | bst (mm) | tst (mm) | hs (mm) | tw (mm) |
|---|---|---|---|---|---|---|---|---|---|
| 6500 | 4000 | 250 | 4000 | 4000 | 24 | 600 | 12 | 2000 | 16 |
Disclaimer/Publisher’s Note: The statements, opinions and data contained in all publications are solely those of the individual author(s) and contributor(s) and not of MDPI and/or the editor(s). MDPI and/or the editor(s) disclaim responsibility for any injury to people or property resulting from any ideas, methods, instructions or products referred to in the content. |
© 2023 by the authors. Licensee MDPI, Basel, Switzerland. This article is an open access article distributed under the terms and conditions of the Creative Commons Attribution (CC BY) license (https://creativecommons.org/licenses/by/4.0/).
Share and Cite
Zhao, G.-Y.; Liu, W.; Su, R.; Zhao, J.-C. A Beam Finite Element Model Considering the Slip, Shear Lag, and Time-Dependent Effects of Steel–Concrete Composite Box Beams. Buildings 2023, 13, 215. https://doi.org/10.3390/buildings13010215
Zhao G-Y, Liu W, Su R, Zhao J-C. A Beam Finite Element Model Considering the Slip, Shear Lag, and Time-Dependent Effects of Steel–Concrete Composite Box Beams. Buildings. 2023; 13(1):215. https://doi.org/10.3390/buildings13010215
Chicago/Turabian StyleZhao, Guan-Yuan, Wei Liu, Rui Su, and Jia-Cheng Zhao. 2023. "A Beam Finite Element Model Considering the Slip, Shear Lag, and Time-Dependent Effects of Steel–Concrete Composite Box Beams" Buildings 13, no. 1: 215. https://doi.org/10.3390/buildings13010215
APA StyleZhao, G.-Y., Liu, W., Su, R., & Zhao, J.-C. (2023). A Beam Finite Element Model Considering the Slip, Shear Lag, and Time-Dependent Effects of Steel–Concrete Composite Box Beams. Buildings, 13(1), 215. https://doi.org/10.3390/buildings13010215

