Sign in to use this feature.

Years

Between: -

Subjects

remove_circle_outline
remove_circle_outline
remove_circle_outline
remove_circle_outline
remove_circle_outline
remove_circle_outline
remove_circle_outline
remove_circle_outline
remove_circle_outline

Journals

Article Types

Countries / Regions

remove_circle_outline
remove_circle_outline
remove_circle_outline
remove_circle_outline
remove_circle_outline

Search Results (385)

Search Parameters:
Keywords = steel–concrete composite beams

Order results
Result details
Results per page
Select all
Export citation of selected articles as:
15 pages, 8416 KB  
Article
Assessment of the Effective Flange Width for Cold-Formed Steel-Timber Composite Beams: A Finite Element Study
by Reza Masoudnia, Zhiyuan Fang, Ashkan Hashemi, Saber Masoudnia and James B. P. Lim
Buildings 2026, 16(2), 245; https://doi.org/10.3390/buildings16020245 - 6 Jan 2026
Viewed by 184
Abstract
This paper proposes the use of cross-laminated timber (CLT) panels in conjunction with back-to-back cold-formed steel (CFS) channel or angle sections in combination with laminated veneer lumber (LVL) beam, for composite CFS-timber beams. Under a hogging and sagging moment, part of the CLT [...] Read more.
This paper proposes the use of cross-laminated timber (CLT) panels in conjunction with back-to-back cold-formed steel (CFS) channel or angle sections in combination with laminated veneer lumber (LVL) beam, for composite CFS-timber beams. Under a hogging and sagging moment, part of the CLT panel will act compositely with CFS-LVL in order to resist compression, while the lower part of CFS-LVL web will be in tension. Whilst shear lag effects have been well-researched for concrete-steel composite beams, there has been little research on this for CLT panels working with CFS-LVL sections. In this paper, the finite element method (FEM) is used to determine the effective flange width (FFW) for CFS-timber beams. In conclusion, the obtained result has shown that the EFW increases with any changes that lead to an increase in the ratio of the transverse layer’s depth to the longitudinal layer’s depth. Moreover, combinations of CFS sections with LVL have significantly resulted in the depth-of-beam decrease. Full article
(This article belongs to the Special Issue Research on Timber and Timber–Concrete Buildings)
Show Figures

Figure 1

22 pages, 9165 KB  
Article
Experimental Study on the Energy Absorption, Ductility, and Stiffness of CFDS Connections for Floating Offshore Structures
by Ji-Hun Park, Min-Su Park and Jung-Woo Lee
Appl. Sci. 2026, 16(1), 196; https://doi.org/10.3390/app16010196 - 24 Dec 2025
Viewed by 199
Abstract
This study experimentally evaluates the structural performance of Concrete-Filled Double-Skin (CFDS) hybrid connections that are intended as key components of large-scale floating offshore wind substructures. The innovative aspect of this work lies in the direct experimental comparison of five representative connection details—Headed Stud [...] Read more.
This study experimentally evaluates the structural performance of Concrete-Filled Double-Skin (CFDS) hybrid connections that are intended as key components of large-scale floating offshore wind substructures. The innovative aspect of this work lies in the direct experimental comparison of five representative connection details—Headed Stud (HS), Perfobond (PB), L-beam-joint (LJ), L-beam-spacing (LS), and Angle (AN)—with respect to multiple performance indices that are critical under harsh offshore environments. First, full-scale CFDS specimens were fabricated with identical global dimensions while varying only the connection details. The hybrid behavior of the CFDS system arises from the complementary actions of the outer steel tube, which primarily resists tensile forces, and the infilled concrete, which provides dominant compressive resistance and confinement. This composite interaction enhances the stiffness, ductility, and energy absorption capacity of the member under flexural demands, which are essential for floating offshore structures operating under complex marine loading. Second, monotonic bending tests were conducted using a 2000 kN actuator under a cantilever-type configuration, and load–displacement responses were recorded at three locations. Third, the stiffness, ductility, and energy absorption capacity (toughness) were quantified from the measured curves to clarify the deformation and failure characteristics of each connection type. The results show that the PB connection achieved the highest maximum load and exhibited stable ductile behavior with plastic energy dominating the total toughness. The LJ connection provided well-balanced stiffness and deformation capacity with low sensitivity to measurement locations, indicating high reliability for design applications. In contrast, the HS and LS connections experienced localized slip and position-dependent stiffness, while the AN connection showed the lowest load-carrying efficiency. Overall, the findings highlight that connection-level detailing has a decisive influence on the global performance of CFDS hybrid members and provide fundamental data for developing design guidelines for floating offshore structures operating under complex marine loading conditions. Full article
(This article belongs to the Section Civil Engineering)
Show Figures

Figure 1

23 pages, 5600 KB  
Article
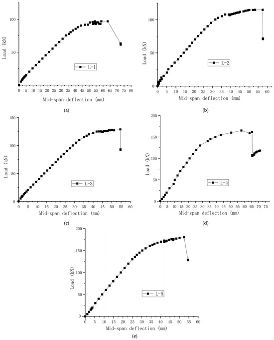
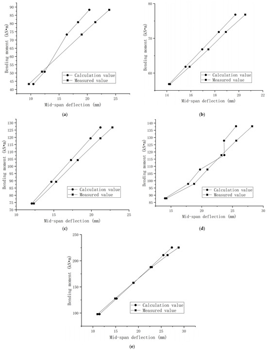
Stiffness and Deformation Limit Performance of PC Beams Reinforced with Steel Sections
by Dan Wu, Siqi Yang, Lu Li, Ruifan Yang, Weiwei Luo and Chun Lv
Buildings 2026, 16(1), 16; https://doi.org/10.3390/buildings16010016 - 19 Dec 2025
Viewed by 259
Abstract
The prestressed steel-reinforced concrete beam (PSRCB) is a new type of composite beam developed by placing and tensioning prestressed tendons within ordinary steel-reinforced concrete beams (SRCBs). This type of beam combines the multiple advantages of steel, concrete, and prestressed reinforced concrete (PC) beams. [...] Read more.
The prestressed steel-reinforced concrete beam (PSRCB) is a new type of composite beam developed by placing and tensioning prestressed tendons within ordinary steel-reinforced concrete beams (SRCBs). This type of beam combines the multiple advantages of steel, concrete, and prestressed reinforced concrete (PC) beams. It has high rigidity, high load-bearing capacity, small deformation, and good seismic performance. Compared to conventional SRCBs, PSRCBs have their own characteristics, and especially research on their stiffness and deformation has not been systematically reported. To investigate the stiffness and deformation resistance of PSRCBs, the design, fabrication, and loading tests of five PSRCBs were carried out, and relevant test data were obtained. By analyzing the test data, the calculation equation for the normal section stiffness of this type of composite beam was proposed. The stiffness of the PSRCB can be taken as the sum of the stiffness of the prestressed concrete beam and that of the built-in steel beam. Meanwhile, the calculation equations for the short-term stiffness of the PSRCB under the standard combination of load effects and the stiffness of the PSRCB considering the long-term influence of loads are obtained. Full article
(This article belongs to the Section Building Structures)
Show Figures

Figure 1

19 pages, 3935 KB  
Article
Deflection Calculation of Fatigue-Damaged RC Beams Under Chloride Exposure
by Jian Yang, Jieqiong Wu, Liu Jin and Xiuli Du
Buildings 2025, 15(23), 4374; https://doi.org/10.3390/buildings15234374 - 2 Dec 2025
Viewed by 245
Abstract
A prediction methodology for the mid-span deflection of fatigue-damaged RC beams subjected to chloride-induced corrosion is proposed, incorporating the coupled effects of fatigue stress levels and localized pitting corrosion in steel reinforcement. The reliability of the methodology is validated through experimental comparisons. The [...] Read more.
A prediction methodology for the mid-span deflection of fatigue-damaged RC beams subjected to chloride-induced corrosion is proposed, incorporating the coupled effects of fatigue stress levels and localized pitting corrosion in steel reinforcement. The reliability of the methodology is validated through experimental comparisons. The effects of fatigue stress are quantified via two mechanisms: degradation of the concrete elastic modulus and the development of fatigue-induced cracks in the steel reinforcement, which reduces its effective cross-sectional area. Pitting corrosion is simplified as equivalent surface cracks. To determine the chloride concentration within the concrete cover for predicting steel pit depth, a 3D meso-scale model is developed to simulate chloride ingress in fatigue-damaged concrete. The concrete is treated as a three-phase composite composed of coarse aggregate, mortar matrix, and the interfacial transition zone (ITZ), and each phase has its own diffusion coefficient. Based on previous chloride concentration tests, the effect of fatigue loading is considered by the accelerated and depth-dependent diffusion coefficients. Based on the meso-scale simulation results, mid-span deflections of fatigue-damaged RC beams under varying chloride exposure durations are predicted. The findings conclusively demonstrate that, under prolonged chloride erosion, the mechanical stress state remains the predominant factor governing structural deformation, overshadowing time-dependent corrosion effects. Full article
(This article belongs to the Section Building Structures)
Show Figures

Figure 1

36 pages, 10903 KB  
Article
Experimental Investigation on the Bending Performance of Steel–Concrete Composite Beams After Creep
by Faxing Ding, Yang Dai, Xiaolei He, Fei Lyu and Linli Duan
Materials 2025, 18(23), 5332; https://doi.org/10.3390/ma18235332 - 26 Nov 2025
Viewed by 498
Abstract
The long-term flexural performance of steel-concrete composite beams after creep is influenced by multiple factors such as the degree of shear connection, cross-sectional form, and boundary conditions. The engineering community has an ambiguous understanding of the coupling effects of these factors. To address [...] Read more.
The long-term flexural performance of steel-concrete composite beams after creep is influenced by multiple factors such as the degree of shear connection, cross-sectional form, and boundary conditions. The engineering community has an ambiguous understanding of the coupling effects of these factors. To address this issue, this paper conducts systematic experimental research: six simply supported beams (three box-shaped, three I-shaped) and four continuous beams (two box-shaped, two I-shaped) were designed with three degrees of shear connection (0.57, 1.08, 1.53). These beams first underwent simulated creep tests (24 °C, 80% relative humidity, 10 kN load, 180 days), followed by monotonic bending tests. The results indicate: (1) A high degree of shear connection (1.53) reduces creep deflection by 15–20% compared to partial connection (0.57) and delays the initiation of interface slip to 30% of the ultimate load; (2) Box sections exhibit 10–15% lower creep deflection than I-sections, though both experience 40–60% stiffness reduction after creep; (3) Continuous beams show a 25% improvement in crack resistance in the negative moment region and a 50% increase in flexural capacity at mid-span compared to simply supported beams; (4) After creep, the elastic modulus of concrete decreases by 40–60% (inversely related to the degree of shear connection), with fully connected specimens retaining 55–61% of their strength, while partially connected specimens retain only 43–49%. This study quantifies the degradation patterns of concrete performance, clarifies the influence mechanisms of key structural factors, and provides theoretical and experimental support for the long-term performance design of composite beams. Shear connection design is crucial for mitigating creep effects. Full article
(This article belongs to the Section Construction and Building Materials)
Show Figures

Figure 1

20 pages, 3051 KB  
Article
Flexural Behavior of Steel-FRP Composite Bars (SFCB)-Reinforced Concrete Beams: FEA Incorporating Bond-Slip Effects
by Chaohao Bi, Shuo Xu, Yu Ling, Yicong Zhong, Linbo Hong and Yongjian Cai
Materials 2025, 18(22), 5226; https://doi.org/10.3390/ma18225226 - 18 Nov 2025
Viewed by 438
Abstract
To overcome the corrosion issues of conventional steel reinforcement and the brittleness of fiber-reinforced polymer (FRP) materials, steel-FRP composite bars (SFCBs) offer an innovative solution by combining the ductility of steel with the high strength and corrosion resistance of FRP. However, existing research [...] Read more.
To overcome the corrosion issues of conventional steel reinforcement and the brittleness of fiber-reinforced polymer (FRP) materials, steel-FRP composite bars (SFCBs) offer an innovative solution by combining the ductility of steel with the high strength and corrosion resistance of FRP. However, existing research primarily focuses on experimental investigations, with insufficient numerical simulations of SFCB-reinforced concrete beams, particularly regarding bond-slip effects at the SFCB-concrete interface—a critical mechanism governing composite action and structural performance. This study develops a finite element (FE) model incorporating SFCB-concrete bond-slip effects to analyze the influence of outer FRP layer thickness (0, 3, 5, and 7 mm) on the flexural performance of concrete beams. The FE model demonstrates good predictive accuracy, with errors in ultimate capacity and mid-span displacement within 7% and 8%, respectively. Both cracking and yield loads increase with FRP thickness, while the ultimate load peaks at 5 mm. At 7 mm, concrete crushing occurs before the SFCB reaches its ultimate strength. The ductility index decreases with greater FRP thickness due to increased elastic energy without enhanced plastic energy (fixed steel core area), thereby reducing overall ductility. These findings provide a theoretical basis for optimizing SFCB-reinforced concrete structural design. Full article
(This article belongs to the Special Issue Towards Sustainable Low-Carbon Concrete—Second Edition)
Show Figures

Figure 1

19 pages, 4577 KB  
Article
Performance of HSC Continuous Deep Beams with Asymmetric Circular Openings: Hybrid FRP Versus Steel Plate Strengthening
by Mohammed Al-Mahbashi, Hussein Elsanadedy, Aref Abadel, Husain Abbas, Tarek Almusallam and Yousef Al-Salloum
Polymers 2025, 17(22), 3049; https://doi.org/10.3390/polym17223049 - 18 Nov 2025
Cited by 1 | Viewed by 594
Abstract
In recent years, the demand for high-strength concrete (HSC) for buildings has been steadily increasing. Continuous HSC deep beams are frequently employed in various structural applications, including high-rise buildings, bridges, and parking garages, due to their superior load capacity. Some cases require the [...] Read more.
In recent years, the demand for high-strength concrete (HSC) for buildings has been steadily increasing. Continuous HSC deep beams are frequently employed in various structural applications, including high-rise buildings, bridges, and parking garages, due to their superior load capacity. Some cases require the addition of openings after the construction for passing utilities such as drainage and electricity. This study experimentally examines four two-span HSC deep beams: one control solid beam, one beam with circular openings, and two beams that utilized different strengthening schemes. The openings were asymmetrical circular openings, with one positioned in each span. This study sought to regain the full capacity of beams with openings by employing two types of strengthening schemes. The first one used bolted steel plates, while the second was a hybrid scheme that combined bolted steel plates with externally bonded fiber-reinforced polymer (FRP) sheets. Test findings demonstrated that both methods effectively restored the load capacity of the strengthened beams. The strengthened beam with steel plates achieved a load capacity of 125% compared to the solid beam. Likewise, the beam retrofitted with hybrid steel/FRP composites reached 117%. Additionally, the energy dissipation and ductility index of the strengthened beam with steel plates were 32% and 77%, respectively, compared to the strengthened beam with hybrid steel/FRP composites. The findings emphasize the effectiveness of the applied retrofitting techniques in restoring the lost capacity due to the cutting of post-construction openings in deep beams. Full article
Show Figures

Figure 1

23 pages, 4593 KB  
Article
Finite Element and Parametric Study on the Shear Capacity of FRP and Stainless-Steel Bolted Connectors in GFRP–Concrete Composite Beams
by Abdalla Zidan, Hesham Fawzy Shaaban and Ayman El-Zohairy
J. Compos. Sci. 2025, 9(11), 622; https://doi.org/10.3390/jcs9110622 - 10 Nov 2025
Viewed by 1131
Abstract
Fiber-reinforced polymer (FRP) composites, particularly glass fiber-reinforced polymer (GFRP), are increasingly utilized in civil engineering due to their high strength-to-weight ratio, corrosion resistance, and environmental sustainability compared to steel. Shear connectors in FRP–concrete hybrid beams are critical for effective load transfer, yet their [...] Read more.
Fiber-reinforced polymer (FRP) composites, particularly glass fiber-reinforced polymer (GFRP), are increasingly utilized in civil engineering due to their high strength-to-weight ratio, corrosion resistance, and environmental sustainability compared to steel. Shear connectors in FRP–concrete hybrid beams are critical for effective load transfer, yet their behavior under static loads remains underexplored. This study aims to investigate the shear strength, stiffness, and failure modes of GFRP, CFRP, AFRP, and stainless-steel shear connectors in FRP–concrete hybrid beams through a comprehensive parametric analysis, addressing gaps in material optimization, bolt configuration, and design guidelines. A validated finite element model in Abaqus was employed to simulate push-out tests based on experimental data. The parameters analyzed included shear connector material (GFRP, CFRP, AFRP, and stainless steel), bolt diameter (16–30 mm), number of bolts (1–6), longitudinal spacing (60–120 mm), embedment length (40–70 mm), and concrete compressive strength (30–70 MPa). Shear load–slip (P-S) curves, ultimate shear load (P), secant stiffness (K1), and failure modes were evaluated. CFRP bolts exhibited the highest shear capacity, 26.50% greater than stainless steel, with failure dominated by flange bearing, like AFRP and stainless steel, while GFRP bolts failed by shear failure of bolt shanks. Shear capacity increased by 90.60%, with bolt diameter from 16 mm to 30 mm, shifting failure from bolt shank to concrete splitting. Multi-bolt configurations reduced per-bolt shear capacity by up to 15.00% due to uneven load distribution. Larger bolt spacing improved per-bolt shear capacity by 9.48% from 60 mm (3d) to 120 mm (6d). However, in beams, larger spacing reduced the total number of bolts, decreasing overall shear resistance and the degree of shear connection. Higher embedment lengths (he/d ≥ 3.0) mitigated pry-out failure, with shear capacity increasing by 33.59% from 40 mm to 70 mm embedment. Increasing concrete strength from 30 MPa to 70 MPa enhanced shear capacity by 22.07%, shifting the failure mode from concrete splitting to bolt shank shear. The study highlights the critical influence of bolt material, diameter, number, spacing, embedment length, and concrete strength on shear behavior. These findings support the development of FRP-specific design models, enhancing the reliability and sustainability of FRP–concrete hybrid systems. Full article
(This article belongs to the Special Issue Polymer Composites and Fibers, 3rd Edition)
Show Figures

Figure 1

29 pages, 11152 KB  
Article
Experimental and Regression Modeling of Short-Term Flexural Behavior of Steel- and GFRP-Reinforced Early-Age Concrete Beams
by Muhammet Karabulut
Buildings 2025, 15(22), 4049; https://doi.org/10.3390/buildings15224049 - 10 Nov 2025
Cited by 1 | Viewed by 412
Abstract
To address the problem of corrosion, glass fiber-reinforced polymer (GFRP) bars have been introduced as a viable alternative to conventional steel reinforcement in concrete structures. While extensive research has been conducted on the flexural behavior of RC beams reinforced with steel and GFRP [...] Read more.
To address the problem of corrosion, glass fiber-reinforced polymer (GFRP) bars have been introduced as a viable alternative to conventional steel reinforcement in concrete structures. While extensive research has been conducted on the flexural behavior of RC beams reinforced with steel and GFRP bars over both normal-term and long-term periods, studies focusing on fresh concrete beams are almost non-existent. Consequently, this research investigates the impact of steel and GFRP longitudinal reinforcement, as well as the influence of varying concrete compressive strengths, on the flexural behavior of RC beams. The study employs 3-point bending experiments and machine learning (ML) predictive analyses. Specifically, the short-term (fresh) concrete reinforcement compatibility and the effects of steel and GFRP bar reinforcements on beam flexural behavior were examined across three concrete compressive strength categories: low (C25), moderate (C35), and high (C50). A notable contribution of this research is the application of different ML regression models, utilizing Python’s library, for deflection prediction of RC beams. The failure mechanisms of the beams under static loading conditions were analyzed, revealing that composite bar RC beams failed through flexural cracking and demonstrated ductile behavior, whereas steel bar RC beams exhibited brittle failure characterized by shear cracks and sudden failure modes. The ML regression models successfully predicted the deflection values of RC beams under ultimate loads, achieving an average accuracy of 91.3%, which was deemed highly satisfactory. Among the 18 beams tested, the highest ultimate load was obtained for the SC50-1 beam at 87.46 kN. In contrast, while the steel-reinforced beams exhibited higher load-bearing capacities, it was observed that the GFRP-reinforced beams showed greater deflection and ductility, particularly in beams with low and medium concrete strengths. Based on these findings, it is recommended that the Gradient Boosting Regressor, an AI regression model, be utilized to guide researchers in evaluating the load-carrying and bending capacity of structural beam elements. Full article
(This article belongs to the Section Building Structures)
Show Figures

Figure 1

26 pages, 4253 KB  
Article
Enhancing Shear Performance of Concrete Beams Using Layered Rubberized and Steel Fiber-Reinforced Composites
by Abdulaziz S. Alsaif and Abdulrahman S. Albidah
Materials 2025, 18(22), 5076; https://doi.org/10.3390/ma18225076 - 7 Nov 2025
Viewed by 495
Abstract
Recycling rubber and steel fibers from end-of-life tires for use in structural concrete presents a sustainable pathway to improve resource efficiency and reduce environmental impact. This study assesses the shear performance of reinforced concrete beams in which shredded tire rubber substitutes 20 vol.% [...] Read more.
Recycling rubber and steel fibers from end-of-life tires for use in structural concrete presents a sustainable pathway to improve resource efficiency and reduce environmental impact. This study assesses the shear performance of reinforced concrete beams in which shredded tire rubber substitutes 20 vol.% of both fine and coarse natural aggregates. The effect of including recycled tire steel fibers (RSF) and industrial steel fibers (ISF), each at a dosage of 20 kg/m3, is also examined. The experimental program involved testing twenty-four cylindrical specimens and seven reinforced concrete beams to evaluate the mechanical and structural behavior of the proposed mixtures. A novel layered concrete configuration is also evaluated, in which rubberized (RU) concrete or steel fiber reinforced rubberized (RUSF) concrete is placed in the tensile zone, and plain (P) concrete is placed in the compressive zone. The results indicate that rubber incorporation alone reduces shear strength by 30.9% compared to P concrete. However, the inclusion of steel fibers not only compensates for this reduction but significantly improves strength and ductility. Beams fully cast with RUSF concrete exhibit a 31.9% increase in shear strength compared to P concrete. In contrast, layered beams with RUSF concrete in the bottom and P concrete in the top show a comparable performance. These findings highlight the potential of integrating steel fiber reinforced rubberized concrete and functional layering to enable the use of substantial quantities of recycled tire materials without compromising structural performance, offering a promising solution for eco-efficient construction. Full article
(This article belongs to the Section Construction and Building Materials)
Show Figures

Figure 1

26 pages, 2380 KB  
Review
Strengthening Techniques for Steel–Concrete Composite Beams: A Comprehensive Review
by Yassar Yusuf, Ahmed Elbelbisi, Lamies Elgholmy, Mohamed Elsawi Mahmoud, Ahmed Elkilani and Alaa Elsisi
Eng 2025, 6(11), 307; https://doi.org/10.3390/eng6110307 - 4 Nov 2025
Viewed by 1474
Abstract
Composite steel–concrete beams have gained significant attention in modern construction due to their superior structural efficiency, economic viability, and adaptability to diverse applications. This paper presents a comprehensive review of research developments related to both conventional and post-tensioned composite beam systems. Emphasis is [...] Read more.
Composite steel–concrete beams have gained significant attention in modern construction due to their superior structural efficiency, economic viability, and adaptability to diverse applications. This paper presents a comprehensive review of research developments related to both conventional and post-tensioned composite beam systems. Emphasis is placed on the structural behavior, design considerations, and performance improvements achieved through external post-tensioning using high-strength tendons. Such systems enhance ultimate load capacity, extend the elastic range before yielding, and reduce the required amount of structural steel, thereby improving material efficiency and reducing construction costs. The review also examines the influence of tendon application timing, connection type, and load conditions in both positive and negative bending regions. By synthesizing experimental and analytical findings, this study identifies key advantages, limitations, and research needs in optimizing the design and performance of steel–concrete composite beams. The insights presented herein aim to guide engineers, researchers, and practitioners in advancing the application of composite beam strengthening techniques in modern infrastructure. Full article
Show Figures

Figure 1

25 pages, 7885 KB  
Article
Failure Mechanism and Load Carrying Capacity of Hybrid High-Strength Steel Composite Cellular Beams Under Low Cyclic Loading
by Jiangran Guo, Siyu Huo, He Zhao and Tengfei Li
Buildings 2025, 15(21), 3954; https://doi.org/10.3390/buildings15213954 - 2 Nov 2025
Viewed by 342
Abstract
This study reveals the Vierendeel mechanism of hybrid high-strength steel composite cellular beams (HHS-CCBs) through experimental investigation and finite element analysis (FEA). The forces acting on the openings of composite cellular beams (CCBs) are further analyzed. A calculation method is developed to evaluate [...] Read more.
This study reveals the Vierendeel mechanism of hybrid high-strength steel composite cellular beams (HHS-CCBs) through experimental investigation and finite element analysis (FEA). The forces acting on the openings of composite cellular beams (CCBs) are further analyzed. A calculation method is developed to evaluate the load-carrying capacity of HHS-CCBs under the combined action of bending moment and shear force, which takes into account the shear contributions of the concrete slab and beam flange at circular openings. The accuracy of the proposed formula and the influence of key parameters on load-carrying capacity are thoroughly examined through FEA. The results indicate that within the range of D = 0.6hs − 0.7hs and L = 0.7hs − 1.0hs (D and L represent the hole diameter and edge distance, respectively; hs is the height of the steel beam), stress concentration at the beam-end welds could be avoided, the formation of Vierendeel mechanism at the beam-end opening could be ensured, and excessive reduction in load-carrying capacity could be prevented. Furthermore, the high-strength steel (HSS) flange strength and location had a minimal effect on the failure mode of HHS-CCBs. As the flange strength increased, full plasticity was not achieved in the cross-section, and the load-carrying capacity increased nonlinearly. Asymmetric specimens with HSS in the lower flange only and symmetric specimens with HSS in both the upper and lower flanges exhibited comparable load-carrying capacities. The load-carrying capacity calculation formula is applicable to HHS-CCBs with different section types, provided that circular holes are present in the beam web and Vierendeel mechanism damage occurs. However, the flange width–thickness ratio must not significantly exceed the specified limit. Full article
(This article belongs to the Special Issue High-Performance Steel–Concrete Composite/Hybrid Structures)
Show Figures

Figure 1

15 pages, 3391 KB  
Article
Influence of Timber-to-Concrete Connection Types on the Behaviour of Timber–Concrete Composite Structures
by Dmitrijs Serdjuks, Agris Rogainis, Elza Briuka, Janis Sliseris, Leonids Pakrastins and Vjaceslavs Lapkovskis
J. Compos. Sci. 2025, 9(11), 593; https://doi.org/10.3390/jcs9110593 - 2 Nov 2025
Viewed by 1030
Abstract
The current study investigates the influence of timber-to-concrete connection types on the behaviour of timber–concrete composite (TCC) structures employing metal web timber joists. Two groups of laboratory specimens were prepared, each comprising four samples with push-joisted beams joined by oriented strand board (OSB) [...] Read more.
The current study investigates the influence of timber-to-concrete connection types on the behaviour of timber–concrete composite (TCC) structures employing metal web timber joists. Two groups of laboratory specimens were prepared, each comprising four samples with push-joisted beams joined by oriented strand board (OSB) and cast with a concrete layer. One group utilised compliant timber-to-concrete connections via perforated steel tape angles, while the other employed rigid connections through epoxy adhesive and granite chips. The specimens, consisting of two 1390 mm long beams of grade PS10 timber, were tested under three-point bending. Experimental results and finite element analyses demonstrated that specimens with compliant connections exhibited 14–16% greater maximum vertical displacements but only a marginal 1.79% reduction in load-carrying capacity compared to those with rigid connections. Findings indicate that connection compliance markedly affects stiffness and deflection but has a minor impact on ultimate strength. These insights can guide optimisation of TCC members with metal web joists, balancing structural performance and design requirements in sustainable timber construction. Full article
(This article belongs to the Special Issue Functional Composites: Fabrication, Properties and Applications)
Show Figures

Figure 1

73 pages, 13990 KB  
Review
Computational and Experimental Insights into Blast Response and Failure Mechanisms of Square, Rectangular and Circular Reinforced Concrete Columns: A State-of-the-Art Review
by S. M. Anas, Rayeh Nasr Al-Dala’ien, Mohammed Benzerara and Mohammed Jalal Al-Ezzi
Buildings 2025, 15(21), 3928; https://doi.org/10.3390/buildings15213928 - 30 Oct 2025
Viewed by 1991
Abstract
Blast damage to structural members poses serious risks to both buildings and people, making it important to understand how these elements behave under extreme loads. Columns in reinforced concrete (RC) structures are especially critical, as their sudden failure can trigger progressive collapse, unlike [...] Read more.
Blast damage to structural members poses serious risks to both buildings and people, making it important to understand how these elements behave under extreme loads. Columns in reinforced concrete (RC) structures are especially critical, as their sudden failure can trigger progressive collapse, unlike beams or slabs that have more redundancy. This state-of-the-art review brings together the current knowledge of the blast response of RC columns, focusing on their failure patterns, dynamic behavior, and key loading mechanisms. The studies covered include experiments, high-fidelity numerical simulations, emerging machine learning approaches, and analytical models for columns of different shapes (square, rectangular, circular) and strengthening methods, such as fiber reinforcement, steel-concrete composite confinement, and advanced retrofitting. Composite columns are also reviewed to compare their hybrid confinement and energy-absorption advantages over conventional RC members. Over forty specific studies on RC columns were analyzed, comparing the results based on geometry, reinforcement detailing, materials, and blast conditions. Both near-field and contact detonations were examined, along with factors like axial load, standoff distance, and confinement. This review shows that RC columns respond very differently to blasts depending on their shape and reinforcement. Square, rectangular, and circular sections fail in distinct ways. Use of ultra-high-performance concrete, steel fibers, steel-concrete composite, and fiber-reinforced polymer retrofits greatly improves peak and residual load capacity. Ultra-high-performance concrete can retain a significantly higher fraction of axial load (often >70%) after strong blasts, compared to ~40% in conventional high-strength RC under similar conditions. Larger sections, closer stirrups, higher transverse reinforcement, and good confinement reduce spalling, shear failure, and mid-height displacement. Fiber-reinforced polymer and steel-fiber wraps typically improve residual strength by 10–15%, while composite columns with steel cores remain stiff and absorb more energy post-blast. Advanced finite element simulations and machine learning models now predict displacements, damage, and residual capacity more accurately than older methods. However, gaps remain. Current design codes of practice simplify blast loads and often do not account for localized damage, near-field effects, complex boundary conditions, or pre-existing structural weaknesses. Further research is needed on cost-effective, durable, and practical retrofitting strategies using advanced materials. This review stands apart from conventional literature reviews by combining experimental results, numerical analysis, and data-driven insights. It offers a clear, quantitative, and comparative view of RC column behavior under blast loading, identifies key knowledge gaps, and points the way for future design improvements. Full article
(This article belongs to the Section Building Structures)
Show Figures

Figure 1

31 pages, 7347 KB  
Article
An Assessment of the Behaviour of Ceiling Beams of Different Structure
by Katarzyna Ciesielczyk, Robert Studziński, Marcin Chybiński, Jacek Ścigałło, Wojciech Szymkuć, Jakub Krzysztof Grabski, Tomasz Marciniak and Łukasz Polus
Appl. Sci. 2025, 15(21), 11543; https://doi.org/10.3390/app152111543 - 29 Oct 2025
Viewed by 390
Abstract
The article focuses on floor composite beams used in buildings. Within the scope of the conducted analytical and numerical studies, the authors compared the typical solution—namely, the T-shaped reinforced concrete beam—with various types of composite beams, the height of which could not exceed [...] Read more.
The article focuses on floor composite beams used in buildings. Within the scope of the conducted analytical and numerical studies, the authors compared the typical solution—namely, the T-shaped reinforced concrete beam—with various types of composite beams, the height of which could not exceed the predetermined usable depth of the beam cross-section. The analyses focused on traditional steel–concrete composite beams, which are widely used in civil engineering, as well as modern solutions, such as timber–timber and steel–timber composite beams. A new type of a steel–timber composite beam with a cold-formed girder made of two channels was presented in this study. Due to the flexibility of the connections, the timber–timber and steel–timber composite beams were examined under three different connection conditions: full composite action, partial composite action, and no composite action (friction only). Composite beams with timber slabs are consistent with the principles of sustainable construction, which makes their comparison with conventional solutions particularly relevant. The load-deflection curves and the bending resistance of the analysed elements were obtained using numerical simulations. In the numerical analyses, advanced material models were used. Composite beams with timber elements had lower stiffness than the steel–concrete composite beam. For this reason, meeting the serviceability limit state can be more challenging for such structures. Furthermore, the degree of shear connection in the composite beams with timber elements had a strong impact on their load-bearing capacity and end-slip. The steel–timber composite beam with a cold-formed girder had the most favourable resistance-to-mass ratio. The analytical results, and especially the numerical findings, provide a foundation for future experimental investigations. Full article
(This article belongs to the Special Issue Novel Timber Structures and Materials in Building Engineering)
Show Figures

Figure 1

Back to TopTop