Performance Evaluation of Reinforced Concrete Columns under Simultaneously Combined Fire and Cyclic Loads
Abstract
:1. Introduction
2. Description of Models and Verification of Numerical Method
2.1. Description of Column


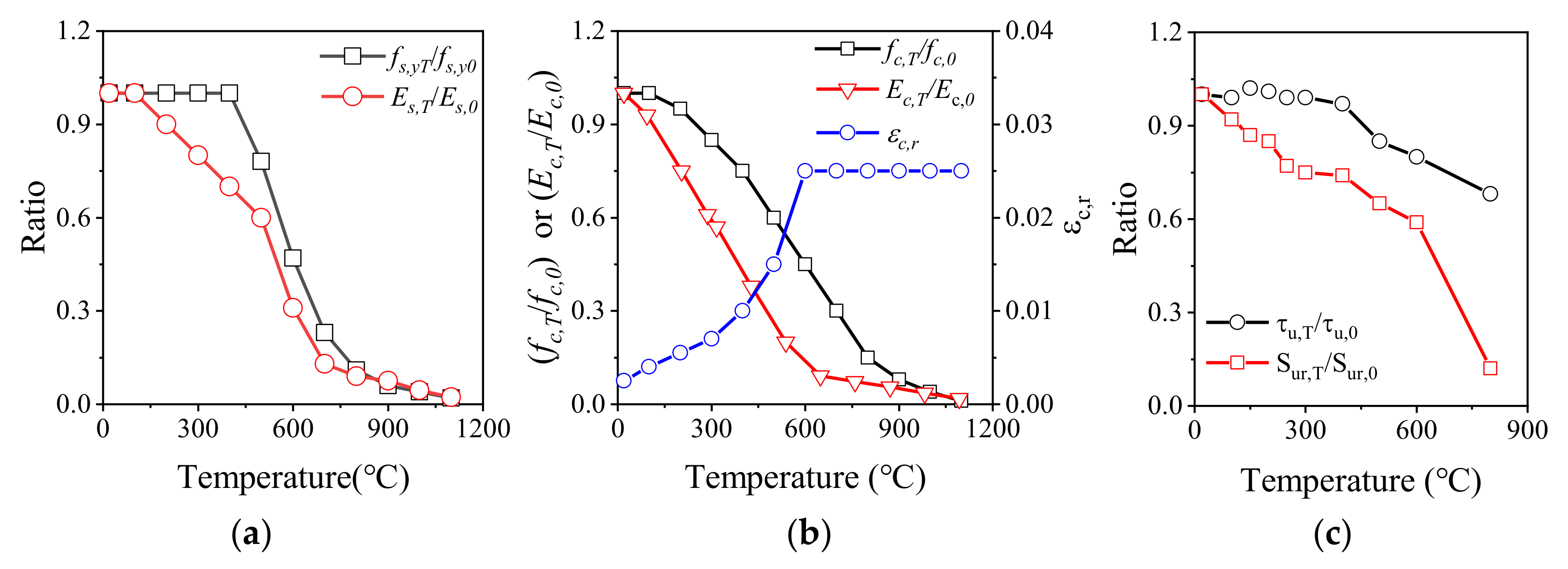
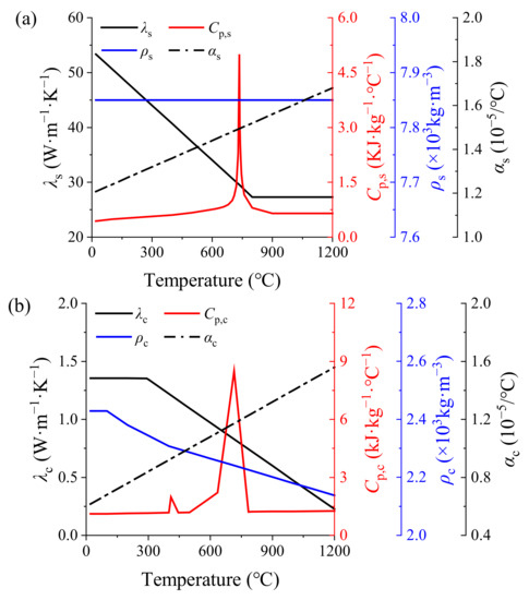
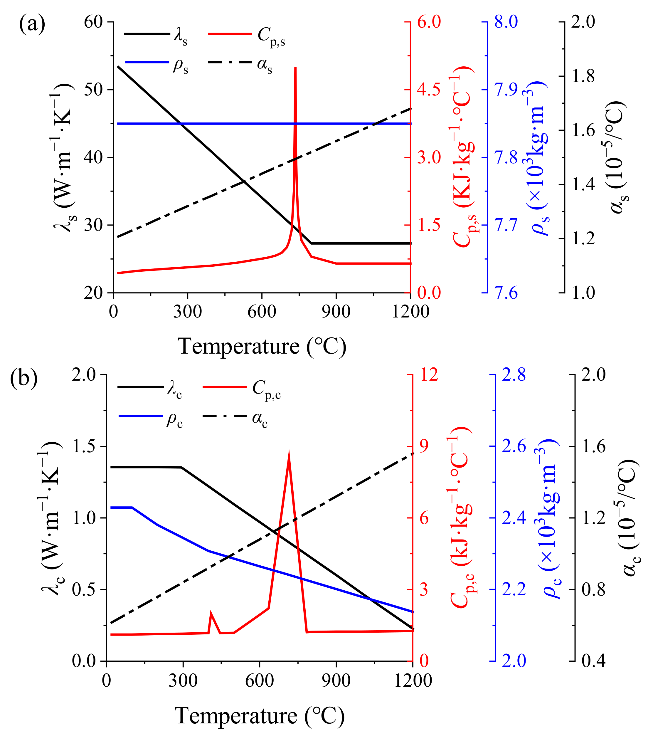
2.2. Thermophysical Parameters

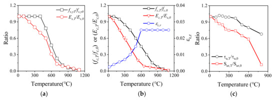
2.3. Constitutive Model and Mechanical Parameters
| Feature Point | Crack Point (cr) | Peak Point (u) | Residual Point (r) |
|---|---|---|---|
| Bond stress (N/mm2) | |||
| Slip (mm) |


2.4. Equation and Calculation Parameter of Heat Transfer
2.5. Verification of Models

3. Performance Evaluation of RC Column Subject to Various Cyclic Loads and Fire
3.1. Working Condition
3.2. Axial Deformation






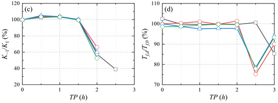
3.3. Stiffness
3.4. Fire Resistance Time and Damage




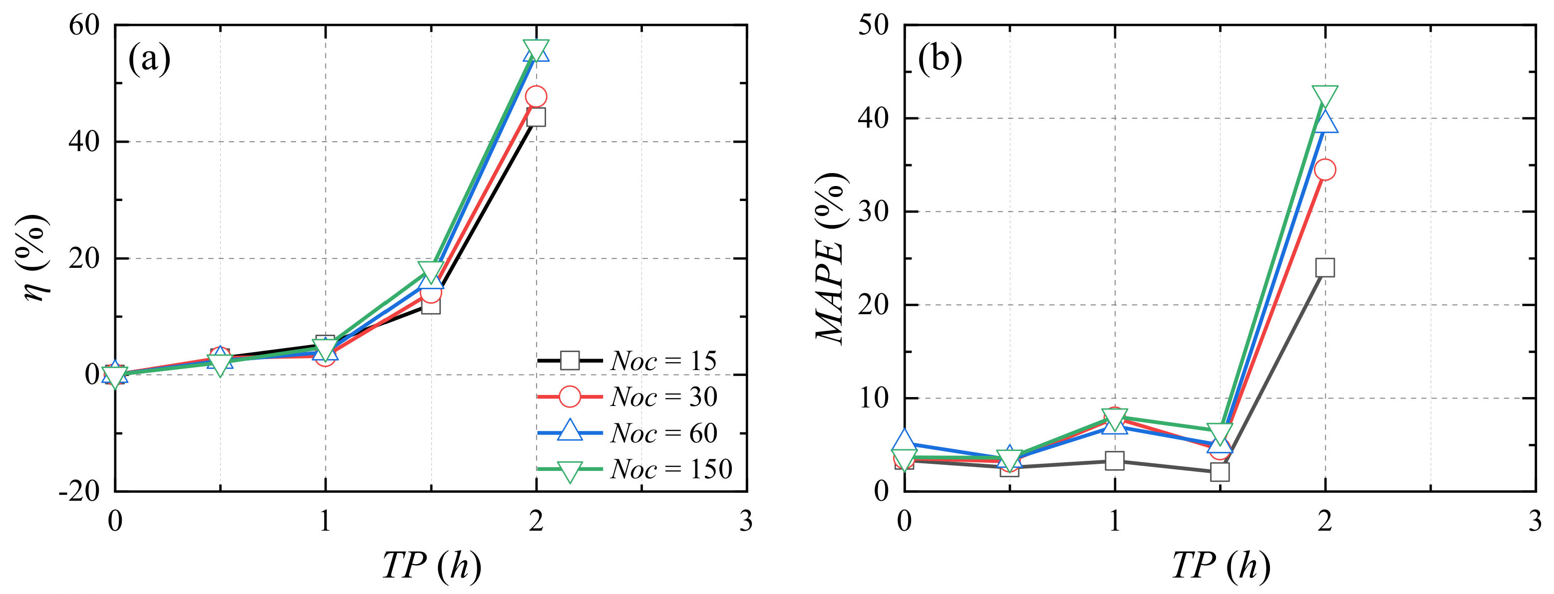
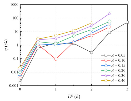
3.5. Response Analysis of RC Column under Cyclic Load with Different Cycle Times during Fire Exposure
4. Multi-Performance Comparison of Various RC Columns Subject to Coupling Effect of Cyclic Loads and Fire
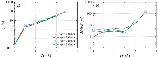
4.1. Section Size
4.2. Cover Thickness
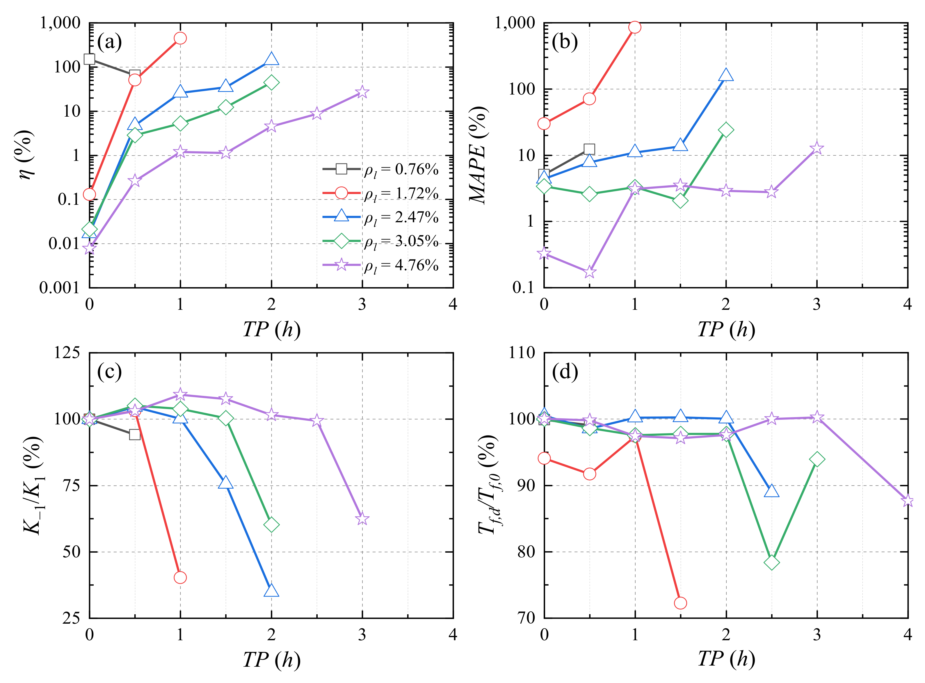
4.3. Longitudinal Reinforcement Ratio
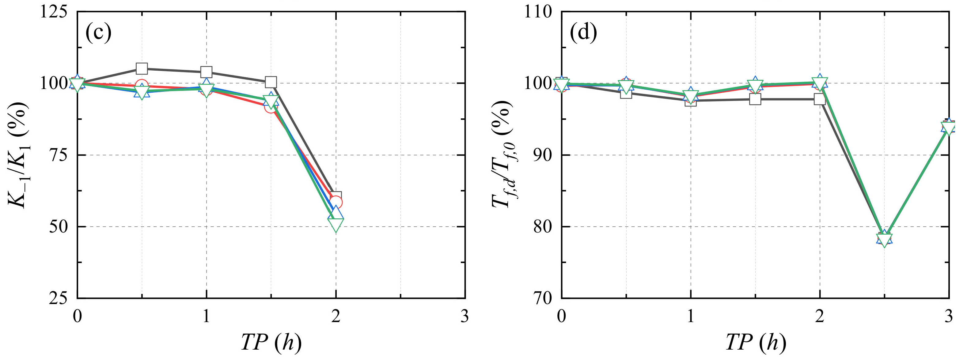
4.4. Tie Spacing

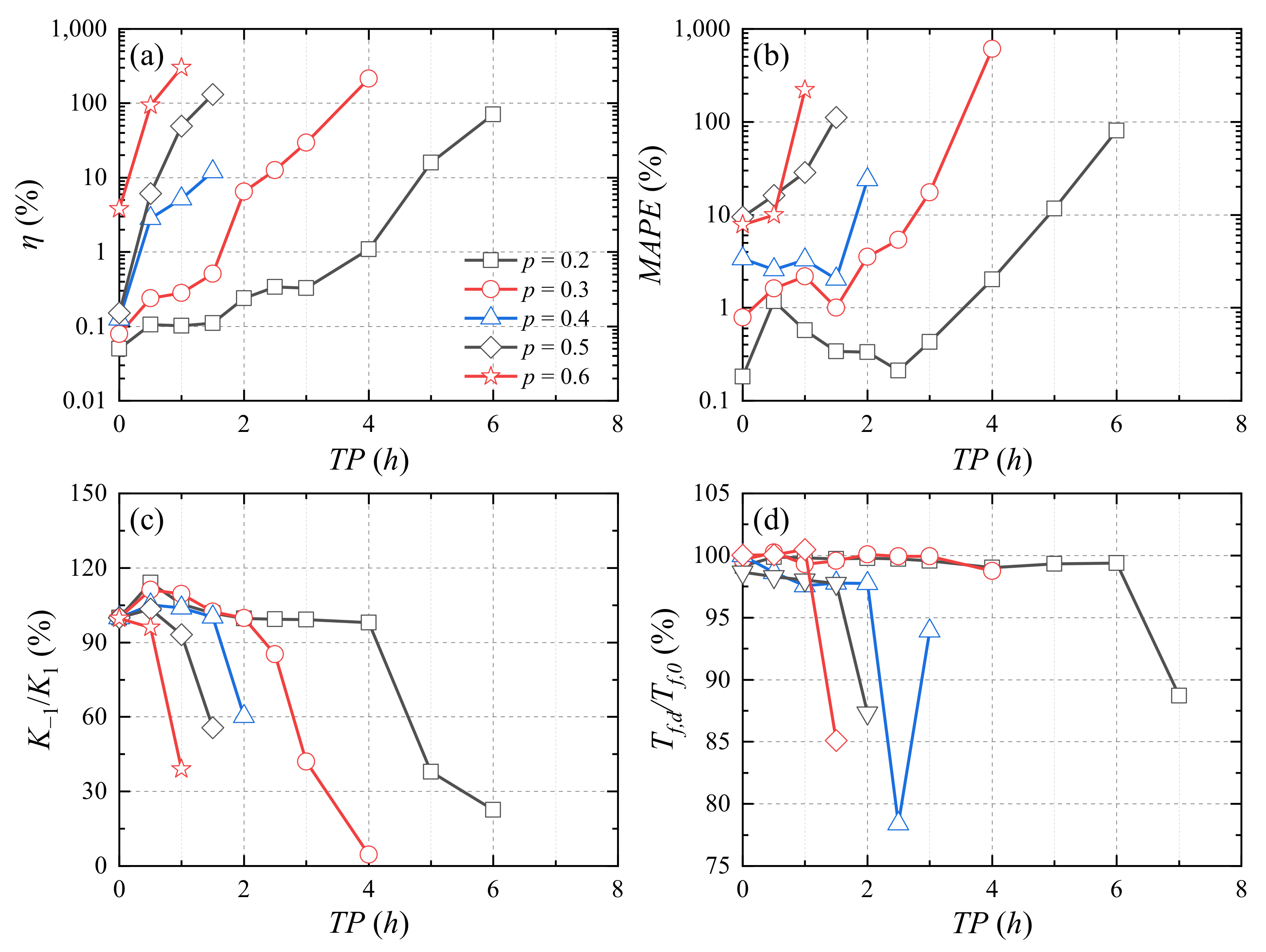
4.5. Axial Load Ratio


4.6. Stage Division of RC Columns under Fire and Cyclic Loads


5. Conclusions
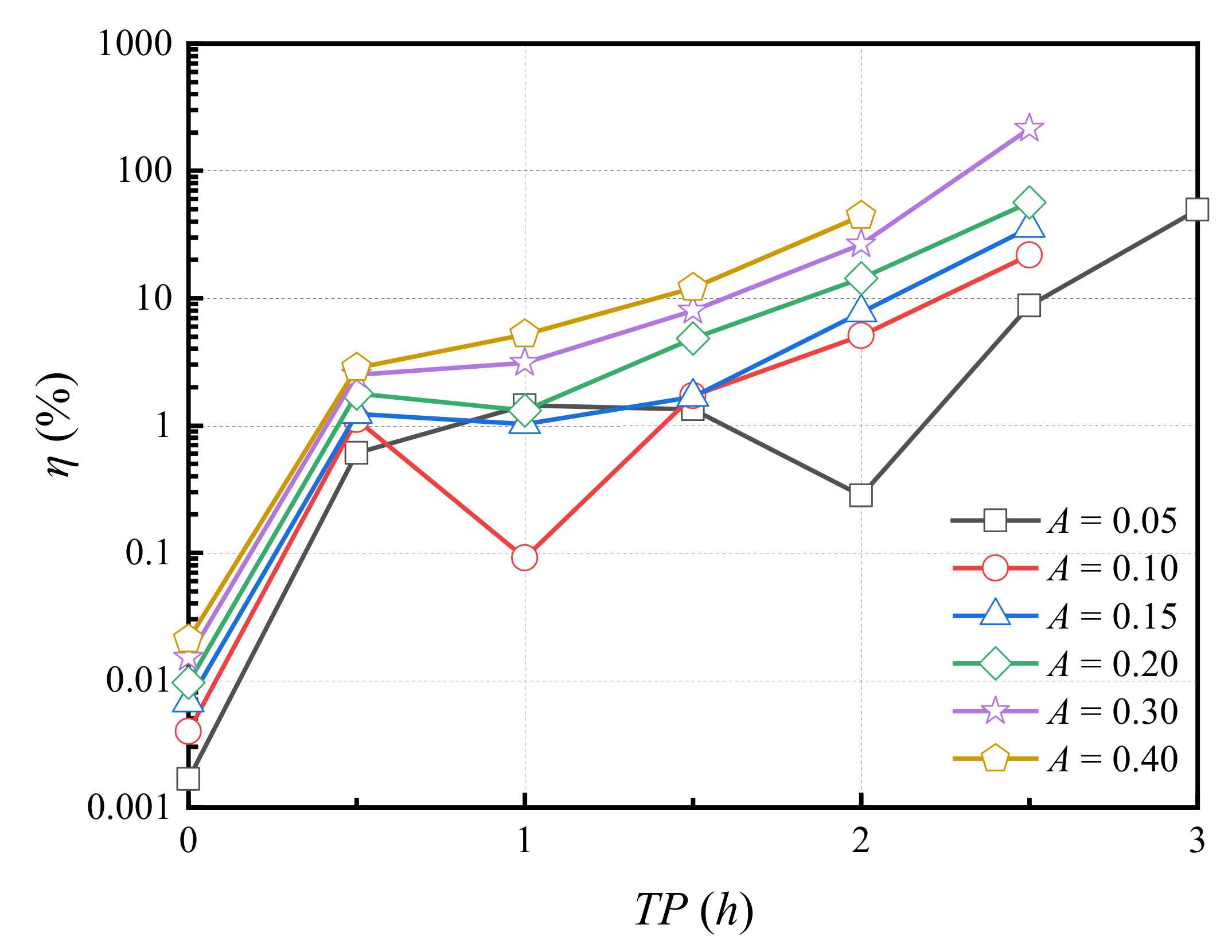
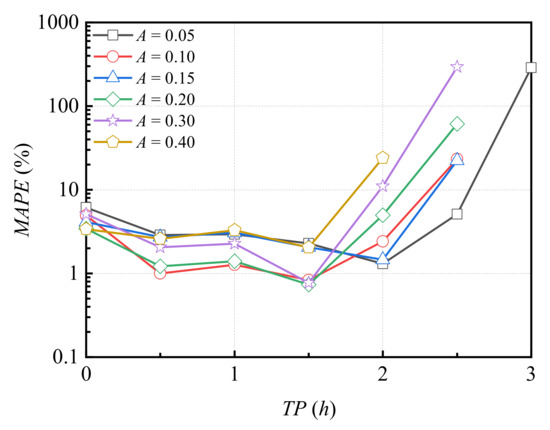
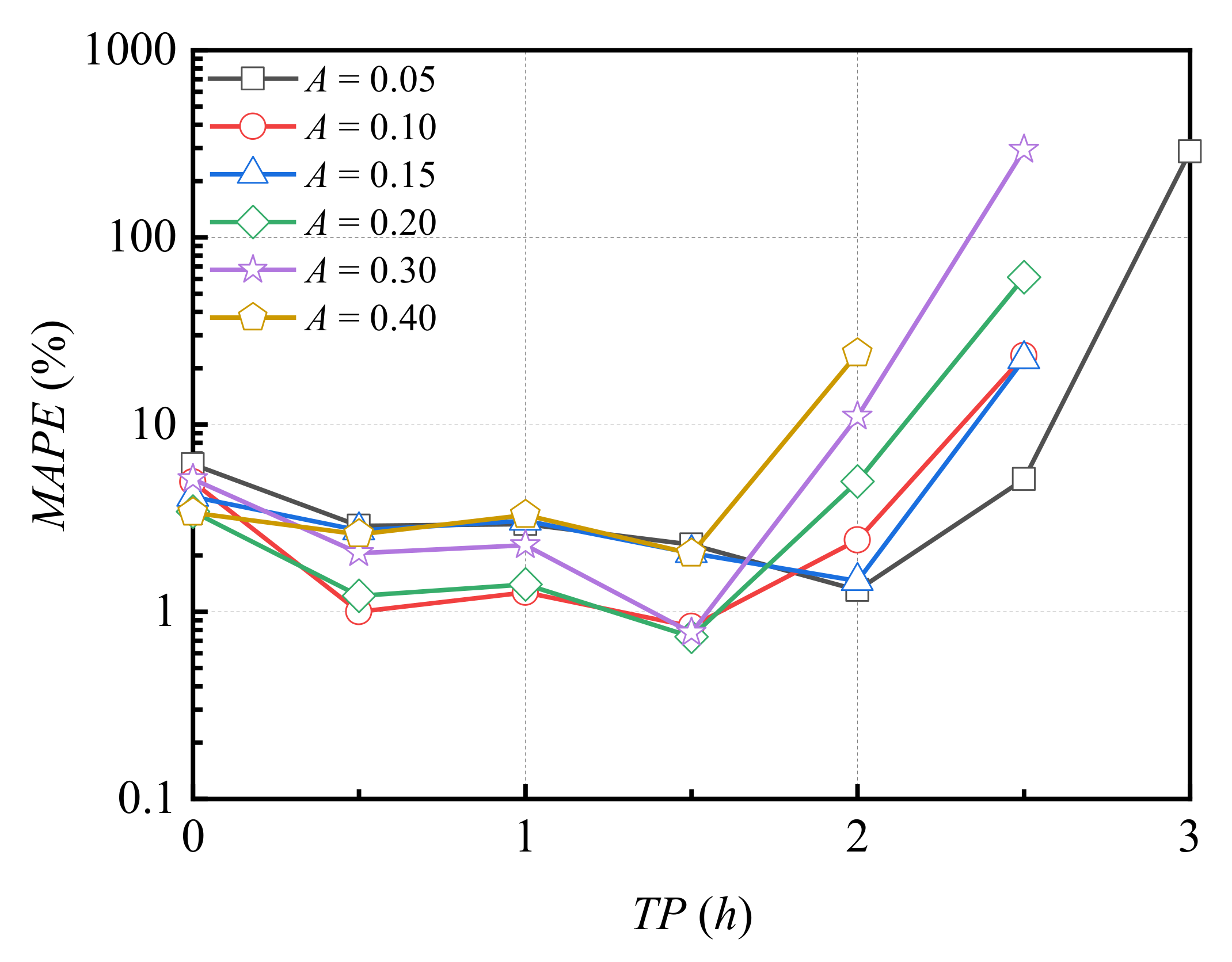
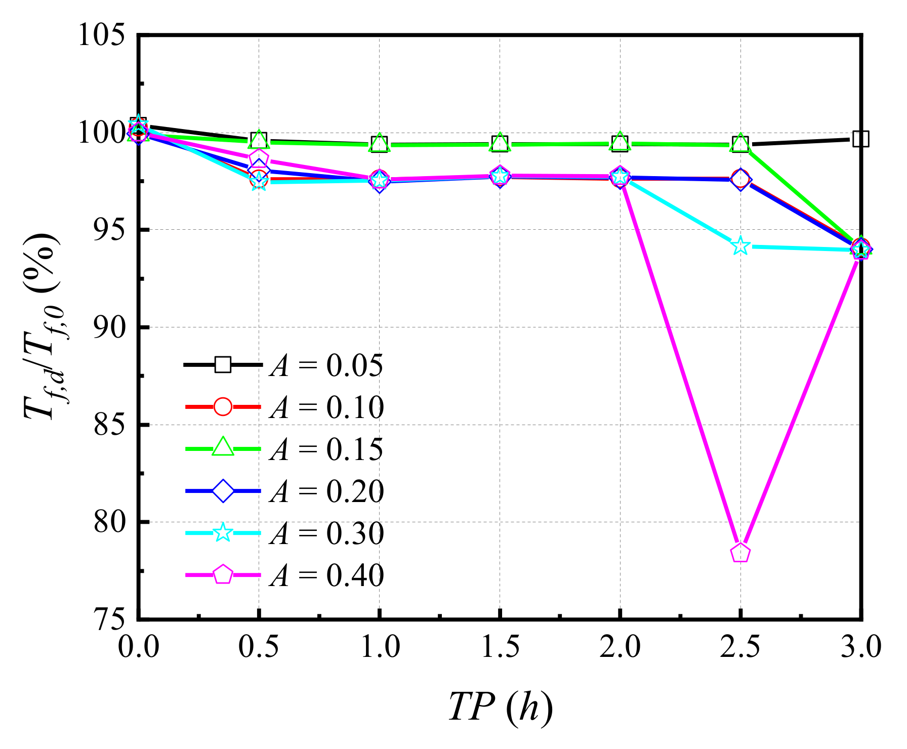
- The effect of cyclic loads with different amplitudes at different time points on the deformation-time curve, stiffness degradation ratio, and fire resistance time of RC columns increase with increase in cyclic load addition time points and amplitudes. For the benchmark column, when the cyclic load application time is less than 2 h and the cyclic amplitude is less than 0.30, the cyclic load has little effect on the response of the RC column. The cyclic load with a large amplitude applied later results in buckling failure.
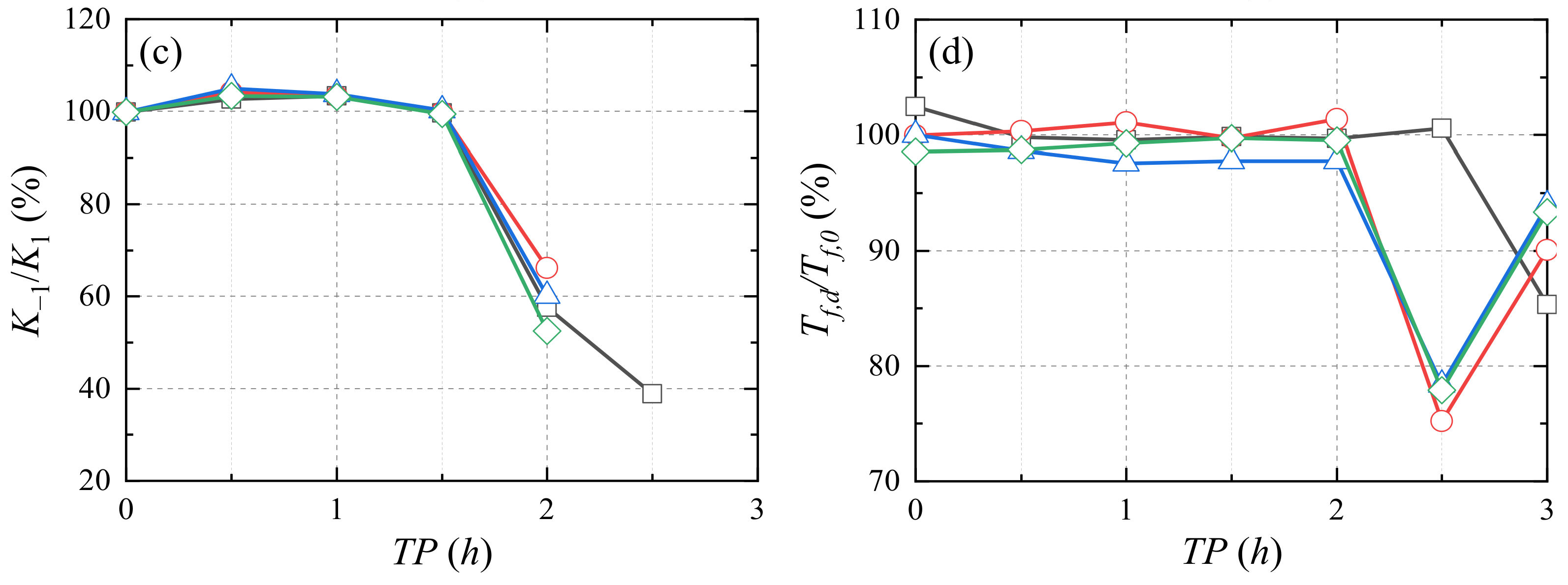
- Different number of cycles have similar influences on the axial deformation, stiffness degradation ratio, the fire resistance time of RC columns during fire exposure, and axial deformation; stiffness degradation ratio of RC columns is greatly affected by the applied time point of cyclic loading.
- The reinforcement ratio and the cover thickness have a significant effect on the deformation, stiffness degradation ratio, and fire resistance time of the reinforced concrete column. Increasing the cover thickness, the reinforcement ratio, and the section size can effectively reduce the effect of the cyclic load on the RC column during fire exposure.
- The effect of cyclic loads on RC columns with different column characteristics during fire exposure can be divided into four stages: low impact stage, medium impact stage, high impact stage, and failure stage. To avoid the excessive deformation and stiffness of RC columns under the cyclic load and fire exposure, it is recommended that the minimum fire resistance time of RC columns under cyclic load be designed to be 2.5 times the fire resistance time under static load. The pertinent experiments will be conducted in the future.
Author Contributions
Funding
Institutional Review Board Statement
Informed Consent Statement
Data Availability Statement
Acknowledgments
Conflicts of Interest
Nomenclature
| density | axial compression load | ||
| cyclic load coefficient | |||
| specific heat compacity | cyclic load effect coefficient | ||
| thermal conductivity | deformation | ||
| thermal expansion coefficient | stiffness | ||
| strength | fire resistance time | ||
| strain | the number of cycles | ||
| Young’s modulus | section size | ||
| tensile strength of concrete | cover thickness | ||
| bond strength | longitudinal reinforcement ratio | ||
| slip | tie spacing | ||
| diameter of the reinforcing steel | axial load ratio | ||
| convective heat transfer heat flux density | Subscript | ||
| radiant heat transfer heat flux density | d | under cyclic load | |
| composite heat transfer heat flux density | 0 | at ambient temperature or under static load | |
| surface temperature of the wall | y | yield | |
| temperature of the thermal fluid | u | ultimate or peak | |
| ambient temperature | T | at elevated temperatures | |
| convective heat transfer coefficient | s | reinforcing steel | |
| emissivity | c | concrete or compressive | |
| Stefan-Boltzmann constant | Abbreviation | ||
| temperature | RC | reinforced concrete | |
| simulated value | time point | ||
| experimental value | amplitude | ||
| coefficient of determination | Mean Absolute Percentage Error | ||
| cyclic load | hours/hour | ||
References
- Fu, B.; Jiang, H.; Wu, T. Experimental study of seismic response reduction effects of particle damper using substructure shake table testing method. Struct. Control Health Monit. 2019, 26, e2295. [Google Scholar] [CrossRef]
- Jiang, H.; Fu, B.; Lu, X.; Chen, L. Seismic Damage Assessment of RC Members by a Modified Park-Ang Model. Adv. Struct. Eng. 2015, 18, 353–364. [Google Scholar] [CrossRef]
- Cherif, S.; Chourak, M.; Abed, M.; Douiri, A. Potential Seismic Damage Assessment of Residential Buildings in Imzouren City (Northern Morocco). Buildings 2018, 8, 179. [Google Scholar] [CrossRef] [Green Version]
- Fujii, K. Pushover-Based Seismic Capacity Evaluation of Uto City Hall Damaged by the 2016 Kumamoto Earthquake. Buildings 2019, 9, 140. [Google Scholar] [CrossRef] [Green Version]
- Xiao, J.; Xie, Q.; Xie, W. Study on high-performance concrete at high temperatures in China (2004–2016)—An updated overview. Fire Saf. J. 2018, 95, 11–24. [Google Scholar] [CrossRef]
- Hassan, A.; Arif, M.; Shariq, M. Mechanical Behaviour and Microstructural Investigation of Geopolymer Concrete After Exposure to Elevated Temperatures. Arab. J. Sci. Eng. 2020, 45, 3843–3861. [Google Scholar] [CrossRef]
- Liu, Y.Z.; Jin, B.; Huo, J.S.; Li, Z. Effect of microstructure evolution on mechanical behaviour of concrete after high temperatures. Mag. Concr. Res. 2018, 70, 770–784. [Google Scholar] [CrossRef]
- Hertz, K.D. Concrete strength for fire safety design. Mag. Concr. Res. 2005, 57, 445–453. [Google Scholar] [CrossRef]
- Naser, M.Z. Heuristic machine cognition to predict fire-induced spalling and fire resistance of concrete structures. Automat. Constr. 2019, 106, 102916. [Google Scholar] [CrossRef]
- Liu, J.; Tan, K.H.; Yao, Y. A new perspective on nature of fire-induced spalling in concrete. Constr. Build. Mater. 2018, 184, 581–590. [Google Scholar] [CrossRef]
- Zhang, B.; Zhu, H.; Chen, J.; Yang, O. Evaluation of bond performance of corroded steel bars in concrete after high temperature exposure. Eng. Struct. 2019, 198, 109479. [Google Scholar] [CrossRef]
- Caetano, H.; Ferreira, G.; Rodrigues, J.P.C.; Pimienta, P. Effect of the high temperatures on the microstructure and compressive strength of high strength fibre concretes. Constr. Build. Mater. 2019, 199, 717–736. [Google Scholar] [CrossRef]
- Liu, Z.; Wang, Y.; Li, G.; Jiang, J.; Fu, C. Mechanical behavior of cross-shaped steel reinforced concrete columns after exposure to high temperatures. Fire Saf. J. 2019, 108, 102857. [Google Scholar] [CrossRef]
- Levenson, L.M. Residential water heater damage and fires following the Loma Prieta and Big Bear Lake earthquakes. Earthq. Spectra 1992, 8, 595–603. [Google Scholar] [CrossRef]
- Trifunac, M.D.; Todorovska, M.I. The Northridge, California, earthquake of 1994: Fire ignition by strong shaking. Soil Dyn. Earthq. Eng. 1998, 17, 165–175. [Google Scholar] [CrossRef]
- Scawthorn, C. Fire following the Northridge and Kobe earthquakes. In Proceedings of the Thirteenth Meeting of the UJNR Panel on Fire Research and Safety, Gaithersburg, MD, USA, 13–20 March 1996. [Google Scholar]
- Shah, A.H.; Sharma, U.K.; Bhargava, P. Outcomes of a major research on full scale testing of RC frames in post earthquake fire. Constr. Build. Mater. 2017, 155, 1224–1241. [Google Scholar] [CrossRef]
- Wen, B.; Wu, B.; Niu, D. Post-earthquake fire performance of reinforced concrete columns. Struct. Infrastruct. E. 2016, 12, 1106–1126. [Google Scholar] [CrossRef]
- Wang, J.; Zhang, X.; Kunnath, S.; He, J.; Xiao, Y. Post-Earthquake Fire Resistance and Residual Seismic Capacity of Reinforced Concrete Columns. ACI Struct. J. 2021, 118, 123–135. [Google Scholar] [CrossRef]
- Ni, S.; Birely, A.C. Post-fire seismic behavior of reinforced concrete structural walls. Eng. Struct. 2018, 168, 163–178. [Google Scholar] [CrossRef]
- Wang, Y.; Kodur, V.; Fu, C.; Liu, C.; Zhou, H.; Naser, M. Seismic Performance of Reinforced Concrete Frame Joints after Exposure to Fire. ACI Struct. J. 2021, 118, 3–14. [Google Scholar] [CrossRef]
- Liu, X.; Gernay, T.; Li, L.; Lu, Z. Seismic performance of post-fire reinforced concrete beam-column joints strengthened with steel haunch system. Eng. Struct. 2021, 234, 111978. [Google Scholar] [CrossRef]
- Lu, Z.; Chen, Y.; Li, L.; Liu, X.; Wei, K. Experimental Study on Seismic Behavior of Plane and Spatial Concrete Beam-column Joints After Exposure to Fire. J. Tongji Univ. Nat. Sci. 2020, 48, 340–348. [Google Scholar] [CrossRef]
- Jin, L.; Li, X.; Zhang, R.; Du, X. Meso-scale modelling the post-fire seismic behavior of RC short columns. Eng. Fail. Anal. 2021, 120, 105117. [Google Scholar] [CrossRef]
- Demir, U.; Goksu, C.; Binbir, E.; Ilki, A. Impact of time after fire on post-fire seismic behavior of RC columns. Structures 2020, 26, 537–548. [Google Scholar] [CrossRef]
- Han, L.; Zhou, K.; Tan, Q.; Song, T. Performance of steel reinforced concrete columns after exposure to fire: Numerical analysis and application. Eng. Struct. 2020, 211, 110421. [Google Scholar] [CrossRef]
- Chen, Y.; Chang, Y.; Yao, G.C.; Sheu, M. Experimental research on post-fire behaviour of reinforced concrete columns. Fire Saf. J. 2009, 44, 741–748. [Google Scholar] [CrossRef]
- Tan, K.H.; Yao, Y. Fire Resistance of Reinforced Concrete Columns Subjected to 1-, 2-, and 3-Face Heating. J. Struct. Eng. 2004, 130, 1820–1828. [Google Scholar] [CrossRef]
- Bengar, H.A.; Shahmansouri, A.A. Post-fire behavior of unconfined and steel tube confined rubberized concrete under axial compression. Structures 2021, 32, 731–745. [Google Scholar] [CrossRef]
- Jaszczak, B.; Kuczma, M.; Szymkuć, W. Comparison of the load-bearing capacity of reinforced concrete columns under fire conditions using the method A, zone method and isotherm 500 method. Fire Saf. J. 2021, 124, 103396. [Google Scholar] [CrossRef]
- Shah, A.H.; Sharma, U.K. Fire resistance and spalling performance of confined concrete columns. Constr. Build. Mater. 2017, 156, 161–174. [Google Scholar] [CrossRef]
- Pul, S.; Atasoy, A.; Senturk, M.; Hajirasouliha, I. Structural performance of reinforced concrete columns subjected to high-temperature and axial loading under different heating-cooling scenarios. J. Build. Eng. 2021, 42, 102477. [Google Scholar] [CrossRef]
- Saljoughian, A.; Mostofinejad, D. Grooving methods in square RC columns strengthened with longitudinal CFRP under cyclic axial compression. Eng. Struct. 2018, 174, 724–735. [Google Scholar] [CrossRef]
- Shao, Y.; Zhu, Z.; Mirmiran, A. Cyclic modeling of FRP-confined concrete with improved ductility. Cem. Concr. Comp. 2006, 28, 959–968. [Google Scholar] [CrossRef]
- Lam, L.; Teng, J.G. Stress–strain model for FRP-confined concrete under cyclic axial compression. Eng. Struct. 2009, 31, 308–321. [Google Scholar] [CrossRef]
- Raut, N.K.; Kodur, V.K.R. Response of High-Strength Concrete Columns under Design Fire Exposure. J. Struct. Eng. 2011, 137, 69–79. [Google Scholar] [CrossRef]
- Handoo, S.K.; Agarwal, S.; Agarwal, S.K. Physicochemical, mineralogical, and morphological characteristics of concrete exposed to elevated temperatures. Cem. Concr. Res. 2002, 32, 1009–1018. [Google Scholar] [CrossRef]
- Du, H.; Jiang, Y.; Liu, G.; Yan, R. CT image-based analysis on the defect of polypropylene fiber reinforced high-strength concrete at high temperatures. J. Wuhan Univ. Technol. Mater. Sci. Ed. 2017, 32, 898–903. [Google Scholar] [CrossRef]
- EN1994-1-2: 2005; Eurocode 4-Design of Composite Steel and Concrete Structures Part 1-2: General Rules—Structural Fire Design. European Committee for Standardization: Brussels, Belgium, 2005.
- Lie, T.T.; Irwin, R.J. Fire Resistance of Rectangular Steel Columns Filled with Bar-Reinforced Concrete. J. Struct. Eng. 1995, 121, 797–805. [Google Scholar] [CrossRef]
- EN1992-1-2: 2004; Eurocode 2: Design of Concrete Structures. European Committee for Standardization: Brussels, Belgium, 2004.
- Lee, J.; Fenves, G.L. Plastic-damage model for cyclic loading of concrete structures. J. Eng. Mech. 1998, 124, 892–900. [Google Scholar] [CrossRef]
- Lubliner, J.; Oliver, J.; Oñate, S.O. A plastic-damage model for concrete. Int. J. Solids Struct. 1989, 25, 299–326. [Google Scholar] [CrossRef]
- GB50010-2010; Code for Design of Concrete Structures. China Architecture & Building Press: Beijing, China, 2011.
- ANSI/AISC 360-10; Specification for Structural Steel Buildings. American Institute of Steel Construction: Chicago, IL, USA, 2010.
- Fu, B.; Chen, S.; Liu, X.; Feng, D. A probabilistic bond strength model for corroded reinforced concrete based on weighted averaging of non-fine-tuned machine learning models. Constr. Build. Mater. 2022, 318, 125767. [Google Scholar] [CrossRef]
- Özkal, F.M.; Polat, M.; Yağan, M.; Öztürk, M.O. Mechanical properties and bond strength degradation of GFRP and steel rebars at elevated temperatures. Constr. Build. Mater. 2018, 184, 45–57. [Google Scholar] [CrossRef]
- Bergman, T.L.; Lavine, A.S.; Incropera, F.P.; Dewitt, D.P. Introduction to Heat Transfer; John Wiley & Sons: Hoboken, NJ, USA, 2011. [Google Scholar]
- Kim, S.; Kim, H. A new metric of absolute percentage error for intermittent demand forecasts. Int. J. Forecast. 2016, 32, 669–679. [Google Scholar] [CrossRef]
- GB50011-2010; Code for Seismic Design of Buildings. China Architecture & Building Press: Beijing, China, 2010.
- Gernay, T. Fire resistance and burnout resistance of reinforced concrete columns. Fire Saf. J. 2019, 104, 67–78. [Google Scholar] [CrossRef]







| Approximate Mesh Size (mm) | Peak Deformation | Fire Resistance Time | Calculation Time Ratio | Connector Generation | ||
|---|---|---|---|---|---|---|
| (mm) | Err% | Err% | ||||
| Test | 5.14 | - | 3.05 | - | - | - |
| 50 × 50 ×50 | 5.83 | 13.42 | 1.87 | −38.65 | 0.34 | easy |
| 40 × 40 × 50 | 5.77 | 12.26 | 2.49 | −18.40 | 0.90 | hard |
| 34 × 34 × 50 | 5.73 | 11.48 | 2.74 | −10.17 | 1.60 | hard |
| 25 × 25 × 50 | 6.07 | 18.09 | 3.33 | 9.18 | 1.00 | easy |
| 20 × 20 × 50 | 6.20 | 20.62 | 3.46 | 13.61 | 11.73 | hard |
| A | |||||||
|---|---|---|---|---|---|---|---|
| 0.0 | 0.5 | 1.0 | 1.5 | 2.0 | 2.5 | 3.0 | |
| 0.05 | F005T00 | F005T05 | F005T10 | F005T15 | F005T20 | F005T25 | F005T30 |
| 0.10 | F010T00 | F010T05 | F010T10 | F010T15 | F010T20 | F010T25 | F010T30 |
| 0.15 | F015T00 | F015T05 | F015T10 | F015T15 | F015T20 | F015T25 | F015T30 |
| 0.20 | F020T00 | F020T05 | F020T10 | F020T15 | F020T20 | F020T25 | F020T30 |
| 0.30 | F030T00 | F030T05 | F030T10 | F030T15 | F030T20 | F030T25 | F030T30 |
| 0.40 | F040T00 | F040T05 | F040T10 | F040T15 | F040T20 | F040T25 | F040T30 |
| Description | Section Size a × b (mm) | Cover Thickness c (mm) | Longitudinal Reinforcement Ratio | Tie Spacing sp (mm) | Axial Load Ratio p | Fire Resistance Time (h) |
|---|---|---|---|---|---|---|
| Reference column | 203.0 × 203.0 | 50 | 3.05% | 200 | 0.4 | 3.20 |
| 304.5 × 304.5 | 50 | 3.05% | 200 | 0.4 | 4.63 | |
| 406.0 × 406.0 | 50 | 3.05% | 200 | 0.4 | 9.97 | |
| 203.0 × 203.0 | 30 | 3.05% | 200 | 0.4 | 1.89 | |
| 203.0 × 203.0 | 40 | 3.05% | 200 | 0.4 | 2.86 | |
| 203.0 × 203.0 | 50 | 0.76% | 200 | 0.4 | 0.86 | |
| 203.0 × 203.0 | 50 | 1.72% | 200 | 0.4 | 2.08 | |
| 203.0 × 203.0 | 50 | 2.47% | 200 | 0.4 | 2.81 | |
| 203.0 × 203.0 | 50 | 4.76% | 200 | 0.4 | 4.57 | |
| 203.0 × 203.0 | 40 | 3.05% | 100 | 0.4 | 3.52 | |
| 203.0 × 203.0 | 40 | 3.05% | 160 | 0.4 | 3.33 | |
| 203.0 × 203.0 | 40 | 3.05% | 320 | 0.4 | 3.22 | |
| 203.0 × 203.0 | 50 | 3.05% | 200 | 0.2 | 7.90 | |
| 203.0 × 203.0 | 50 | 3.05% | 200 | 0.3 | 4.87 | |
| 203.0 × 203.0 | 50 | 3.05% | 200 | 0.5 | 2.29 | |
| 203.0 × 203.0 | 50 | 3.05% | 200 | 0.6 | 1.77 |
Publisher’s Note: MDPI stays neutral with regard to jurisdictional claims in published maps and institutional affiliations. |
© 2022 by the authors. Licensee MDPI, Basel, Switzerland. This article is an open access article distributed under the terms and conditions of the Creative Commons Attribution (CC BY) license (https://creativecommons.org/licenses/by/4.0/).
Share and Cite
Chen, Q.; Jiang, Y. Performance Evaluation of Reinforced Concrete Columns under Simultaneously Combined Fire and Cyclic Loads. Buildings 2022, 12, 1062. https://doi.org/10.3390/buildings12071062
Chen Q, Jiang Y. Performance Evaluation of Reinforced Concrete Columns under Simultaneously Combined Fire and Cyclic Loads. Buildings. 2022; 12(7):1062. https://doi.org/10.3390/buildings12071062
Chicago/Turabian StyleChen, Qingjun, and Yu Jiang. 2022. "Performance Evaluation of Reinforced Concrete Columns under Simultaneously Combined Fire and Cyclic Loads" Buildings 12, no. 7: 1062. https://doi.org/10.3390/buildings12071062
APA StyleChen, Q., & Jiang, Y. (2022). Performance Evaluation of Reinforced Concrete Columns under Simultaneously Combined Fire and Cyclic Loads. Buildings, 12(7), 1062. https://doi.org/10.3390/buildings12071062

