Data-Driven Rock Strength Parameter Identification Using Artificial Bee Colony Algorithm
Abstract
:1. Introduction
2. Rock Failure Criteria
2.1. Hoek-Brown Failure Criterion
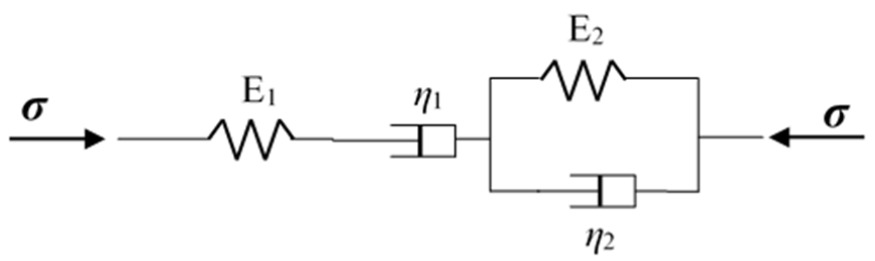
2.2. Burgers Model
3. The Artificial Bee Colony Algorithm
3.1. Initialization Phase
3.2. Employed Bee Phase
3.3. Onlooker Bee Phase
3.4. Scout Bee Phase
3.5. Procedure of ABC
- Step1:
- Set the value of control parameters SN, MCN, and “limit” of the ABC algorithm.
- Step2:
- Initialize the population x(i,j) using Equation (8) and calculate the fitness value of each solution.
- Step3:
- For each employed bee, generate a new solution v(i,j) using Equation (9) and calculate its fitness.
- Step4:
- Determine the probability pi for the solution x(i,j) using Equation (10).
- Step5:
- For each onlooker bee, determine a solution x(i,j) based on pi, generate a new solution v(i,j), and calculate the fitness.
- Step6:
- If there is an abandoned solution for the scout, it is in place of a new solution that will be randomly generated using Equation (8).
- Step7:
- Record the best solution.
- Step8:
- Repeat Step3 to Step7 until reaching the maximum cycle.
4. Determination of Hoek-Brown Failure Criterion Based on Artificial Bee Colony
4.1. Fitness Function
4.2. Procedure of Determination of Hoek-Brown Failure Criterion
- Step 1: Collect the information on the rock and determine the parameters of ABC.
- Step 2: Determine the test scheme based on rock mass property.
- Step 3: Implement the rock test according to the test standard.
- Step 4: Generate the test data.
- Step 5: Calculate the fitness value based on the fitness function using the testing data above.
- Step 6: Use the ABC algorithm to seek material constants of the Hoek-Brown failure criterion.
- Step 7: Characterize the Hoek-Brown failure criterion.
4.3. Verification
5. Application
6. Conclusions
- (1)
- In this study, ABC was utilized to determine the strength parameters, which characterize the rock failure mechanism and deformation behavior. Once the strength parameters were determined, the corresponding failure criterion could be used to evaluate the stability of the rock mass and determine the supporting pattern of the surrounding rock mass in practical engineering.
- (2)
- Laboratory testing is a common way to determine rock mass strength. This study developed an ABC-based approach to characterize the rock strength properties based on the Hoek-Brown and Burges models. Test data, hiding the rock failure mechanism, were utilized to capture the rock failure criterion based on the mathematical tool. The determined Hoek-Brown failure envelope was in excellent agreement with the experimental curve. The ABC-based approach provides a promising and scientific way to determine the rock failure criterion.
- (3)
- The fitness function is an essential component of the developed approach. The ABC-based approach can determine the optimal material constants using different fitness functions based on experimental data and avoids the limitations and disadvantages of the traditional methods. Meanwhile, the strength parameters obtained by the developed approach characterize well the deformation and strength properties of the rock mass.
- (4)
- It is challenging to understand and characterize the failure mechanism and deformation behavior of a rock mass. Thus, it is not easy to determine the rock strength criterion and its coefficient. The ABC-based approach has a good performance for global optimization; it can avoid the optimal local solution and provides an alternative tool to address it, which is illustrated by its performance. The developed approach focuses on the Hoek-Brown failure criterion and the Burger model for rock mass. It is worth noting that the proposed ABC approach can be employed to determine the strength parameters of other failure criteria in rock mechanics and engineering. Further study is necessary for various strength criteria in the future.
- (5)
- In this study, ABC was adopted to determine the strength parameters of rock mass based on laboratory data. ABC has been proven to have a strong global searching capability, which can significantly increase the efficiency of the strength parameter determination process. However, the efficiency depends on the number of laboratory data. With the increase in laboratory data, the computation time will increase. The developed method will be further studied by combining it with a new seeking strategy in the future.
Author Contributions
Funding
Institutional Review Board Statement
Informed Consent Statement
Data Availability Statement
Acknowledgments
Conflicts of Interest
References
- Hoek, E.; Brown, E.T. Underground Excavations in Rock; London Institution of Mining and Metallurgy: London, UK, 1980. [Google Scholar]
- Yang, Y.; Xu, D.; Liu, F.; Zheng, H. Modeling the entire progressive failure process of rock slopes using a strength-based criterion. Comput. Geotech. 2020, 126, 103726. [Google Scholar] [CrossRef]
- Sheorey, P.; Biswas, A.; Choubey, V. An empirical failure criterion for rocks and jointed rock masses. Eng. Geol. 1989, 26, 141–159. [Google Scholar] [CrossRef]
- Labuz, J.F.; Zeng, F.; Makhnenko, R.; Li, Y. Brittle failure of rock: A review and general linear criterion. J. Struct. Geol. 2018, 112, 7–28. [Google Scholar] [CrossRef]
- Ramamurthy, T. Shear strength response of some geological materials in triaxial compression. Int. J. Rock Mech. Min. Sci. 2001, 38, 683–697. [Google Scholar] [CrossRef]
- Zhao, L.; Yu, C.; Cheng, X.; Zuo, S.; Jiao, K. A method for seismic stability analysis of jointed rock slopes using Barton-Bandis failure criterion. Int. J. Rock Mech. Min. Sci. 2020, 136, 104487. [Google Scholar] [CrossRef]
- Hoek, E.; Brown, E.T. The Hoek-Brown failure criterion and GSI-2018 edition. J. Rock Mech. Geotech. Eng. 2019, 11, 445–463. [Google Scholar] [CrossRef]
- Park, D.; Michalowski, R.L. Three-dimensional stability assessment of slopes in intact rock governed by the Hoek-Brown failure criterion. Int. J. Rock Mech. Min. Sci. 2021, 137, 104522. [Google Scholar] [CrossRef]
- Lin, H.; Singh, S.; Oh, J.; Canbulat, I.; Kang, W.; Hebblewhite, B.; Stacey, T. A combined approach for estimating horizontal principal stress magnitudes from borehole breakout data via artificial neural network and rock failure criterion. Int. J. Rock Mech. Min. Sci. 2020, 136, 104539. [Google Scholar] [CrossRef]
- He, M.; Zhang, Z.; Zheng, J.; Chen, F.; Li, N. A New Perspective on the Constant mi of the Hoek–Brown Failure Criterion and a New Model for Determining the Residual Strength of Rock. Rock Mech. Rock Eng. 2020, 53, 3953–3967. [Google Scholar] [CrossRef]
- Hoek, E.; Brown, E.T. Practical estimates of rock mass strength. Int. J. Rock Mech. Min. Sci. 1997, 34, 1165–1186. [Google Scholar] [CrossRef]
- Li, Z.; Liu, J.; Xu, R.; Liu, H.; Shi, W. Study of grouting effectiveness based on shear strength evaluation with experimental and numerical approaches. Acta Geotech. 2021, 16, 3991–4005. [Google Scholar] [CrossRef]
- Su, G.-S.; Gan, W.; Zhai, S.-B.; Zhao, G.-F. Acoustic emission precursors of static and dynamic instability for coarse-grained hard rock. J. Cent. South Univ. 2020, 27, 2883–2898. [Google Scholar] [CrossRef]
- Hoek, E. Strength of jointed rock masses. Geotechniques 1983, 33, 187–223. [Google Scholar] [CrossRef] [Green Version]
- Shah, S.; Hoek, E. Simplex reflection analysis of laboratory strength data. Can. Geotech. J. 1992, 29, 278–287. [Google Scholar] [CrossRef]
- Zhang, Y.; Liu, X.; Guo, P.; Jia, P.; Yang, T.; Ren, F. Quantifying strength and permeability of fractured rock mass using 3D bonded block numerical model. J. Pet. Sci. Eng. 2021, 208, 109592. [Google Scholar] [CrossRef]
- Peng, J.; Tang, Z.C.; Hou, D. A GSI-softening model for characterizing strength behavior of thermally-damaged rock. Eng. Geol. 2021, 292, 106251. [Google Scholar] [CrossRef]
- Hoek, E.; Carranza-Torres, C.; Corkurn, B. Hoek-Brown failure criterion-2002 edition. In Proceeding of the 5th North American Rock Mechanics Symposium and the 17th Tunnelling Association of Canada Conference (NARMS-TAC 2002); University of Toronto Press: Toronto, ON, Canada, 2002; Volume 1. [Google Scholar]
- Langford, J.C.; Diederichs, M. Quantifying uncertainty in Hoek–Brown intact strength envelopes. Int. J. Rock Mech. Min. Sci. 2015, 74, 91–102. [Google Scholar] [CrossRef]
- Douglas, K.J. The Shear Strength of Rock Masses. Ph.D. Thesis, University of New South Wales, Sydney, Australia, 2002. [Google Scholar]
- Cai, M. Practical estimates of tensile strength and Hoek-Brown strength parameter mi of brittle rocks. Rock Mech. Rock Eng. 2010, 43, 167–184. [Google Scholar] [CrossRef]
- Ren, J.; Zhang, L.; Zhao, H.; Zhao, Z.; Wang, S. Determination of the fatigue equation for the cement-stabilized cold recycled mixtures with road construction waste materials based on data-driven. Int. J. Fatigue 2022, 158. [Google Scholar] [CrossRef]
- Contreras, L.F.; Brown, E.T.; Ruest, M. Bayesian data analysis to quantify the uncertainty of intact rock strength. J. Rock Mech. Geotech. Eng. 2018, 10, 11–31. [Google Scholar] [CrossRef]
- Bozorgzadeh, N.; Escobar, M.D.; Harrison, J.P. Comprehensive statistical analysis of intact rock strength for reliability-based design. Int. J. Rock Mech. Min. Sci. 2018, 106, 374–387. [Google Scholar] [CrossRef]
- Gomes, G.J.; Forero, J.H.; Vargas, E.A.; Vrugt, J.A. Bayesian inference of rock strength anisotropy: Uncertainty analysis of the Hoek–Brown failure criterion. Int. J. Rock Mech. Min. Sci. 2021, 148, 104952. [Google Scholar] [CrossRef]
- Pichler, B.; Lackner, R.; Mang, H.A. Back analysis of model parameters in geotechnical engineering by means of soft computing. Int. J. Numer. Methods Eng. 2003, 57, 1943–1978. [Google Scholar] [CrossRef]
- Ren, J.; Zhao, H.; Zhang, L.; Zhao, Z.; Xu, Y.; Cheng, Y.; Wang, M.; Chen, J.; Wang, J. Design optimization of cement grouting material based on adaptive boosting algorithm and simplicial homology global optimization. J. Build. Eng. 2022, 49, 104049. [Google Scholar] [CrossRef]
- Levasseur, S.; Malecot, Y.; Boulon, M.; Flavigny, E. Soil parameter identification using a genetic algorithm. Int. J. Numer. Anal. Methods Geomech. 2008, 32, 189–213. [Google Scholar] [CrossRef]
- Zhao, H.B.; Yin, S.D. Geomechanical parameters identification by particle swarm optimization and support vector ma-chine. Appl. Math. Model. 2009, 33, 3997–4012. [Google Scholar] [CrossRef]
- Zhao, H.; Ru, Z.; Chang, X.; Li, S. Reliability Analysis Using Chaotic Particle Swarm Optimization. Qual. Reliab. Eng. Int. 2014, 31, 1537–1552. [Google Scholar] [CrossRef]
- Karaboga, D. An Idea Based on Honey Bee Swarm for Numerical Optimization; Technical Report-TR06; Erciyes University, Engineering Faculty, Computer Engineering Department: Kayseri, Turkey, 2005. [Google Scholar]
- Sonmez, M. Artificial Bee Colony algorithm for optimization of truss structures. Appl. Soft Comput. 2011, 11, 2406–2418. [Google Scholar] [CrossRef]
- Kang, F.; Li, J.; Xu, Q. Structural inverse analysis by hybrid simplex artificial bee colony algorithms. Comput. Struct. 2009, 87, 861–870. [Google Scholar] [CrossRef]
- Zhao, H.B.; Ru, Z.; Li, S. Coupling relevance vector machine and response surface for geomechanics parameters identification. Geomech. Eng. 2018, 15, 1207–1217. [Google Scholar]
- Villegas, J.M.; Caraveo, C.; Mejía, D.A.; Rodríguez, J.L.; Vega, Y.; Cervantes, L.; Medina-Santiago, A. Intelligent Search of Values for a Controller Using the Artificial Bee Colony Algorithm to Control the Velocity of Displacement of a Robot. Algorithms 2021, 14, 273. [Google Scholar] [CrossRef]
- Caraveo, C.; Valdez, F.; Castillo, O. Optimization of fuzzy controller design using a new bee colony algorithm with fuzzy dynamic parameter adaptation. Appl. Soft Comput. 2016, 43, 131–142. [Google Scholar] [CrossRef]
- Ni, H.-M.; Liu, Y.-J.; Fan, Y.-C. Optimization of injection scheme to maximizing cumulative oil steam ratio based on improved artificial bee colony algorithm. J. Pet. Sci. Eng. 2018, 173, 371–380. [Google Scholar] [CrossRef]
- Qi, C.; Ly, H.-B.; Le, L.M.; Yang, X.; Guo, L.; Pham, B.T. Improved strength prediction of cemented paste backfill using a novel model based on adaptive neuro fuzzy inference system and artificial bee colony. Constr. Build. Mater. 2021, 284, 122857. [Google Scholar] [CrossRef]
- Yavuz, G.; Durmuş, B.; Aydın, D. Artificial Bee Colony Algorithm with Distant Savants for constrained optimization. Appl. Soft Comput. 2021, 116, 108343. [Google Scholar] [CrossRef]
- Zhang, L.; Wang, M.; Zhao, H.; Chang, X. Uncertainty quantification for the mechanical behavior of fully grouted rockbolts subjected to pull-out tests. Comput. Geotech. 2022, 145, 104665. [Google Scholar] [CrossRef]
- Deng, J.; Li, S.; Jiang, Q.; Chen, B. Probabilistic analysis of shear strength of intact rock in triaxial compression: A case study of Jinping II project. Tunn. Undergr. Space Technol. 2021, 111, 103833. [Google Scholar] [CrossRef]
- Griffith, A.A. The Theory of Rupture. In Proceedings of the 1st International Congress of Applied Mechanics, Delft, The Netherlands, 1 January 1924; pp. 55–63. [Google Scholar]
- Goodman, R.E. Introduction to Rock Mechanics, 2nd ed.; Wiley: New York, NY, USA, 1989. [Google Scholar]
- Fahimifar, A.; Tehrani, F.M.; Hedayat, A.; Vakilzadeh, A. Analytical solution for the excavation of circular tunnels in a vis-co-elastic Burger’s material under hydrostatic stress field. Tunn. Undergr. Space Technol. 2010, 25, 297–304. [Google Scholar] [CrossRef]
- Bai, Q.; Xia, Y.; Liu, X.; Yang, Z. Mining Roadway Support Technology Based on Rheological Analysis in Malin Coalmine. Energy Procedia 2012, 16, 1129–1134. [Google Scholar] [CrossRef] [Green Version]
- Du, Y.; Yan, N.; Kortschot, M.T. An experimental study of creep behavior of lightweight natural fiber-reinforced polymer composite/honeycomb core sandwich panels. Compos. Struct. 2013, 106, 160–166. [Google Scholar] [CrossRef]
- Karaboga, D.; Basturk, B. On the performance of artificial bee colony (ABC) algorithm. Appl. Soft Comput. 2008, 8, 687–697. [Google Scholar] [CrossRef]
- Sari, M. An improved method of fitting experimental data to the Hoek–Brown failure criterion. Eng. Geol. 2012, 127, 27–35. [Google Scholar] [CrossRef]
- Chen, B.R. Back Analysis of Rheological Parameters of Rock Mass Using Intelligent Method. Master’s Thesis, Northeastern University, Shenyang, China, December 2003. [Google Scholar]




















| Material Constants | Include Tensile | No Tensile | Measured | ||
|---|---|---|---|---|---|
| MLS | ABC | MLS | ABC | ||
| σci | 74.02 | 69.77 | 72.30 | 69.76 | 68.30 |
| Relative error (%) | 8.37 | 2.15 | 5.86 | 2.14 | - |
| mi | 9.25 | 10.72 | 10.36 | 10.72 | 10.54 |
| Relative error (%) | 12.24 | 1.71 | 1.71 | 1.73 | - |
| Range | σc (MPa) | mi | Fitness |
|---|---|---|---|
| [0, 100] | 67.2842 | 11.0439 | 9.99552 |
| [0, 200] | 67.2848 | 11.0437 | 9.99552 |
| [0, 400] | 67.2827 | 11.0442 | 9.99552 |
| [0, 1000] | 67.2832 | 11.0449 | 9.99552 |
| Rock Type | E1 (MPa) | E2 (MPa) | η1 (MPa·h) | η2 (MPa·h) |
|---|---|---|---|---|
| Grey-green claystone | 5.0 × 102–4.5 × 103 | 1.0 × 102–3.5 × 103 | 3.6 × 104–8.4 × 106 | 2.4 × 102–8.4 × 104 |
| Mauve claystone | 1.0 × 103–1.5 × 104 | 5.0 × 103–2.0 × 104 | 3.6 × 105–1.08 × 108 | 2.4 × 103–3.6 × 106 |
| Rock Type | E1 (MPa) | E2 (MPa) | η1 (MPa·h) | η2 (MPa·h) |
|---|---|---|---|---|
| Grey-green claystone | 1169.0985 | 390.9448 | 1,041,173.4899 | 2500.9780 |
| Mauve claystone | 2432.5317 | 10,800.7721 | 36,000,000.0000 | 24,000.1511 |
Publisher’s Note: MDPI stays neutral with regard to jurisdictional claims in published maps and institutional affiliations. |
© 2022 by the authors. Licensee MDPI, Basel, Switzerland. This article is an open access article distributed under the terms and conditions of the Creative Commons Attribution (CC BY) license (https://creativecommons.org/licenses/by/4.0/).
Share and Cite
Wang, M.; Chen, B.; Zhao, H. Data-Driven Rock Strength Parameter Identification Using Artificial Bee Colony Algorithm. Buildings 2022, 12, 725. https://doi.org/10.3390/buildings12060725
Wang M, Chen B, Zhao H. Data-Driven Rock Strength Parameter Identification Using Artificial Bee Colony Algorithm. Buildings. 2022; 12(6):725. https://doi.org/10.3390/buildings12060725
Chicago/Turabian StyleWang, Meng, Bingrui Chen, and Hongbo Zhao. 2022. "Data-Driven Rock Strength Parameter Identification Using Artificial Bee Colony Algorithm" Buildings 12, no. 6: 725. https://doi.org/10.3390/buildings12060725
APA StyleWang, M., Chen, B., & Zhao, H. (2022). Data-Driven Rock Strength Parameter Identification Using Artificial Bee Colony Algorithm. Buildings, 12(6), 725. https://doi.org/10.3390/buildings12060725
