Effects of Ground Motion Duration on the Seismic Performance of a Two-Storey Balloon-Type CLT Building
Abstract
:1. Introduction
1.1. Objective
1.2. Effect of Ground Motion Duration on Structural Performance
1.3. CLT Lateral Load Resisting Systems
2. Case Study Building
2.1. Building Description
2.2. Model Development
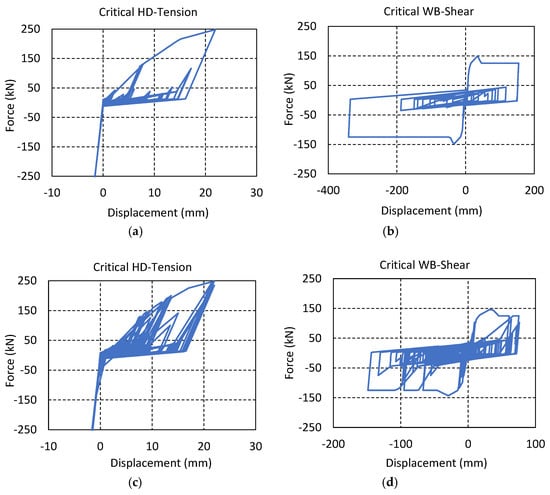
2.3. Balloon Shear Wall Model Validation
2.4. Ground Motion Selection
2.5. Analysis
3. Results
3.1. Nonlinear Time History Analysis at Design Level
3.2. Incremental Dynamic Analysis
3.3. Fragility Assessment
4. Discussion and Conclusions
Author Contributions
Funding
Data Availability Statement
Acknowledgments
Conflicts of Interest
Appendix A. Selected Ground Motions
| Long Duration Subduction Motions | Short Duration Crustal Motions | ||||||
| Event | Year | Station | D5-95 [s] | Event | Year | Station | D5-95 [s] |
| Hokkaido (Japan) | 2003 | Horokeshi | 32.9 | Chi-Chi | 1999 | TCU054 | 24.5 |
| Tohoku (Japan) | 2011 | Hiratsuka-st5 | 118.1 | Chi-Chi | 1999 | TCU029 | 23.6 |
| Maule (Chile) | 2010 | Ciencias Agr. | 38.6 | Chi-Chi | 1999 | TCU053 | 22.3 |
| Hokkaido (Japan) | 2003 | Urakawa | 39.2 | Loma Pierta | 1989 | Hollister Diff. Array | 12.4 |
| Tohoku (Japan) | 2011 | Hachiohji | 75.0 | Chi-Chi | 1999 | CHY035 | 13.2 |
| Tohoku (Japan) | 2011 | Takasaki | 71.6 | Manjil | 1990 | Abhar | 21.1 |
| Hokkaido (Japan) | 2003 | Akan | 35.7 | Kalamata, Greece-01 | 1986 | Kalamata | 5.0 |
| Tohoku (Japan) | 2011 | Okudo | 108.9 | Taiwan Smart-01 | 1986 | SMART1-I01 | 20.4 |
| Tohoku (Japan) | 2011 | Koganei | 67.8 | Taiwan Smart-01 | 1986 | SMART1-O02 | 16.3 |
| Tohoku (Japan) | 2011 | Shinozaki | 107.7 | Taiwan Smart-01 | 1986 | SMART1-I02 | 21.6 |
| Tohoku (Japan) | 2011 | Nakoso | 88.1 | Imperial Valley-06 | 1979 | El Centro Array #3 | 11.9 |
| Maule (Chile) | 2010 | Santiago Center | 35.2 | Imperial Valley-06 | 1979 | Brawley Airport | 14.1 |
| Maule (Chile) | 2010 | Colegio Las Am. | 37.1 | Taiwan Smart-01 | 1986 | SMART1-E01 | 8.7 |
| Maule (Chile) | 2010 | La Florida | 39.9 | Chi-Chi | 1999 | TCU051 | 24.2 |
| Tohoku (Japan) | 2011 | Gyoutoku | 102.0 | Loma Prieta | 1989 | Oakland-Outer Harbor | 8.7 |
| Tohoku (Japan) | 2011 | Nishiaidu | 90.9 | Imperial Valley-06 | 1979 | Holtville Post Office | 11.8 |
| Tohoku (Japan) | 2011 | Chiba | 93.5 | Superstition Hills-02 | 1987 | Kornbloom Road | 14.0 |
| Michoacan (Mexico) | 1985 | Villita | 44.1 | Loma Prieta | 1989 | Palo Alto–SLAC Lab | 11.6 |
| Hokkaido (Japan) | 2003 | Hobetsu | 40.9 | Superstition Hills-02 | 1987 | Poe Road | 13.6 |
| Hokkaido (Japan) | 2003 | Oiwake | 44.6 | Northridge-01 | 1994 | Santa Monica City Hall | 10.7 |
| Tohoku (Japan) | 2011 | Koga | 93.9 | Loma Prieta | 1989 | Anderson Dam (L Abut) | 12.7 |
| Tohoku (Japan) | 2011 | Hiratsuka-st1 | 127.6 | Chi-Chi | 1999 | CHY028 | 12.1 |
| Tohoku (Japan) | 2011 | Kawagoe | 73.4 | Imperial Valley-06 | 1979 | El Centro Array #1 | 15.0 |
| Tohoku (Japan) | 2011 | Tatsumi | 120.1 | Imperial Valley-06 | 1979 | EC County Center FF | 10.4 |
References
- Clague, J.J. Evidence for large earthquakes at the Cascadia subduction zone. Rev. Geophys. 1997, 35, 439–460. [Google Scholar] [CrossRef]
- Atwater, B.F.; Hemphill-Haley, E. Recurrence Intervals for Great Earthquakes of the Past 3500 Years at Northeastern Willapa Bay, Washington; US Government Printing Office: Washington, DC, USA, 1997. [Google Scholar]
- Foschaar, J.; Baker, J.; Deierlein, G. Preliminary assessment of ground motion duration effects on structural collapse. In Proceedings of the 15th World Conference on Earthquake Engineering, Lisbon, Portugal, 24–28 September 2012. [Google Scholar]
- Zengin, E.; Abrahamson, N.A.; Kunnath, S. Isolating the effect of ground-motion duration on structural damage and collapse of steel frame buildings. Earthq. Spectra 2020, 36, 718–740. [Google Scholar] [CrossRef]
- Barbosa, A.R.; Ribeiro, F.L.; Neves, L.A. Influence of earthquake ground-motion duration on damage estimation: Application to steel moment resisting frames. Earthq. Eng. Struct. Dyn. 2017, 46, 27–49. [Google Scholar] [CrossRef]
- Kiani, J.; Camp, C.; Pezeshk, S. Role of conditioning intensity measure in the influence of ground motion duration on the structural response. Soil Dyn. Earthq. Eng. 2018, 104, 408–417. [Google Scholar] [CrossRef]
- Marsh, M.; Gianotti, C. Structural Response to Long-Duration Earthquakes; Final Report; Washington State Department of Transportation: Olympia, WA, USA, 1994. [Google Scholar]
- Raghunandan, M.; Liel, A.B. Effect of ground motion duration on earthquake-induced structural collapse. Struct. Saf. 2013, 41, 119–133. [Google Scholar] [CrossRef]
- Han, J.; Sun, X.; Zhou, Y. Duration effect of spectrally matched ground motion records on collapse resistance capacity evaluation of RC frame structures. Struct. Des. Tall Spec. Build. 2017, 26, e1397. [Google Scholar] [CrossRef]
- Fairhurst, M.; Bebamzadeh, A.; Ventura, C.E. Effect of ground motion duration on reinforced concrete shear wall buildings. Earthq. Spectra 2019, 35, 311–331. [Google Scholar] [CrossRef]
- Pan, Y.; Ventura, C.E.; Tannert, T. Damage index fragility assessment of low-rise light-frame wood buildings under long duration subduction earthquakes. Struct. Saf. 2020, 84, 101940. [Google Scholar] [CrossRef]
- Pan, Y.; Ventura, C.E.; Finn, W.L. Effects of ground motion duration on the seismic performance and collapse rate of light-frame wood houses. J. Struct. Eng. 2018, 144, 04018112. [Google Scholar] [CrossRef]
- Pan, Y.; Ventura, C.E.; Finn, W.L.; Xiong, H. Effects of ground motion duration on the seismic damage to and collapse capacity of a mid-rise woodframe building. Eng. Struct. 2019, 197, 109451. [Google Scholar] [CrossRef]
- Chandramohan, R.; Baker, J.W.; Deierlein, G.G. Quantifying the influence of ground motion duration on structural collapse capacity using spectrally equivalent records. Earthq. Spectra 2016, 32, 927–950. [Google Scholar] [CrossRef] [Green Version]
- Hou, H.; Qu, B. Duration effect of spectrally matched ground motions on seismic demands of elastic perfectly plastic SDOFS. Eng. Struct. 2015, 90, 48–60. [Google Scholar] [CrossRef]
- Trifunac, M.D. Power design method. In Proceedings of the Earthquake Engineering in the 21st Century to Mark 40th Anniversary of IZIIS-Skopje, Skopje, Macedonia, 28 August–1 September 2005. [Google Scholar]
- Husid, R. Características de terremotos. Análisis general. Rev. IDIEM 1969, 8, 21–42. [Google Scholar]
- Bommer, J.J.; Martinez-Pereira, A. The effective duration of earthquake strong motion. J. Earthq. Eng. 1999, 3, 127–172. [Google Scholar] [CrossRef]
- Trifunac, M.D.; Brady, A.G. A study on the duration of strong earthquake ground motion. Bull. Seismol. Soc. Am. 1975, 65, 581–626. [Google Scholar]
- Arias, A. A Measure of Earthquake Intensity in Seismic Design of Nuclear Power Plants; Hansen, R.J., Ed.; Institute of Technology Press: Cambridge, MA, USA, 1970. [Google Scholar]
- Shahnewaz, M.D.; Alam, M.S.; Tannert, T. In-plane Strength and Stiffness of Cross-laminated Timber Shear Walls. Buildings 2018, 8, 100. [Google Scholar] [CrossRef] [Green Version]
- Tannert, T.; Follesa, M.; Fragiacomo, M.; González, P.; Isoda, H.; Moroder, D.; Xiong, H.; van de Lindt, J.W. Seismic Design of CLT Buildings. Wood Fiber. Sci. 2018, 50, 3–26. [Google Scholar] [CrossRef] [Green Version]
- Izzi, M.; Casagrande, D.; Bezzi, S.; Pasca, D.; Follesa, M.; Tomasi, R. Seismic behaviour of Cross-Laminated Timber structures: A state-of-the-art review. Eng. Struct. 2018, 170, 42–52. [Google Scholar] [CrossRef]
- Tannert, T.; Loss, C. Contemporary and Novel Hold-Down Solutions for Mass Timber Shear Walls. Buildings 2022, 12, 202. [Google Scholar] [CrossRef]
- NBCC (National Building Code of Canada). Canadian Commission on Building and Fire Codes; National Research Council of Canada: Ottawa, ON, Canada, 2020. [Google Scholar]
- CSA Standard O86-19; Canadian Standards Association (CSA), Engineering Design in Wood. CSA: Toronto, ON, Canada, 2019.
- Sustersic, I.; Fragiacomo, M.; Dujic, B. Seismic analysis of cross-laminated multistory timber buildings using code-prescribed methods: Influence of panel size, connection ductility, and schematization. J. Struct. Eng. 2016, 142, E4015012. [Google Scholar] [CrossRef]
- Amini, M.O.; van de Lindt, J.W.; Rammer, D.; Pei, S.; Line, P.; Popovski, M. Systematic experimental investigation to support the development of seismic performance factors for cross laminated timber shear wall systems. Eng. Struct. 2018, 172, 392–404. [Google Scholar] [CrossRef]
- Ceccotti, A.; Sandhaas, C.; Okabe, M.; Yasumura, M.; Minowa, C.; Kawai, N. SOFIE project–3D shaking table test on a seven-storey full-scale cross-laminated timber building. Earthq. Eng. Struct. Dyn. 2013, 42, 2003–2021. [Google Scholar] [CrossRef]
- Shahnewaz, M.; Dickof, C.; Tannert, T. Seismic Behavior of Balloon Frame CLT Shear Walls with Different Ledgers. J. Struct. Eng. 2021, 147, 04021137. [Google Scholar] [CrossRef]
- Zhang, X.; Pan, Y.; Tannert, T. The influence of connection stiffness on the dynamic properties and seismic performance of tall cross-laminated timber buildings. Eng. Struct. 2021, 238, 112261. [Google Scholar] [CrossRef]
- Shahnewaz, M.; Pan, Y.; Shahria Alam, M.; Tannert, T. Seismic Fragility Estimates for Cross-Laminated Timber Platform Building. J. Struct. Eng. 2020, 146, 04020256. [Google Scholar] [CrossRef]
- Sun, X.; He, M.; Li, Z.; Shu, Z. Performance evaluation of multi-storey cross-laminated timber structures under different earthquake hazard levels. J. Wood Sci. 2018, 64, 23–39. [Google Scholar] [CrossRef] [Green Version]
- Mazzoni, S.; McKenna, F.; Scott, M.H.; Fenves, G.L. OpenSees Command Language Manual; Pacific Earthquake Engineering Research (PEER) Center: Berkeley, CA, USA, 2006; Volume 264, pp. 137–158. [Google Scholar]
- Lowes, L.N.; Mitra, N.; Altoontash, A. A Beam-Column Joint Model for Simulating the Earthquake Response of Reinforced Concrete Frames; Report; Pacific Earthquake Engineering Research (PEER) Center: Berkeley, CA, USA, 2003. [Google Scholar]
- Sullivan, K.; Miller, T.H.; Gupta, R. Behavior of cross-laminated timber diaphragm connections with self-tapping screws. Eng. Struct. 2018, 168, 505–524. [Google Scholar] [CrossRef]
- Gavric, I.; Fragiacomo, M.; Ceccotti, A. Cyclic behavior of typical screwed connections for cross-laminated (CLT) structures. Eur. J. Wood Wood Prod. 2015, 73, 179–191. [Google Scholar] [CrossRef]
- Tomasi, R.; Smith, I. Experimental characterization of monotonic and cyclic loading responses of CLT panel-to-foundation angle bracket connections. J. Mater. Civ. Eng. 2015, 27, 04014189. [Google Scholar] [CrossRef]
- Masroor, M.; Doudak, G.; Casagrande, D. The effect of bi-axial behaviour of mechanical anchors on the lateral response of multi-panel CLT shearwalls. Eng. Struct. 2020, 224, 111202. [Google Scholar] [CrossRef]
- S2GM, Selection and Scaling Ground Motions (S2GM). Available online: http://s2gm.hpcperformancedesign.com/login.php?e=1 (accessed on 15 November 2021).
- PEER, Pacific Earthquake Engineering Research (PEER) NGA-West2 Database. Berkeley, CA. Available online: https://ngawest2.berkeley.edu/ (accessed on 15 November 2021).
- Baker, J.W. Efficient analytical fragility function fitting using dynamic structural analysis. Earthq. Spectra 2015, 31, 579–599. [Google Scholar] [CrossRef]











| Mark | Type | Fasteners |
|---|---|---|
| HD1 | WHT440 | 30–nails 4Ø 60 mm long. |
| HD2 | WHT620 | 55–nails 4Ø 60 mm long. |
| HD3 | WHT740 | 75–nails 4Ø 60 mm long. |
| HD4 | Custom | 6–12Ø stainless steel tight fit pins |
| HD5 | Custom | 10–12Ø stainless steel tight fit pins |
| SP1 | Plywood spline | screws 8Ø 120 @ 600 mm + mails 4Ø 60 @ 250 mm |
| SP2 | Plywood spline | screws 8Ø 120 @ 600 mm + mails 4Ø 60 @ 200 mm |
| SP3 | Plywood spline | screws 8Ø 120 @ 600 mm + mails 4Ø 60 @ 150 mm |
| SP7 | Half-lap joint | screws 8Ø 140 @ 250 mm- |
| SP8 | Half-lap joint | screws 8Ø 120 @ 200 mm- |
| SP11 | Half-lap joint with steel plate | 2 rows screws 8Ø 120 @ 200 mm- |
Publisher’s Note: MDPI stays neutral with regard to jurisdictional claims in published maps and institutional affiliations. |
© 2022 by the authors. Licensee MDPI, Basel, Switzerland. This article is an open access article distributed under the terms and conditions of the Creative Commons Attribution (CC BY) license (https://creativecommons.org/licenses/by/4.0/).
Share and Cite
Jafari, M.; Pan, Y.; Shahnewaz, M.; Tannert, T. Effects of Ground Motion Duration on the Seismic Performance of a Two-Storey Balloon-Type CLT Building. Buildings 2022, 12, 1022. https://doi.org/10.3390/buildings12071022
Jafari M, Pan Y, Shahnewaz M, Tannert T. Effects of Ground Motion Duration on the Seismic Performance of a Two-Storey Balloon-Type CLT Building. Buildings. 2022; 12(7):1022. https://doi.org/10.3390/buildings12071022
Chicago/Turabian StyleJafari, Maral, Yuxin Pan, Md Shahnewaz, and Thomas Tannert. 2022. "Effects of Ground Motion Duration on the Seismic Performance of a Two-Storey Balloon-Type CLT Building" Buildings 12, no. 7: 1022. https://doi.org/10.3390/buildings12071022
APA StyleJafari, M., Pan, Y., Shahnewaz, M., & Tannert, T. (2022). Effects of Ground Motion Duration on the Seismic Performance of a Two-Storey Balloon-Type CLT Building. Buildings, 12(7), 1022. https://doi.org/10.3390/buildings12071022

