A Seismic Checking Method of Engineering Structures Based on the Stochastic Semi-Physical Model of Seismic Ground Motions
Abstract
:1. Introduction
2. Simulation of Seismic Ground Motions for Engineering Purpose
2.1. Stochastic Semiphysical Model of Seismic Ground Motions
2.2. Simulation of Seismic Ground Motions
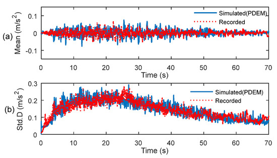
2.3. Validation of Simulated Seismic Ground Motions
3. Seismic Analysis Based on the Chinese Seismic Code
3.1. Introduction of a Reinforced Concrete Frame Structure
3.2. Seismic Checking Based on the Chinese Code for Seismic Design of Buildings
4. Dynamic Analysis and Evaluation of the Reliability of the Frame Structure Excited by Stochastic Ground Motions
4.1. Dynamic Response of the Frame Structure
4.2. Dynamic Reliability Evaluation
4.2.1. Evaluation of Reliability According to the Extreme Value Distribution
4.2.2. Reliabilities of the Frame Structure
5. Conclusions
Author Contributions
Funding
Institutional Review Board Statement
Informed Consent Statement
Data Availability Statement
Acknowledgments
Conflicts of Interest
References
- Ministry of Housing and Urban-Rural Development. Code for Seismic Design of Buildings: GB 50011-2010; China Architecture and Building Press: Beijing, China, 2010.
- American Society of Civil Engineers. ASCE/SEI 7-05; Minimum Design Loads for Buildings and Other Structures; American Society of Civil Engineers: Reston, VA, USA, 2010. [Google Scholar]
- CEN. EN 1998-1. Eurocode 8, Design of Structures For Earthquake Resistance—Part 1: General Rules, Seismic Actions and Rules for Building; Comite Europeen de Normalisation (CEN): Brussels, Belgium, 2004. [Google Scholar]
- Ministry of Land, Infrastructure, Transport and Tourism. The Building Standard Law of Japan; Ministry of Land, Infrastructure, Transport and Tourism: Tokyo, Japan, 2001.
- Priestley, M.B. Evolutionary spectra and non-stationary processes. J. R. Stat. Soc. Ser. B 1965, 27, 204–229. [Google Scholar] [CrossRef]
- Liu, S.C. Evolutionary power spectral density of strong-motion earthquakes. Bull. Seismol. Soc. Am. 1970, 60, 891–900. [Google Scholar] [CrossRef]
- Lin, Y.K.; Yong, Y. Evolutionary Kanai-Tajimi earthquake models. J. Eng. Mech. 1987, 113, 1119–1137. [Google Scholar] [CrossRef]
- Liang, J.; Chaudhuri, S.R.; Shinozuka, M. Simulation of nonstationary stochastic processes by spectral representation. J. Eng. Mech. 2007, 133, 616–627. [Google Scholar] [CrossRef]
- Rezaeian, S.; Zhong, P.; Hartzell, S.; Zareian, F. Validation of simulated earthquake ground motions based on evolution of intensity and frequency content. Bull. Seismol. Soc. Am. 2015, 105, 3036–3049. [Google Scholar] [CrossRef]
- Karimzadeh, S. Seismological and engineering demand misfits for evaluating simulated ground motion records. Appl. Sci. 2019, 9, 4497. [Google Scholar] [CrossRef] [Green Version]
- Boore, D.M. Stochastic simulation of high-frequency ground motions based on seismological models of the radiated spectra. Bull. Seismol. Soc. Am. 1983, 73, 1865–1894. [Google Scholar]
- Boore, D.M. Simulation of ground motion using the stochastic method. Pure Appl. Geophys. 2003, 160, 635–676. [Google Scholar] [CrossRef] [Green Version]
- Shinozuka, M. Simulation of multivariate and multidimensional random processes. J. Acoust. Soc. Am. 1971, 49, 357–368. [Google Scholar] [CrossRef]
- Shinozuka, M.; Deodatis, G. Simulation of stochastic processes by spectral representation. Appl. Mech. Rev. 1991, 44, 191–204. [Google Scholar] [CrossRef]
- Liu, Z.; Liu, W.; Peng, Y. Random function based spectral representation of stationary and non-stationary stochastic processes. Probabilistic Eng. Mech. 2016, 45, 115–126. [Google Scholar] [CrossRef]
- Sarkar, K.; Gupta, V.K.; George, R.C. Wavelet-based generation of spatially correlated accelerograms. Soil Dyn. Earthq. Eng. 2016, 87, 116–124. [Google Scholar] [CrossRef]
- Chen, J.; Kong, F.; Peng, Y. A stochastic harmonic function representation for non-stationary stochastic processes. Mech. Syst. Signal Process. 2017, 96, 31–44. [Google Scholar] [CrossRef]
- Quinay, P.E.B.; Ichimura, T. An improved fault-to-site analysis tool towards fully HPC-enhanced physics-based urban area response estimation. J. Earthq. Tsunami 2016, 10, 1640018. [Google Scholar] [CrossRef]
- Amin, M.; Ang, A.H.S. Nonstationary stochastic models of earthquake motions. J. Eng. Mech. Div. 1968, 94, 559–584. [Google Scholar] [CrossRef]
- Fatemi, A.A.; Bagheri, A.; Amiri, G.G.; Ghafory-ashtiany, M. Generation of uniform hazard earthquake accelerograms and near-field ground motions. J. Earthq. Tsunami 2012, 6, 1250013. [Google Scholar] [CrossRef]
- Li, C.; Li, H.; Hao, H.; Bi, K.; Tian, L. Simulation of multi-support depth-varying earthquake ground motions within heterogeneous onshore and offshore sites. Earthq. Eng. Eng. Vib. 2018, 17, 475–490. [Google Scholar] [CrossRef]
- Rezaeian, S.; Der Kiureghian, A. A stochastic ground motion model with separable temporal and spectral nonstationarities. Earthq. Eng. Struct. Dyn. 2008, 37, 1565–1584. [Google Scholar] [CrossRef]
- Xu, J.; Zhang, W.; Sun, R. Efficient reliability assessment of structural dynamic systems with unequal weighted quasi-Monte Carlo simulation. Comput. Struct. 2016, 175, 37–51. [Google Scholar] [CrossRef]
- Shayanfar, M.A.; Barkhordari, M.A.; Roudak, M.A. An efficient reliability algorithm for locating design point using the combination of importance sampling concepts and response surface method. Commun. Nonlinear Sci. Numer. Simul. 2017, 47, 223–237. [Google Scholar] [CrossRef]
- Shayanfar, M.A.; Barkhordari, M.A.; Barkhori, M.; Barkhori, M. An adaptive directional importance sampling method for structural reliability analysis. Struct. Saf. 2018, 70, 14–20. [Google Scholar] [CrossRef]
- Jing, Z.; Chen, J.; Li, X. RBF-GA: An adaptive radial basis function metamodeling with genetic algorithm for structural reliability analysis. Reliab. Eng. Syst. Saf. 2019, 189, 42–57. [Google Scholar] [CrossRef]
- An, Z.; Li, J. Research on random function model of strong ground motion (Ⅰ): Model constructing. Earthq. Eng. Eng. Vib. 2009, 29, 36–45. [Google Scholar]
- An, Z.; Li, J. Research on random function model of strong ground motion (II): Parametric statistic and model certification. Earthq. Eng. Eng. Vib. 2009, 29, 40–47. [Google Scholar]
- Wang, D.; Li, J. Physical random function model of ground motions for engineering purposes. Sci. Sin. Technol. 2011, 54, 175–182. [Google Scholar] [CrossRef]
- Ding, Y.; Peng, Y.; Li, J. A stochastic semi-physical model of seismic ground motions in time domain. J. Earthq. Tsunami 2018, 12, 1850006. [Google Scholar] [CrossRef]
- Song, M. Studying Random Function Model of Seismic Ground Motion for Engineering Purposes. Master’s Thesis, Tongji University, Shanghai, China, June 2013. [Google Scholar]
- Ding, Y.; Peng, Y.; Li, J. Cluster analysis of earthquake ground-motion records and characteristic period of seismic response spectrum. J. Earthq. Eng. 2020, 24, 1012–1033. [Google Scholar] [CrossRef]
- Ding, Y.; Li, J. Parameters identification and statistical modelling of physical stochastic model of seismic ground motion for engineering purposes. Sci. Sin. Technol. 2018, 48, 1422–1432. [Google Scholar] [CrossRef]
- Li, J.; Chen, J.B. The principle of preservation of probability and the generalized density evolution equation. Struct. Saf. 2008, 30, 65–77. [Google Scholar] [CrossRef]
- Li, J. Probability density evolution equations: History, development and applications. In Proceedings of the 9th International Conference on Structural Safety and Reliability (ICOSSAR2009), Osaka, Japan, 12–17 September 2009. [Google Scholar]
- Li, J. A PDEM-based perspective to engineering reliability: From structures to lifeline networks. Front. Struct. Civ. Eng. 2020, 14, 1056–1065. [Google Scholar] [CrossRef]
- Zhou, T.; Peng, Y. Reliability analysis using adaptive Polynomial-Chaos Kriging and probability density evolution method. Reliab. Eng. Syst. Saf. 2022, 220, 108283. [Google Scholar] [CrossRef]
- Trifunac, M.D. Response envelope spectrum and interpretation of strong earthquake ground motion. Bull. Seismol. Soc. Am. 1971, 61, 343–356. [Google Scholar] [CrossRef]
- Liao, Z. Introduction to Wave Motion Theories in Engineering, 2nd ed.; Science Press: Beijing, China, 2002; pp. 23–25. [Google Scholar]
- Chen, J.; Li, J. A note on the principle of preservation of probability and probability density evolution equation. Probab. Eng. Mech. 2009, 24, 51–59. [Google Scholar] [CrossRef]
- Li, J.; Chen, J. Advances in the research on probability density evolution equations of stochastic dynamical systems. Adv. Mech. 2010, 40, 170–188. [Google Scholar]
- Chen, J.; Yang, J.; Li, J. A GF-discrepancy for point selection in stochastic seismic response analysis of structures with uncertain parameters. Struct. Saf. 2016, 59, 20–31. [Google Scholar] [CrossRef]
- Chen, J.; Li, J. The extreme value distribution and dynamic reliability analysis of nonlinear structures with uncertain parameters. Struct. Saf. 2007, 29, 77–93. [Google Scholar] [CrossRef]
- Li, J.; Chen, J.; Fan, W. The equivalent extreme-value event and evaluation of the structural system reliability. Struct. Saf. 2007, 29, 112–131. [Google Scholar] [CrossRef]



















| Random Parameters | Meaning |
|---|---|
| amplitude parameter of the source | |
| Brune source parameter describing the decay process of the fault rupture | |
| equivalent damping ratio of the site | |
| equivalent predominate circular frequency of the site | |
| epicentral distance | |
| empirical parameters of the propagation path |
| Random Parameters | Distribution Function | Parameters of the PDF | Clustered Groups | |||
| Group 1 | Group 2 | Group 3 | ||||
| Lognormal | −1.4872 | −1.1090 | −0.7155 | |||
| 0.8639 | 0.7906 | 0.6944 | ||||
| Lognormal | −2.7141 | −2.2853 | −1.4397 | |||
| 1.4257 | 1.9570 | 1.8048 | ||||
| Lognormal | −0.3423 | −0.2505 | −0.3373 | |||
| 0.3871 | 0.4400 | 0.3463 | ||||
| Lognormal | 0.2049 | 0.2679 | 0.0585 | |||
| 0.8744 | 0.8766 | 0.4893 | ||||
| Lognormal | −1.1262 | −1.1613 | −1.9142 | |||
| 1.1515 | 1.2487 | 1.4716 | ||||
| Lognormal | −1.0040 | −1.0311 | −1.8026 | |||
| 0.9349 | 1.1473 | 1.2376 | ||||
| Lognormal | 2.9588 | 3.6625 | 5.3250 | |||
| 1.173 | 1.010 | 0.2619 | ||||
| Random Parameters | Distribution Function | Parameters of the PDF | Site Class | |||
| I | II | III | IV | |||
| Gamma | 3.1557 | 3.9979 | 3.8113 | 3.3281 | ||
| 0.1223 | 0.0938 | 0.0985 | 0.0924 | |||
| Lognormal | 2.2107 | 2.3998 | 2.2417 | 2.0178 | ||
| 1.3111 | 0.9986 | 0.8233 | 0.5058 | |||
| Material | Young’s Modulus/MPa | Compressive Strength/MPa | Tensile Strength/MPa |
|---|---|---|---|
| Concrete | 32,500 | 31 | 3.22 |
| Steel | 200,000 | 400 | 400 |
| Modes | Natural Periods | ||
|---|---|---|---|
| Etabs | OpenSEES | Relative Error | |
| 1 | 0.4959 | 0.4978 | 0.368% |
| 2 | 0.4751 | 0.4707 | 0.926% |
| 3 | 0.4371 | 0.4441 | 1.599% |
| 4 | 0.3240 | 0.3238 | 0.039% |
| 5 | 0.3109 | 0.3075 | 1.063% |
| 6 | 0.2299 | 0.2298 | 0.044% |
| 7 | 0.1503 | 0.1491 | 0.787% |
| 8 | 0.1489 | 0.1490 | 0.042% |
| 9 | 0.1485 | 0.1462 | 1.541% |
| 10 | 0.1313 | 0.1294 | 1.466% |
| Site and Group | Site I Group 1 | Site II Group 2 | Site III Group 3 | Site IV Group 3 | Limit of the Code |
|---|---|---|---|---|---|
| Frequent Earthquake | 1/1949 | 1/1238 | 1/1056 | 1/1056 | 1/550 |
| Rare Earthquake | 1/174 | 1/110 | 1/94 | 1/94 | 1/50 |
| Site and Group | Site I Group 1 | Site II Group 2 | Site III Group 3 | Site IV Group 3 |
|---|---|---|---|---|
| Reliability | 100% | 97.79% | 95.13% | 80.72% |
| Failure Probability | 0 | 2.21% | 4.87% | 19.28% |
| Site and Group | Site I Group 1 | Site II Group 2 | Site III Group 3 | Site IV Group 3 |
|---|---|---|---|---|
| Reliability | 100% | 100% | 79.66% | 64.61% |
| Failure Probability | 0 | 0 | 20.34% | 35.39% |
Publisher’s Note: MDPI stays neutral with regard to jurisdictional claims in published maps and institutional affiliations. |
© 2022 by the authors. Licensee MDPI, Basel, Switzerland. This article is an open access article distributed under the terms and conditions of the Creative Commons Attribution (CC BY) license (https://creativecommons.org/licenses/by/4.0/).
Share and Cite
Ding, Y.; Xu, Y.; Miao, H. A Seismic Checking Method of Engineering Structures Based on the Stochastic Semi-Physical Model of Seismic Ground Motions. Buildings 2022, 12, 488. https://doi.org/10.3390/buildings12040488
Ding Y, Xu Y, Miao H. A Seismic Checking Method of Engineering Structures Based on the Stochastic Semi-Physical Model of Seismic Ground Motions. Buildings. 2022; 12(4):488. https://doi.org/10.3390/buildings12040488
Chicago/Turabian StyleDing, Yanqiong, Yazhou Xu, and Huiquan Miao. 2022. "A Seismic Checking Method of Engineering Structures Based on the Stochastic Semi-Physical Model of Seismic Ground Motions" Buildings 12, no. 4: 488. https://doi.org/10.3390/buildings12040488
APA StyleDing, Y., Xu, Y., & Miao, H. (2022). A Seismic Checking Method of Engineering Structures Based on the Stochastic Semi-Physical Model of Seismic Ground Motions. Buildings, 12(4), 488. https://doi.org/10.3390/buildings12040488

