Abstract
Despite persistent calls for cleaner production and improved automation of construction processes, the adoption of the Internet of Things (IoT) in managing the supply chains of off-site construction businesses has been discouraged due to various constraints. This paper methodically identifies and prioritizes the crucial factors that impede the application of the Internet of Things (IoT) in off-site construction. Content analysis and an expert-based evaluation strategy were used to identify and evaluate the constraints affecting Internet of Things adoption in off-site construction. The ISM, MICMAC, and DEMATEL techniques were used to analyze the data. This study identifies the “lack of clear strategy for governing IoT utilization in supply chain management” as the most significant factor that impedes the application of the Internet of Things (IoT) in off-site construction businesses. The outcomes also provide a rich source of insights into off-site construction businesses to clearly recognize the implications of utilizing IoT technologies in managing the supply chains of businesses and what to expect when applying IoT technologies and solutions. While this paper advocates for improved green construction practices, cleaner production, and automation in the construction industry, it has set the stage for integrating IoT technologies in the supply chain management of off-site construction businesses.
1. Introduction
Saudi Vision 2030 is a national socioeconomic development plan that seeks to drive the country into being one of the most developed in the world [1]. Infrastructure projects have been springing up in recent years across a wide range of sectors comprising housing, education, healthcare, transportation, and tourism, among others [2,3]. The demand for the speedy delivery of more sophisticated socioeconomic infrastructure keeps getting higher, and this has triggered a huge shift in demand for off-site construction in the country [4]. Meeting this huge demand will be quite challenging if the Kingdom’s construction industry continues to use traditional in situ construction methods. Around the world, the off-site construction system has been adopted by various countries that faced similar challenges [5].
The traditional construction technique (on-site) is arguably quite slow, prone to accidents, and wasteful, and it tremendously overburdens sustainable development, the environment (air pollution), and social welfare [6,7]. In contrast, off-site construction ushers in an innovative construction approach that embraces lean construction principles, minimizing waste generation and promoting speedy project delivery, safety, efficiency, quality, and the client and end user’s satisfaction by moving the construction process away from the physical construction site to a more regulated factory environment [8,9,10]. Additionally, the central theme of off-site construction principles promulgates sustainable construction practices that pave the way for greener and smarter infrastructure construction [11]. Factory-based production (prefabrication) signifies some sort of automation that moves specific phases of infrastructure project development from the physical construction site to off-site factories. The various building elements are prefabricated in a factory set-up and transported to the main project site for onward on-site assembly.
Despite the well-recognized benefits of the off-site construction approach and its purported drive for sustainable development, the pace at which this technique is widely implemented in the Kingdom’s construction markets appears to be lethargic [12]. Inefficient management of the supply chain for the off-site construction system causes late delivery of precast elements, project cost and time overrun, and repetitive handling operations, among others [6]. Thus, the success of the off-site construction technique largely depends on efficient management of its supply chains [11]. While the evolution of global business markets for off-site construction created intense competitive business environments that drive the flow of businesses through supply chains, contemporary supply chains have been found to be complex, vulnerable, and costly to manage [13]. The off-site construction business requires interconnected systems of supply chains that will seek to provide enhanced integration of information, communication channels, and business processes in cyberspace [14]. For off-site construction organizations to survive in such complex business environments, the authors of [8] emphasized that the supply chains need to be more resilient and structurally flexible to adjust to major changes in the market by being more responsive, reliable, resilient, and build effective partnerships with clients, end users, and suppliers.
The Internet of Things (IoT), being a modern information technology transformation, provides a fundamental change in various aspects of construction business, particularly the efficient management of off-site construction organizations’ supply chains [15]. It is best described as an innovative set-up of interconnected physical computing devices, digitized machines, and people that provides an effective interoperability platform for information transfer and the use of information over networks [16,17,18]. The IoT entirely revolutionizes supply chain communication. It enables people-to-“things” communication as well as autonomous organization and coordination among “things” and provides storage and transportation mechanisms among the various units of business supply chains [19]. The Internet of Things offers new dimensions to supply chain visibility and flexibility to effectively manage different aspects of supply chains [20]. The useful information obtained from smart objects could ensure unique clarity to entire components of the supply chain and provide a hint at any possible internal or external issues that may require urgent attention [21]. As pointed out in [22], a timely response to these early warnings can improve the efficacy of a supply chain to new heights.
Despite the various research works focusing on the apparent drivers and enablers of IoT implementation in supply chain management and IoT utilization in managing off-site construction, there is a clear disconnect between the IoT, supply chain management, and off-site construction. Before now, there had been no major effort to integrate IoT technologies in managing supply chains of off-site construction as a single comprehensive study. In light of this, a systematic assessment of the significant constraints that influence the utilization of the IoT in managing the supply chains of off-site construction will be conducted. This study will also seek to examine the interrelationships among the constraints, since the interrelationships can have a huge effect on the adoption of the IoT in managing the supply chains of off-site construction. The outcomes can serve as a useful guide to regulatory authorities, construction practitioners, as well as key stakeholders in off-site construction markets to promote the usage of the IoT in managing the supply chains of off-site construction.
2. Integrating the IoT in Managing the Supply Chains of Off-Site Construction
The clear underperformance of the construction industry across the globe has not gone unnoticed, with over USD one trillion being squandered yearly, owing to significantly decreasing levels of productivity [23]. In comparison with the manufacturing industry, the authors of [24] noted that the construction industry accounts for about 60% of man-hours wasted on non-value-added tasks compared with the manufacturing sector’s paltry 20%. It becomes vital to integrate modern technology-enabled practices through the IoT into the construction sector to minimize ambiguities and restructure construction activities in an efficient way [25]. The efficient adoption of IoT technologies in construction will seek to improve planning, monitoring, and control functions and stimulate organizational efficiency, thereby enhancing the productivity levels of the entire workforce [26,27].
As industry practitioners and academics are making efforts to utilize the numerous potential benefits of the Internet of Things, it is projected that the financial impact of adopting the Internet of Things in construction may likely lead to about 30% savings in a project’s total costs [28,29]. Similarly, the adoption of Internet of Things technologies will provide effective management of huge data, processing velocity, and validation and diversity of information, leading to enhanced accountability and transparency, especially in problematic construction areas related to low productivity, compensation claims, and disputes among construction parties [30,31].
However, due to the incessant demand for intra-organizational and inter-organizational interconnectivity, which is propelled by innovative technology and astute business engineering processes, construction supply chains are fast becoming more divergent and complex [20]. Non-engineering business organizations are adopting new technologies to deal with the ever-changing business environment and the urgent need to digitize supply chains as well as improve competitiveness. The adoption of a variety of technologies along with simple smart gadgets or things provides enhanced efficiency for value chain trading collaborators [32,33]. With the aid of these technologies, new supply chain operations are remolded through improved data gathering and the sharing of analyzed information among key supply chain partners [34]. Likewise, these technologies improve transparency of information, which results in enhanced mutual trust among the supply partners [35].
Off-site construction businesses today form part of an all-encompassing supply chain comprising a system of several businesses and market collaborations [6]. In modern-day off-site construction business management, supply chains are now highly susceptible to all sorts of risks, considering the dynamic business environment that supply chains operate in [8]. Prominent among these risks are the incessant demand for product customization by clients and end users, the complexity of products, and the markets continuously being flooded with new products. In order to thrive and remain competitive in these strenuous markets, the supply chains of off-site construction organizations need to be more resilient and structurally flexible to adjust to major changes in the market by being more responsive, reliable and resilient and building effective partnerships with clients, end users, and suppliers [6].
Information technology remains one of the major drivers and enablers that essentially promotes efficient supply chain management [21]. With information technology, supply chains can effectively manage the business’s threats and weaknesses. Not that alone, the various internal processes within organizations can be integrated, as well as integrating the clients, end users, and vendors by obtaining and transmitting data and enhancing effective communication [36]. This integration essentially promotes good decision making and ultimately improves supply chain performance [13]. Ironically, the availability of information has never been a major issue. However, for quite a long time, the unavailability of technologies for capturing and processing huge amounts of data and the annoying delay that occurs in between data collection and decision making have been persistently affecting supply chain performance [37]. Thus, the Internet of Things seeks to minimize these delays by ensuring that supply chains respond efficiently to changes in real time [19]. It will further seek to simplify the remote management of supply chain processes, improve coordination among collaborators, and enhance information accuracy for informed decision making [16].
For off-site construction organizations to have higher market shares and enjoy a significant competitive advantage, smart innovations to supply value chains must be given due attention [37]. The incorporation of smart and inventive supply chain designs and management as well as the Internet of Things will seek to pave the way for entry into new markets, expanding market shares and opportunities and gaining a competitive business advantage [21]. The modern-day smart supply chain for off-site construction requires sophisticated equipment, interconnectivity, and intellect to foresee and avert disruptions prior to their occurrence [16]. From prefabrication at the plant to warehousing and delivery, the Internet of Things will enable the relevant collaborators to establish an intelligent supply chain. This can be achieved by furnishing real-time data as well as a business acumen for all the collaborators in the supply chain. Off-site construction organizations will require investment in the Internet of Things to improve visibility of the material flow, decrease material wastage to the barest minimum, and considerably minimize distribution costs [35].
Review of the Related Literature on Constraints Affecting the Utilization of the IoT in Managing the Supply Chains of Off-Site Construction
The benefits of using the IoT in off-site construction supply chains have been adequately reported [6,16,19]. Nevertheless, the published studies did not capture the incorporation of IoT technologies in managing the supply chains of off-site construction systems, which is the gap this study is aiming to address. Considering the huge benefits of incorporating the technologies of the IoT into the management of supply chains of off-site construction systems, it is logical to assert that the effective use of technologies of the IoT can strongly influence the transformation of off-site construction into an advanced and technology-driven business venture. Thus, the constraints influencing the successful deployment of IoT technologies in managing the supply chains of off-site construction organizations should be closely examined. It should be noted that without comprehensive knowledge of these constraints, the effective utilization of the IoT technologies to boost the supply chains of off-site construction organizations will remain grossly constrained. It is therefore paramount to examine these constraints and suggest sustainable strategies for overcoming them to promote full adoption of IoT technologies.
Table 1 presents the list of constraints for the utilization of the IoT. This list was generated by conducting a desktop search (content analysis) using the Scopus database to retrieve articles published in peer-reviewed journals that were empirically relevant to this study. The Scopus database was selected due to its wide usage, enormous collection of research articles, and quicker indexing method that enhanced the chance of obtaining recent scientific articles related to this study [38]. Similarly, peer-reviewed journal articles were selected because the articles contained significant, reliable, and validated research studies [39]. The most suitable peer-reviewed articles were retrieved after ensuring that the articles were based on empirical arguments and centered mainly on the subject of this paper. Based on these measures, a list of 24 constraints, presented in Table 1, was obtained from the extracted peer-reviewed articles.
Table 1.
List of the IoT utilization constraints extracted from the related literature.
Despite the persistent calls for cleaner production and full automation in the construction industry, as well as the perceived significance of using the technologies of the IoT in managing off-site construction supply chains, there is hardly any published research that seeks to identify the dominant constraints to this cause. In general, the findings of this paper will seek to address the research gap identified in the related literature on IoT utilization in supply chain management. Accordingly, this paper will close the gap by focusing on the utilization of IoT technologies in managing the supply chains of off-site construction organizations.
Although these identified constraints are in some way closely related to this study, it should be noted that the interconnectedness between the IoT technologies, supply chain management, and off-site construction is glaringly missing. This creates a huge gap in the literature that this study is seeking to address. Thus, it is considered highly essential to come up with a comprehensive study that will seek to promote integration of the IoT into the supply chain management practices of off-site construction systems.
3. Materials and Methods
To achieve the required objective of this paper, a synthesized assessment technique was carefully utilized. This study adopted a three-stage approach that combined the interpretive structural modeling (ISM), cross-impact matrix multiplication applied to classification (MICMAC), and DEMATEL techniques. This hybrid approach was adopted in order to comprehensively define the relationship among various constraints by a multi-level hierarchical structure, making the complex relationships easy to understand or interpret, classifying and ranking the selected constraints, as well as assessing the interactive influence of the constraints chosen quantitatively. The ISM technique was applied to analyze and clarify the complex interrelationship among the different constraints using a multi-level hierarchical structure and prioritize the identified constraints accordingly. To further organize and classify the constraints according to the extent of their driving (independence) strength and driven (dependence) strength, the MICMAC technique was used. The use of this technique helped to provide an unambiguous profile of the interrelationship complexities among the constraints. In addition, the DEMATEL method was adopted to determine the most influential and active constraints by quantitatively assessing the interactive impacts of the various pre-determined constraints. The extensive adoption of a consolidated assessment technique in construction related research has been well documented in the literature [69,71,72,73,74,75,76,77,78,79,80,81,82].
Due to the intricacies of the constraints under study, off-site construction managers and practitioners now face difficulties in enhancing the performance of their business supply chains and the businesses entirely. Thus, the adoption of the consolidated assessment technique to examine the constraints became absolutely necessary. This would help to conduct a thorough investigation of the hierarchical structure and interrelationship complications among the major hurdles that influence the utilization of the Internet of Things in managing the supply chains of off-site construction.
To reduce further complexities due to the direct and indirect interrelationships among the constraints in a clear, structured form and provide clear interpretations of these interrelations, the consolidated assessment technique will be adopted. This will help to create a structural model for the constraints based on their direct and indirect interrelationships. This is pertinent, as the interrelationships among the constraints will provide clear explanations on the complications surrounding the utilization of the IoT in managing the supply chains of off-site construction much more accurately than the individual constraints considered individually. Ultimately, this can be valuable to policy makers and regulatory authorities in conducting effective policy analysis and deciding crucial aspects for policy actions and directions, which will be useful in achieving set objectives and goals.
3.1. Identification of the Constraints
Content analysis was used to identify the constraints affecting Internet of Things adoption in off-site construction and the constraints influencing the utilization of the IoT in managing supply chains. This approach was also utilized to determine the constraints affecting supply chain management strategies for off-site construction. The content analysis method was used, considering its usefulness in determining research problems through gathering, examining, and analyzing information from different literature sources. While there are abundant constraints in the literature that relate to “Internet of Things adoption for off-site construction”, “Internet of Things utilization in supply chain management”, and “sustainable supply chain management practices for off-site construction”, there is a huge paucity of literature on the systematic assessment of the significant constraints that influence the utilization of the Internet of Things in managing the supply chains of off-site construction. In light of this shortfall, the content analysis approach was considered inadequate and required further strengthening. Thus, the study shifted focus to an expert-based strategy of data collection, where the opinions of specialists in areas related to this study would be used to provide informed analysis and enhance validity to the study findings.
The expert-based approach for enhanced data collection targeted 150 specialists across the entire sectors of the off-site construction industry and research and academic communities in the Gulf Cooperation Council region (Figure 1). This number was considered adequate as the judgmental sampling technique was adopted [83,84,85].
Figure 1.
Categories of the experts involved in the data collection.
The study sample predominantly encapsulated the opinions of professionals from Saudi Arabia, the UAE, and Qatar, as these countries remain the biggest construction hubs across the region and are at the forefront in promoting sustainable construction, especially the adoption of off-site and modular construction. Accordingly, this study’s outcomes could be applied across the region, since the constraints are peculiar to the realities of off-site construction in the region’s construction markets. Note that alone, countries in the region share homogeneity in rapid growing urbanization, socioeconomic and cultural considerations, and the common drive for promoting green construction. All the respondents were qualified professionals related to the research subject with more than 10 years of experience in the construction sector.
During the expert-based survey, the participants assessed the significance of the various constraints obtained from the content analysis conducted earlier and attempted to inter-connect some of the various constraints that are related to the subject of the study. To further complement and validate the outcomes of the expert-based survey, comprehensive interview discussions were conducted with some of the participants that contributed to the survey (Figure 1) to acquire broader viewpoints from the specialists. The central theme of the discussions was for the experts to determine the importance of each constraint, include other relevant constraints that might have been omitted, determine if the constraints were concisely expressed, determine similar constraints, indicate the constraints to be unified, review the categorization of the constraints, and most importantly, decide if the constraint substantially affects the utilization of IoT technologies in managing the supply chains of off-site construction. Eventually, a list of 22 constraints that influence the utilization of the Internet of Things in managing the supply chains of off-site construction was generated. These constraints are presented in Table 2.
Table 2.
Final list of the IoT utilization constraints with their codes.
3.2. The ISM Method
The interconnection intricacies among the identified constraints were examined using the ISM method. This was essential to establish the structural hierarchy and to concisely explain the correlation complexities among the constraints. This was considered one of the main justifications for adopting this unique technique, as other techniques (weighted score and mean value) do not provide clear and accurate analysis of the intricate interrelationships among the constraints. In addition, this method was adopted due to its strong reliability attribute, particularly where a relatively mid-size judgmental sampling is used, as the quality of the responses is always preferred over a large volume of responses that may not be reliable, consistent, or valid. As pointed out by Shen [77], two experienced respondents are enough to use the interpretive structural modeling method to examine the structural hierarchy between the constraints.
3.3. The MICMAC Method
To avoid providing an ambiguous profile of the interrelationship complexities among the constraints and sort the constraints in accordance with their respective driving and dependence strengths, the MICMAC approach was heavily utilized. The pre-determined constraints were classified as linkage, driven, autonomous, and driving constraints [21].
3.4. The DEMATEL Approach
This approach was methodically applied to further strengthen the outcomes of the ISM method. While the ISM method analyzes and clarifies the complex interrelationship among the constraints using a multi-level hierarchical structure, the DEMATEL technique quantifies the impact level of these interrelationships to determine the dominant and active constraints. The DEMATEL technique is based on matrices that illustrate a contextual interrelationship and is used to change the cause-and-effect interrelationship of constraints into distinct structural models. Owing to its perceived numerous benefits, this technique has been applied in various research areas in construction, supply chain management, technology management, and waste management among others [21,86,87] to help researchers obtain a comprehensive understanding of the complex interrelationship among the constraints and impediments to particular systems.
4. Consolidated Assessment of the Constraints
The synthesized assessment of the constraints is presented in this section. The hierarchical formation of the constraints was examined using the ISM method, while grouping of the constraints from driving to driven perspectives was conducted using the MICMAC technique. The DEMATEL approach was, on the other hand, deployed to quantify the impact level of the interrelationships among the constraints to determine the dominant and active constraints.
4.1. Determining the Hierarchy Formation: ISM Technique
The constraints’ hierarchy formation was developed using the interpretive structural modeling technique. Creating this structure is essential to understand and explain the interrelationship complications among the constraints.
4.1.1. Developing the Structural Self-Interaction Matrix (SSIM)
The SSIM was created using the interpretive structural modeling method to clearly define the comparative interconnection between the identified constraints by obtaining the experts’ judgments. Considering the contextual interrelationship for each constraint, the interrelationship among any two given constraints (i and j) as well as the associated direction of the interrelationship is carefully examined using four symbols, where “P” indicates that constraint i has a direct effect on constraint j, “I” signifies that constraint j has a direct effect on constraint i, and “N” implies that constraint i and j have direct effect on each other, while “Q” denotes that constraints i and j do not have a direct effect on each other. The SSIM for the constraints is presented in Table A1 of Appendix A. The usage of the symbols (P, I, N, and Q) in the matrix is briefly described below:
- A high security risk for devices, networks, supply chain nodes and links (CS5) has a direct effect on stakeholders’ strong resistance to new technologies and systems (CS20), so the interrelationship among these constraints is denoted by “P” in the matrix.
- A weak structure for the IoT throughout the supply chains (CS22) has a direct effect on high security risks for devices, networks, supply chain nodes, and links (CS5), and thus the interrelationship among these constraints is denoted by “I” in the matrix.
- A high security risk for devices, networks, supply chain nodes, and links (CS5) and reluctance to take responsibility for mistakes (CS17) have a direct effect on each other. Thus, the interrelationship among these constraints is denoted by “N” in the matrix.
- A high security risk for devices, networks, supply chain nodes, and links (CS5) and suppliers’ poor knowledge of reverse logistic adoption (CS21) do not have any direct effect on each other. Thus, the interrelationship among these constraints is denoted by “Q” in the matrix.
4.1.2. Formation of the Reachability Matrices
The SSIM was used to form the initial reachability matrix. To start with, the initial arrangement of the SSIM was modified into the structure of a preliminary reachability matrix format by changing the symbol in each cell in the SSIM into zeros and ones in the initial reachability matrix. These changes were made based on the following rules:
- Symbol P: Cell (i, j) = 1 and Cell (j, i) = 0.
- Symbol I: Cell (i, j) = 0 and Cell (j, i) = 1.
- Symbol N: Cell (i, j) = 1 and Cell (j, i) = 1.
- Symbol Q: Cell (i, j) = 0 and Cell (j, i) = 0.
The participants used the pairwise comparison technique to examine the correlation between all the constraints and to further establish any likely direct impact among any two given constraints. The outcome of the assessments is presented in Table A2.
Table A3 presents the final reachability matrix that was developed after checking for transitivity in the preliminary reachability matrix, which was introduced on the notion that if Constraint 1 was influenced by Constraint 2, and Constraint 2 was influenced by Constraint 3, then, Constraint 1 was necessarily influenced by Constraint 3.
4.1.3. Determining the Constraints’ Hierarchical Formation: Level Segmentation
The segment level for each constraint was identified to determine the hierarchical formation among the entire constraints.
This involved identifying the constraints that had similar constraints in both their reachability and intersection sets. The first identified constraint that met this requirement was partitioned as the Level 1 constraint, which was then removed from further evaluation. This applied to the remaining constraints at Level 2 and up to Level 11, as summarized in Table 3.
Table 3.
Summary of the level segmentation of the final reachability matrix.
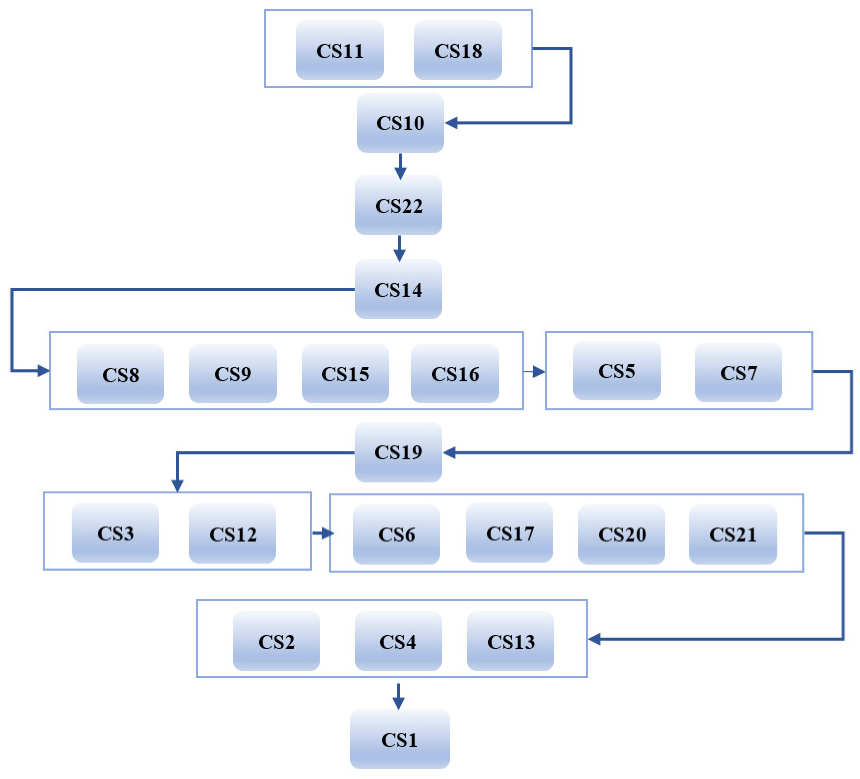
Thus, the hierarchical structure among the 22 constraints presented in Figure 2 was established based on the interpretive structural modeling as well as the results of the level segmentation among the constraints provided in Table 4.
Figure 2.
The hierarchy formation of the entire constraints.
Table 4.
Level segmentation for the complete constraints.
From the information provided in Figure 2 as well as Table 4, it can easily be deduced that the highest level (L11) and most highly prioritized constraints were CS11 (lack of strategy for governing IoT utilization in supply chain management) and CS18 (segregation along various supply chains with diverse operation models, technologies, and data services). Therefore, these constraints were considered to be the most critical utilization constraints. This further emphasizes the strong influence these constraints have in promoting IoT utilization in managing the supply chains of off-site construction and the urgent need to effectively overcome and manage these constraints accordingly. In other words, the level of proficiency applied in mitigating and overcoming these crucial constraints is likely to have huge impact on promoting the utilization of the Internet of Things in managing the supply chains of off-site construction. Figure 2 and Table 4 further reveal that CS1 (complexity in assessing and monitoring the environmental practices of suppliers) was the lowest level (L1) and the least most prioritized constraint, which strongly indicates that “complexity in assessing and monitoring the environmental practices of suppliers” is a superficial constraint that is affected by the rest of the constraints. Not that alone, the information provided in the Figure and Table also show that CS5 (high security risks for devices, networks, supply chain nodes, and links) and CS7 (inefficient data synchronization with cloud-based networks), which are mid-level constraints, contributed to the apparent loss of trust, privacy, and confidentiality (CS13), interoperability complications between various applications, sensors, network systems, and technologies (CS9), and integration complexities with technologies and operations beyond the areas of operation (CS8). Ultimately, this resulted in an unnecessary reluctance to take responsibility for mistakes (CS17) and strong resistance to new technologies and systems by the stakeholders (CS20).
4.2. Determing the Constraints’ Categories: MICMAC Technique
Table A3 presents the categorization of the constraints based on the independence (driving) and dependence (driven) intensity of the constraints using the MICMAC technique. The independence (driving) intensity of a particular constraint denotes the aggregate constraints that it influences horizontally in Table A3. The dependence (driven) intensity on the other hand implies the total constraints affecting that specific constraint vertically in Table A3. Thus, the independence (driving) and dependence (driven) intensities for all constraints are shown in Table 5.
Table 5.
Constraints’ driving and driven powers.
The next stage involved the positioning of each constraint in the two-dimensional diagram shown in Figure 3, which was performed using the driving and driven powers presented in Table 5.
Figure 3.
Constraints’ driving and driven (dependence) powers.
As shown in Figure 3, the constraints were categorized into four different categories: linkage, driven (dependent), autonomous, and driving constraints:
- i.
- Linkage constraints: These are constraints that have high-level driving and driven powers at the same time and are considered highly responsive and volatile, thereby impeding the utilization of IoT technologies in managing the supply chains of off-site construction. Thus, any slight action on these constraints will immediately affect them as well as the other constraints. As shown in Figure 3, the identified linkage constraints were CS5, CS7, CS8, CS9, CS15, and CS16 and they were adjudged to have direct and instant influence on themselves as well as other constraints that affected the utilization of the Internet of Things in managing the supply chains of off-site construction. Due to their sensitivity and the nature of their impact, these constraints require special consideration when creating guidelines and strategies for promoting the utilization of IoT technologies in managing the supply chains of off-site construction.
- ii.
- Dependent (driven) constraints: These constraints possess high driven (dependence) power as well as low driving power (e.g., CS1, CS2, CS4, CS6, CS13, CS17, and CS20) as shown in Table 5 and Figure 3. The influence of these constraints on promoting the utilization of the Internet of Things in managing the supply chains of off-site construction is mainly dependent largely on the other constraints. This is to say that overcoming the other non-dependent constraints will simply lead to overcoming this set of constraints accordingly. In essence, the influence of these constraints on the utilization of the Internet of Things in managing the supply chains of off-site construction was unanimously regarded as inconsequential, which justifies their relatively low position on the hierarchy formation.
- iii.
- Autonomous constraints: These possess low-level driving power as well as driven (dependence) power (e.g., CS3, CS12, CS19, and CS21) (Figure 3). These constraints were quite detached from the system they were associated to, within which they had little or no interrelationships. The constraints share a weak interrelationship with the other constraints and may not be consequential in promoting IoT utilization.
- iv.
- Driving constraints: These possess strong independence intensities as well as low driven dependence intensities and can influence other constraints. These dominant constraints, as presented in Figure 3, include CS10, CS11, CS14, CS18, and CS22. It is expected that policy makers and practitioners pay close attention to these constraints and prioritize them as the primary dominant constraints that have significant influence in promoting the utilization of the IoT in managing the supply chains of off-site construction.
4.3. Determining the Constraints’ Effect on Each Other: DEMATEL Technique
The outcomes of the ISM approach have suggested the presence of an interrelationship among the constraints while the levels of their dependencies were not established. Although it is remarkable that the use of the ISM technique helped to establish a hierarchical structure of the interrelationship among the constraints, yet evaluating the level of influence of these constraints on each other became a major constraint for the ISM approach. The ISM approach is grounded in the premise that if there is a relationship between any two constraints, a score of one is assigned, while a score of zero is assigned to indicate the absence of any relationship. Nonetheless, it is quite unlikely for these constraints to have an equal level of influence on each other, as some relationships may be weaker and some may be stronger [18]. In light of this limitation, it became necessary to use the DEMATEL technique to address this shortfall by quantitatively assessing the impact level of these interrelationships to identify the leading and influential constraints and to provide a comprehensive hierarchical interrelation among the constraints. The level of influence all constraints have on each other was established using the DEMATEL approach. At first, the direct effect matrix was developed. The respondents evaluated the direct impact between any two constraints using a scale from 0 to 3, where 0 implies no influence and 3 signifies high influence, and the results are presented in Table A4 in the form of a direct effect matrix. Furthermore, the total effect matrix was established and presented in Table A5. Conclusively, the effect level of all the constraints is presented in Table 6.
Table 6.
The effect levels.
The D + R scores provided in Table 6 demonstrate the significance level of each constraint. A constraint that had a higher positive R + C score was considered to have a higher level of importance, while lower scores indicated a lower level of significance. Thus, from the scores provided in the table, it can be said that the five most significant constraints were prioritized as follows: CS11 > CS18 > CS10 > CS22 > CS14, whereas the five least significant constraints were prioritized as CS1 < CS2 < CS4 < CS13 < CS6. This implies that the lack of a legal framework and strategy for governing IoT utilization in supply chain management (CS11) is the most significant constraint with an R + C score of 2.22, while complexity in assessing and monitoring the environmental practices of suppliers (CS1) was adjudged to be the least significant constraint, with an R + C score of 0.34.
Similarly, the table further provided the R − C scores of the constraints, which reveals the net effect that a particular constraint had on the remaining constraints. These scores were further used to categorize the constraints into two distinct groups, namely net causers (influencers) and net receivers. A constraint with positive R − C score was categorized as a net causer, while a negative score would make a constraint be categorized as a net receiver. In essence, higher positive R − C scores indicate a higher level of influence, while higher negative scores suggest a lower level of influence by the constraints. Referring to Table 6, the net causers or influencers in descending order of influence are CS10, CS11, CS9, CS18, CS22, CS12, CS14, CS15, CS16, and CS8. The net receivers, on the other hand, are CS3, CS19, CS17, CS5, CS7, CS1, CS2, CS4, CS13, and CS6 in ascending order of influence.
5. Discussion
While the benefits of utilizing off-site construction in the GCC region, particularly in Saudi Arabia, significantly conform with the requirements of the huge housing deficit, urbanization, and sustainable development, the wide adoption of off-site construction has simply remained a mirage. The organizations and other key stakeholders involved in the off-site fabrication business are in search of various green alternatives to compete and meet up with the ever-increasing demand posed by clients, especially the government. These green strategies vary from procurement to development and innovation of products. Prominent among the evolving green schemes is the consideration for promoting the use of the IoT in managing the supply chains of off-site construction business. Nevertheless, these initiatives are technology-driven, capital intensive, and predominantly people-oriented. The adoption of IoT technologies enables organizations to comprehensively understand their line of businesses and related supply chains. In the near future, the information technology-driven off-site construction business will be prominent in the major construction markets in the region, thereby forcing construction firms that do not apply IoT technologies out of business [21].
The results identified the lack of a clear strategy for governing IoT utilization in supply chain management (CS11) and segregation along various supply chains with diverse operation models, technologies, and data services (CS18) as the most significant constraints affecting the utilization of IoT technologies in managing the supply chains of construction businesses. The perceived benefits of utilizing IoT technologies is increasingly becoming ingrained in the management of business supply chains. Off-site construction businesses are in dire need of adopting IoT-driven business models to continue to reap a competitive market advantage and increase market shares. Promoting the utilization of IoT technologies in managing the supply chains of construction businesses requires a well thought out and efficient strategy that will direct and move businesses toward their goals and visions. Despite the IoT gaining a lot of ground these days, many business enterprises have been quite reluctant to establish an integrated strategy for its utilization in their off-site construction businesses.
Adopting a strategy for promoting the utilization of IoT technologies in managing the supply chains of construction businesses requires taking an incremental approach for IoT scenarios. This is essential in managing the supply chains of off-site construction businesses, as the people on the supply chains can be guided to walk along the learning curve progressively from one stage to the next. Thus, people gradually come to appreciate the power of IoT technologies and work toward establishing a well-planned IoT utilization strategy, which can be rolled out on a large scale. For off-site construction businesses to transform their existing business models, they need to ensure that they produce products and services that are technology-driven, and these must be considered as part of their business portfolios. This can be achieved by adopting value-oriented strategies that are IoT-driven and support clearly defined business goals. In essence, the Internet of Things is fast becoming an integral component of a digital strategy that will provide the much-needed organizational transformations to promote efficiency in off-site construction businesses.
By implication, the lack of a clear strategy for governing IoT utilization in supply chain management has a strong driving impact that can directly weaken the structure for the IoT throughout the supply chains, increase security risks for devices, networks, and supply chains, and breed a loss of trust, which ultimately leads to stakeholders’ strong resistance to IoT technologies and its utilization in the supply chain management of off-site construction businesses. Trust remains the basis for information sharing and a precondition for IoT utilization in managing the supply chains of off-site construction. Although trust is vital to the huge amount of data generated when end users use IoT technologies, the utilization of the IoT raises concerns about privacy in general. This obvious paradox underlines the requirement for a security system to protect privacy and ensure confidentiality of information [55].
The next most perceived IoT utilization constraint was segregation along various supply chains with diverse operation models, technologies, and data services. The successful wide adoption of the IoT in managing supply chains of off-site construction businesses is being marred by the persistent difficulties in consolidating IoT technologies alongside the existing operational and strategic systems within supply chains [36,88]. This constraint is so critical and dominant in the sense that it directly causes inefficient data synchronization with cloud-based networks, interoperability complications between various network systems and technologies, poor management of huge amounts of data, poor integration of information and business processes in cyberspace, and complications with just-in-time manufacturing due to the ever-changing schedule of production. As a result, these challenges make it difficult to ascertain a point of responsibility in case of mistakes and makes the concerned parties reluctant in taking responsibility for their mistakes.
Another dominant constraint was the lack of business and economic models to support a market-oriented ecosystem. This is essential, as it allows the off-site construction business and its supply chains to manage new smart products and market-oriented ecosystems [61]. The development and utilization of business and economic models will enable the participants in the business supply chains to recognize the unique attributes of IoT applications, which will help to boost the profit margin of the business. The lack of business and economic models to support market-oriented ecosystems leads to an indecisive return on investment, higher costs due to the risk of price changes, and increased financial intricacies [40,60].
To overcome these constraints and promote the effective adoption of IoT technologies in managing the supply chains of construction businesses, it is expected of regulatory authorities in the industry to come up with a guideline for an IoT communication protocol for smart systems that will provide enhanced security and interoperability among various supply chain nodes, technologies, and networks. This in turn can propel off-site construction organizations to establish effective structures for the IoT throughout their business supply chains, which will help to enhance seamless integration of information and business processes in cyberspace and enable effective management of huge amounts of data, thereby minimizing the problems of loss of trust, privacy, and confidentiality. On the other hand, off-site construction organizations and their business supply chains are expected to establish strategies for governing IoT utilization in managing business supply chains, develop IoT-driven business and economic models to support market-oriented ecosystems, and educate their personnel, clients, customers, and their supply chain partners on the significance of adopting the IoT in managing their business supply chains and operations. This can significantly help to soften stakeholders’ strong resistance to new technologies and systems, reduce e-waste disposal as well as high energy demands, and make the business operations cost-effective with a substantial level of return on investment.
One of the most prominent limitations of this study is that while the research methods provided clear procedures for the identification, analysis, and prioritization of the constraints, there is the possibility of comparative weak interrelationships among some constraints due to the differences in the judgments of the experts during the pairwise comparison process. In essence, the contextual interrelationship between the constraints is mainly due the experts’ perceptions, which may be biased due to their proficiencies and professional backgrounds.
6. Conclusions and Implications
The Internet of Things has turned out to be an advanced technology capable of enhancing the flow of information along the supply chains of off-site construction businesses. It is a digital interconnected environment that provides seamless integration between logistics processes and the supply chains of off-site construction businesses. Nonetheless, methodical investigation of implementing IoT technologies for managing the supply chains of off-site construction businesses has not been investigated or reported. In light of this, this study determined and prioritized the dominant constraints to the utilization of IoT technologies in managing the supply chains of off-site construction businesses. Although the perceived benefits of using IoT technologies in managing the supply chains of off-site construction businesses were outlined in this paper, its wide utilization has not been particularly encouraging. This is mainly due to the various critical constraints, which should be decisively addressed to effectively boost the broad application of the technologies in managing the supply chains of off-site construction businesses. In light of this, 22 crucial constraints that affect the utilization of IoT technologies in managing the supply chains of off-site construction businesses were determined in this study.
This study adopted a synthesized three-stage approach that combines the ISM, MICMAC, and DEMATEL methods. The findings of this paper identified the five most dominant constraints affecting the utilization of IoT technologies in managing the supply chains of off-site construction businesses. These included “lack of clear strategy for governing IoT utilization in supply chain management”, “segregation along various supply chains with diverse operation models, technologies, and data services”, “lack of business and economic models to support market-oriented ecosystems”, “weak structure for the IoT throughout the supply chains”, and “lack of standards for an IoT communication protocol for smart systems” as the most dominant constraints to the utilization of IoT technologies in managing the supply chains of off-site construction businesses.
The primary impact and contribution of this paper lies in assessing the crucial constraints that off-site construction businesses could come across when applying IoT technologies in managing their business supply chains. The findings of this paper provide a supportive platform to off-site construction managers as well as other relevant practitioners to get enlightened on the critical and dominant constraints affecting the utilization of the IoT in managing the supply chains of their businesses. This much-needed understanding is considered vital, as it will help to establish informed strategies to overcome these constraints and promote effective IoT utilization in their lines of business. The outcomes of this study provide a rich source of insights to top management of off-site construction businesses to clearly recognize the business implications of utilizing IoT technologies in managing the supply chains of their businesses and what they are expected to take into consideration when applying IoT technologies and solutions.
While this paper advocates for improved green construction practices, cleaner production, and automation in the construction industry, it has set the stage for integrating IoT technologies in the supply chain management of off-site construction businesses. The findings of the paper can further be explored to provide insights into the development of effective strategies to overcome these constraints and promote the wide utilization of IoT technologies in the supply chain management of off-site construction businesses. To sum up, the study findings presented in this paper satisfactorily improve existing the literature related to IoT adoption for managing the supply chains of off-site construction business.
6.1. Managerial Implications
By way of highlighting the managerial implications of this study, supply chain managers in off-site construction organizations can use the findings of this study to guide and prioritize IoT implementation and come up with sustainable approaches for going forward with IoT settings. This can be achieved by using the criticality of the constraints identified in this study and the interdependencies among them from the technological and organizational perspectives. More importantly, it should be noted here that IoT technologies are rapidly advancing and need a high level of technological expertise, competent personnel, and investment costs. Thus, off-site construction organizations are expected to develop a continuous learning culture for their personnel and establish collaborative IoT-driven strategies among various partners on the organizations’ supply chains. In essence, the organizations can seek to ensure that an all-encompassing partnership with different downstream and upstream organizations are continuously developed and sustained. On the other hand, the managerial implications for policy makers will focus more on the need for policy makers to be more dynamic in establishing IoT standards for off-site construction businesses and to consider providing tax rebates and financial incentives to stimulate investments in IoT adoption in managing the supply chains of off-site construction businesses.
6.2. Academic Implications
Not that alone, this study also has managerial implications for the academia. From the outcomes of this study, it can be implied that offsite construction organizations need to be more proactive in IoT adoption to manage their supply chains. Thus, the direction of future academic research should be geared toward full IoT implementation as the technology evolves rapidly. Likewise, the technology curricula of academic institutions should be reviewed in due course to ensure strategic restructuring of the national higher education system and promote lifelong learning due to the rapid advancements in IoT technologies.
7. Future Research Suggestions
Future research can be conducted on developing income-centric business models for IoT applications in managing the supply chains of off-site construction organizations and the evaluation of possible advantages. Another study could also aim at examining the privacy concerns of IoT applications and investigating the interrelationship of privacy, security, and trust issues and developing sustainable strategies for mitigating these issues.
Author Contributions
Conceptualization, Z.A.K. and M.S.; methodology, Z.A.K. and M.S.; software, Z.A.K.; validation, Z.A.K. and M.S.; formal analysis, Z.A.K. and M.S.; investigation, Z.A.K. and M.S.; data curation, M.S.; writing—original draft preparation, Z.A.K. and M.S.; writing—review and editing, M.S.; visualization, Z.A.K. and M.S.; supervision, Z.A.K.; project administration, M.S. All authors have read and agreed to the published version of the manuscript.
Funding
This research has been financially supported by Imam Abdulrahman Bin Faisal University under the project number 2021-127-Eng.
Institutional Review Board Statement
Not applicable.
Informed Consent Statement
Not applicable.
Data Availability Statement
Not applicable.
Conflicts of Interest
The authors declare no conflict of interest.
Appendix A
Table A1.
Structural self-interaction matrix.
Table A1.
Structural self-interaction matrix.
| CS 22 | CS 21 | CS 20 | CS 19 | CS 18 | CS 17 | CS 16 | CS 15 | CS 14 | CS 13 | CS 12 | CS 11 | CS 10 | CS 9 | CS 8 | CS 7 | CS 6 | CS 5 | CS 4 | CS 3 | CS 2 | CS 1 | |
| CS1 | I | I | Q | I | I | Q | Q | Q | Q | Q | Q | I | Q | Q | Q | Q | N | Q | Q | I | I | |
| CS2 | I | Q | Q | I | I | P | I | I | Q | Q | Q | I | I | Q | I | I | P | Q | P | I | ||
| CS3 | Q | P | P | P | I | I | P | P | Q | Q | Q | Q | Q | Q | Q | Q | Q | Q | I | |||
| CS4 | Q | I | P | Q | I | P | I | I | I | Q | P | I | I | I | I | I | I | I | ||||
| CS5 | I | Q | P | Q | I | N | N | N | I | N | I | I | I | I | N | N | I | |||||
| CS6 | I | I | N | I | I | N | Q | Q | Q | Q | Q | I | I | Q | I | I | ||||||
| CS7 | Q | Q | P | Q | I | P | N | N | I | P | I | I | Q | N | N | |||||||
| CS8 | I | Q | P | Q | I | P | N | N | N | P | I | I | I | N | ||||||||
| CS9 | I | Q | P | Q | I | P | N | N | N | P | Q | I | Q | |||||||||
| CS10 | N | P | N | N | I | P | P | P | Q | Q | P | I | ||||||||||
| CS11 | P | P | P | N | N | P | P | P | N | P | P | |||||||||||
| CS12 | I | Q | P | Q | I | Q | P | P | Q | P | ||||||||||||
| CS13 | Q | Q | P | Q | N | N | I | I | I | |||||||||||||
| CS14 | P | Q | P | Q | N | P | N | N | ||||||||||||||
| CS15 | Q | Q | P | Q | I | P | N | |||||||||||||||
| CS16 | I | Q | P | Q | I | P | ||||||||||||||||
| CS17 | I | Q | P | Q | I | |||||||||||||||||
| CS18 | N | Q | P | Q | ||||||||||||||||||
| CS19 | N | N | N | |||||||||||||||||||
| CS20 | N | N | ||||||||||||||||||||
| CS21 | Q | |||||||||||||||||||||
| CS22 |
Table A2.
Preliminary reachability matrix.
Table A2.
Preliminary reachability matrix.
| CS 22 | CS 21 | CS 20 | CS 19 | CS 18 | CS 17 | CS 16 | CS 15 | CS 14 | CS 13 | CS 12 | CS 11 | CS 10 | CS 9 | CS 8 | CS 7 | CS 6 | CS 5 | CS 4 | CS 3 | CS 2 | CS 1 | |
| CS1 | 0 | 0 | 0 | 0 | 0 | 0 | 0 | 0 | 0 | 0 | 0 | 0 | 0 | 0 | 0 | 0 | 1 | 0 | 0 | 0 | 0 | 1 |
| CS2 | 0 | 0 | 0 | 0 | 0 | 1 | 0 | 0 | 0 | 0 | 0 | 0 | 0 | 0 | 0 | 0 | 1 | 0 | 1 | 0 | 1 | 1 |
| CS3 | 0 | 1 | 1 | 1 | 0 | 0 | 1 | 1 | 0 | 0 | 0 | 0 | 0 | 0 | 0 | 0 | 0 | 0 | 0 | 1 | 1 | 1 |
| CS4 | 0 | 0 | 1 | 0 | 0 | 1 | 0 | 0 | 0 | 0 | 1 | 0 | 0 | 0 | 0 | 0 | 0 | 0 | 1 | 1 | 0 | 0 |
| CS5 | 0 | 0 | 1 | 0 | 0 | 1 | 1 | 1 | 0 | 1 | 0 | 0 | 0 | 0 | 1 | 1 | 0 | 1 | 1 | 0 | 0 | 0 |
| CS6 | 0 | 0 | 1 | 0 | 0 | 1 | 0 | 0 | 0 | 0 | 0 | 0 | 0 | 0 | 0 | 0 | 1 | 1 | 1 | 0 | 0 | 1 |
| CS7 | 0 | 0 | 1 | 0 | 0 | 1 | 1 | 1 | 0 | 1 | 0 | 0 | 0 | 1 | 1 | 1 | 1 | 1 | 1 | 0 | 1 | 0 |
| CS8 | 0 | 0 | 1 | 0 | 0 | 1 | 1 | 1 | 1 | 1 | 0 | 0 | 0 | 1 | 1 | 1 | 1 | 1 | 1 | 0 | 1 | 0 |
| CS9 | 0 | 0 | 1 | 0 | 0 | 1 | 1 | 1 | 1 | 1 | 0 | 0 | 0 | 1 | 1 | 1 | 0 | 1 | 1 | 0 | 0 | 0 |
| CS10 | 1 | 1 | 1 | 1 | 0 | 1 | 1 | 1 | 0 | 0 | 1 | 0 | 1 | 1 | 1 | 0 | 1 | 1 | 1 | 0 | 1 | 0 |
| CS11 | 1 | 1 | 1 | 1 | 1 | 1 | 1 | 1 | 1 | 1 | 1 | 1 | 1 | 1 | 1 | 1 | 1 | 1 | 1 | 0 | 1 | 1 |
| CS12 | 0 | 0 | 1 | 0 | 0 | 0 | 1 | 1 | 0 | 1 | 1 | 0 | 0 | 0 | 1 | 1 | 0 | 1 | 0 | 0 | 0 | 0 |
| CS13 | 0 | 0 | 1 | 0 | 1 | 1 | 0 | 0 | 0 | 1 | 0 | 0 | 0 | 0 | 0 | 0 | 0 | 1 | 0 | 0 | 0 | 0 |
| CS14 | 1 | 0 | 1 | 0 | 1 | 1 | 1 | 1 | 1 | 1 | 0 | 1 | 0 | 1 | 1 | 1 | 0 | 1 | 1 | 0 | 0 | 0 |
| CS15 | 0 | 0 | 1 | 0 | 0 | 1 | 1 | 1 | 1 | 1 | 0 | 0 | 0 | 1 | 1 | 1 | 0 | 1 | 1 | 0 | 1 | 0 |
| CS16 | 0 | 0 | 1 | 0 | 0 | 1 | 1 | 1 | 1 | 1 | 0 | 0 | 0 | 1 | 1 | 1 | 0 | 1 | 1 | 0 | 1 | 0 |
| CS17 | 0 | 0 | 1 | 0 | 0 | 1 | 0 | 0 | 0 | 1 | 0 | 0 | 0 | 0 | 0 | 0 | 1 | 1 | 0 | 1 | 0 | 0 |
| CS18 | 1 | 0 | 1 | 0 | 1 | 1 | 1 | 1 | 1 | 1 | 1 | 1 | 1 | 1 | 1 | 1 | 1 | 1 | 1 | 1 | 1 | 1 |
| CS19 | 1 | 1 | 1 | 1 | 0 | 0 | 0 | 0 | 0 | 0 | 0 | 1 | 1 | 0 | 0 | 0 | 1 | 0 | 0 | 0 | 1 | 1 |
| CS20 | 1 | 1 | 1 | 1 | 0 | 0 | 0 | 0 | 0 | 0 | 0 | 0 | 1 | 0 | 0 | 0 | 1 | 0 | 0 | 0 | 0 | 0 |
| CS21 | 0 | 1 | 1 | 1 | 0 | 0 | 0 | 0 | 0 | 0 | 0 | 0 | 0 | 0 | 0 | 0 | 1 | 0 | 1 | 0 | 0 | 1 |
| CS22 | 1 | 0 | 1 | 1 | 1 | 1 | 1 | 0 | 0 | 0 | 1 | 0 | 1 | 1 | 1 | 0 | 1 | 1 | 0 | 0 | 1 | 1 |
Table A3.
Final reachability matrix.
Table A3.
Final reachability matrix.
| CS 22 | CS 21 | CS 20 | CS 19 | CS 18 | CS 17 | CS 16 | CS 15 | CS 14 | CS 13 | CS 12 | CS 11 | CS 10 | CS 9 | CS 8 | CS 7 | CS 6 | CS 5 | CS 4 | CS 3 | CS 2 | CS 1 | |
| CS1 | 0 | 0 | 0 | 0 | 0 | 0 | 0 | 0 | 0 | 0 | 0 | 0 | 0 | 0 | 0 | 0 | 0 | 0 | 0 | 0 | 0 | 1 |
| CS2 | 0 | 0 | 0 | 0 | 0 | 0 | 0 | 0 | 0 | 1 | 0 | 0 | 0 | 0 | 0 | 0 | 0 | 0 | 1 | 0 | 1 | 1 |
| CS3 | 0 | 1 | 1 | 0 | 0 | 1 | 0 | 0 | 0 | 0 | 1 | 0 | 0 | 0 | 0 | 0 | 1 | 0 | 1 | 1 | 1 | 1 |
| CS4 | 0 | 0 | 1 | 0 | 0 | 1 | 0 | 0 | 0 | 0 | 1 | 0 | 0 | 0 | 0 | 0 | 0 | 0 | 1 | 1 | 1 | 0 |
| CS5 | 0 | 0 | 1 | 0 | 0 | 1 | 1 | 1 | 0 | 1 | 0 | 0 | 0 | 1 | 1 | 1 | 0 | 1 | 1 | 0 | 0 | 0 |
| CS6 | 0 | 0 | 1 | 0 | 0 | 1 | 0 | 0 | 0 | 0 | 0 | 0 | 0 | 0 | 0 | 0 | 1 | 0 | 1 | 0 | 0 | 1 |
| CS7 | 0 | 0 | 1 | 0 | 0 | 1 | 1 | 1 | 0 | 1 | 0 | 0 | 0 | 1 | 1 | 1 | 1 | 1 | 1 | 0 | 1 | 0 |
| CS8 | 0 | 0 | 1 | 0 | 0 | 1 | 1 | 1 | 1 | 1 | 0 | 0 | 0 | 1 | 1 | 1 | 1 | 1 | 1 | 0 | 1 | 1 |
| CS9 | 0 | 0 | 1 | 0 | 0 | 1 | 1 | 1 | 1 | 1 | 0 | 0 | 0 | 1 | 1 | 1 | 0 | 1 | 1 | 0 | 0 | 0 |
| CS10 | 1 | 1 | 1 | 1 | 0 | 1 | 1 | 1 | 0 | 1 | 1 | 1 | 1 | 1 | 1 | 0 | 1 | 1 | 1 | 0 | 1 | 1 |
| CS11 | 1 | 1 | 1 | 1 | 1 | 1 | 1 | 1 | 1 | 1 | 1 | 1 | 1 | 1 | 1 | 1 | 1 | 1 | 1 | 0 | 1 | 1 |
| CS12 | 0 | 0 | 1 | 0 | 0 | 0 | 1 | 1 | 0 | 1 | 1 | 0 | 0 | 0 | 1 | 1 | 0 | 1 | 0 | 1 | 0 | 0 |
| CS13 | 0 | 0 | 1 | 0 | 1 | 1 | 0 | 0 | 0 | 1 | 0 | 0 | 0 | 0 | 0 | 0 | 0 | 1 | 0 | 0 | 1 | 0 |
| CS14 | 1 | 0 | 1 | 0 | 1 | 1 | 1 | 1 | 1 | 1 | 0 | 1 | 0 | 1 | 1 | 1 | 0 | 1 | 1 | 0 | 1 | 1 |
| CS15 | 0 | 0 | 1 | 0 | 0 | 1 | 1 | 1 | 1 | 1 | 0 | 0 | 0 | 1 | 1 | 1 | 0 | 1 | 1 | 1 | 1 | 0 |
| CS16 | 0 | 0 | 1 | 0 | 0 | 1 | 1 | 1 | 1 | 1 | 0 | 0 | 0 | 1 | 1 | 1 | 0 | 1 | 1 | 1 | 1 | 1 |
| CS17 | 0 | 0 | 1 | 0 | 0 | 1 | 0 | 0 | 0 | 1 | 0 | 0 | 0 | 0 | 0 | 0 | 1 | 1 | 0 | 1 | 0 | 0 |
| CS18 | 1 | 0 | 1 | 0 | 1 | 1 | 1 | 1 | 1 | 1 | 1 | 1 | 1 | 1 | 1 | 1 | 1 | 1 | 1 | 1 | 1 | 1 |
| CS19 | 1 | 1 | 1 | 1 | 0 | 0 | 0 | 0 | 0 | 0 | 0 | 1 | 1 | 0 | 0 | 0 | 1 | 0 | 0 | 1 | 1 | 1 |
| CS20 | 1 | 1 | 1 | 1 | 0 | 0 | 0 | 0 | 0 | 0 | 0 | 1 | 1 | 0 | 0 | 0 | 1 | 0 | 0 | 1 | 0 | 0 |
| CS21 | 0 | 1 | 1 | 1 | 0 | 0 | 0 | 0 | 0 | 0 | 0 | 0 | 0 | 0 | 0 | 0 | 1 | 0 | 1 | 1 | 0 | 1 |
| CS22 | 1 | 1 | 1 | 1 | 1 | 1 | 1 | 1 | 0 | 1 | 1 | 0 | 1 | 1 | 1 | 0 | 1 | 1 | 0 | 0 | 1 | 1 |
Table A4.
Direct effect matrix.
Table A4.
Direct effect matrix.
| CS 22 | CS 21 | CS 20 | CS 19 | CS 18 | CS 17 | CS 16 | CS 15 | CS 14 | CS 13 | CS 12 | CS 11 | CS 10 | CS 9 | CS 8 | CS 7 | CS 6 | CS 5 | CS 4 | CS 3 | CS 2 | CS 1 | |
| CS1 | 0 | 0 | 0 | 0 | 0 | 0 | 0 | 0 | 0 | 0 | 0 | 0 | 0 | 0 | 0 | 0 | 0 | 0 | 0 | 0 | 0 | 0 |
| CS2 | 0 | 0 | 0 | 0 | 0 | 0 | 0 | 0 | 0 | 0 | 0 | 0 | 0 | 0 | 0 | 0 | 0 | 0 | 3 | 0 | 0 | 0 |
| CS3 | 0 | 2 | 1 | 0 | 0 | 3 | 0 | 0 | 0 | 0 | 0 | 0 | 0 | 0 | 0 | 0 | 0 | 0 | 0 | 0 | 2 | 2 |
| CS4 | 0 | 0 | 3 | 0 | 0 | 3 | 0 | 0 | 0 | 0 | 3 | 0 | 0 | 0 | 0 | 0 | 0 | 0 | 0 | 1 | 0 | 0 |
| CS5 | 0 | 0 | 3 | 0 | 0 | 3 | 0 | 0 | 0 | 3 | 0 | 0 | 0 | 0 | 0 | 0 | 0 | 0 | 2 | 0 | 0 | 0 |
| CS6 | 0 | 0 | 1 | 0 | 0 | 2 | 0 | 0 | 0 | 0 | 0 | 0 | 0 | 0 | 0 | 0 | 0 | 0 | 3 | 0 | 0 | 3 |
| CS7 | 0 | 0 | 2 | 0 | 0 | 2 | 3 | 3 | 0 | 3 | 0 | 0 | 0 | 1 | 0 | 0 | 0 | 0 | 0 | 0 | 3 | 0 |
| CS8 | 0 | 0 | 1 | 0 | 0 | 1 | 3 | 3 | 0 | 0 | 0 | 0 | 0 | 3 | 0 | 3 | 0 | 3 | 0 | 0 | 3 | 3 |
| CS9 | 0 | 0 | 1 | 0 | 0 | 3 | 3 | 3 | 1 | 3 | 0 | 0 | 0 | 0 | 1 | 3 | 0 | 1 | 1 | 0 | 0 | 0 |
| CS10 | 3 | 3 | 3 | 3 | 0 | 1 | 3 | 0 | 0 | 0 | 3 | 0 | 0 | 0 | 0 | 0 | 2 | 0 | 3 | 0 | 3 | 3 |
| CS11 | 3 | 3 | 3 | 3 | 3 | 3 | 3 | 3 | 3 | 3 | 3 | 0 | 3 | 3 | 3 | 3 | 3 | 3 | 3 | 0 | 3 | 3 |
| CS12 | 0 | 0 | 1 | 0 | 0 | 0 | 3 | 3 | 0 | 1 | 0 | 0 | 0 | 0 | 1 | 3 | 0 | 2 | 0 | 0 | 0 | 0 |
| CS13 | 0 | 0 | 3 | 0 | 0 | 3 | 0 | 0 | 0 | 0 | 0 | 0 | 0 | 0 | 0 | 0 | 0 | 3 | 0 | 0 | 0 | 0 |
| CS14 | 3 | 0 | 3 | 0 | 3 | 3 | 3 | 3 | 0 | 3 | 0 | 3 | 0 | 3 | 3 | 3 | 0 | 3 | 3 | 0 | 3 | 3 |
| CS15 | 0 | 0 | 0 | 0 | 0 | 3 | 3 | 0 | 0 | 3 | 0 | 0 | 0 | 3 | 3 | 3 | 0 | 3 | 2 | 0 | 3 | 0 |
| CS16 | 0 | 0 | 2 | 0 | 0 | 2 | 0 | 3 | 0 | 3 | 0 | 0 | 0 | 3 | 3 | 3 | 0 | 3 | 2 | 0 | 3 | 1 |
| CS17 | 0 | 0 | 1 | 0 | 0 | 0 | 0 | 0 | 0 | 2 | 0 | 0 | 0 | 0 | 0 | 0 | 0 | 0 | 0 | 0 | 0 | 0 |
| CS18 | 3 | 0 | 3 | 0 | 0 | 3 | 3 | 3 | 3 | 3 | 3 | 3 | 3 | 3 | 3 | 3 | 3 | 3 | 3 | 3 | 3 | 3 |
| CS19 | 1 | 3 | 3 | 0 | 0 | 0 | 0 | 0 | 0 | 0 | 0 | 0 | 3 | 0 | 0 | 0 | 0 | 0 | 0 | 0 | 1 | 1 |
| CS20 | 1 | 3 | 0 | 2 | 0 | 0 | 0 | 0 | 0 | 0 | 0 | 0 | 2 | 0 | 0 | 0 | 0 | 0 | 0 | 2 | 0 | 0 |
| CS21 | 0 | 0 | 1 | 1 | 0 | 0 | 0 | 0 | 0 | 0 | 0 | 0 | 0 | 0 | 0 | 0 | 3 | 0 | 3 | 0 | 0 | 3 |
| CS22 | 0 | 3 | 3 | 3 | 3 | 3 | 3 | 3 | 0 | 3 | 3 | 0 | 3 | 3 | 3 | 0 | 3 | 3 | 0 | 0 | 3 | 3 |
Table A5.
Total effect matrix.
Table A5.
Total effect matrix.
| CS 22 | CS 21 | CS 20 | CS 19 | CS 18 | CS 17 | CS 16 | CS 15 | CS 14 | CS 13 | CS 12 | CS 11 | CS 10 | CS 9 | CS 8 | CS 7 | CS 6 | CS 5 | CS 4 | CS 3 | CS 2 | CS 1 | |
| CS1 | 0.00 | 0.00 | 0.00 | 0.00 | 0.00 | 0.00 | 0.00 | 0.00 | 0.00 | 0.00 | 0.00 | 0.00 | 0.00 | 0.00 | 0.00 | 0.00 | 0.00 | 0.00 | 0.00 | 0.00 | 0.00 | 0.00 |
| CS2 | 0.00 | 0.00 | 0.00 | 0.00 | 0.00 | 0.00 | 0.00 | 0.00 | 0.00 | 0.00 | 0.00 | 0.00 | 0.00 | 0.00 | 0.00 | 0.00 | 0.00 | 0.00 | 0.05 | 0.00 | 0.00 | 0.00 |
| CS3 | 0.00 | 0.04 | 0.02 | 0.00 | 0.00 | 0.06 | 0.00 | 0.00 | 0.00 | 0.00 | 0.00 | 0.00 | 0.00 | 0.00 | 0.00 | 0.00 | 0.00 | 0.00 | 0.01 | 0.00 | 0.04 | 0.04 |
| CS4 | 0.00 | 0.01 | 0.06 | 0.00 | 0.00 | 0.06 | 0.00 | 0.00 | 0.00 | 0.00 | 0.05 | 0.00 | 0.00 | 0.00 | 0.00 | 0.00 | 0.00 | 0.00 | 0.01 | 0.02 | 0.01 | 0.01 |
| CS5 | 0.00 | 0.01 | 0.06 | 0.00 | 0.00 | 0.06 | 0.00 | 0.00 | 0.00 | 0.05 | 0.00 | 0.00 | 0.00 | 0.00 | 0.00 | 0.00 | 0.00 | 0.00 | 0.04 | 0.00 | 0.01 | 0.01 |
| CS6 | 0.00 | 0.01 | 0.03 | 0.00 | 0.00 | 0.04 | 0.00 | 0.00 | 0.00 | 0.00 | 0.00 | 0.00 | 0.01 | 0.00 | 0.00 | 0.00 | 0.00 | 0.00 | 0.05 | 0.00 | 0.01 | 0.06 |
| CS7 | 0.00 | 0.01 | 0.05 | 0.00 | 0.00 | 0.04 | 0.06 | 0.06 | 0.00 | 0.06 | 0.00 | 0.00 | 0.00 | 0.02 | 0.00 | 0.01 | 0.01 | 0.01 | 0.01 | 0.00 | 0.06 | 0.02 |
| CS8 | 0.01 | 0.01 | 0.04 | 0.01 | 0.01 | 0.04 | 0.07 | 0.07 | 0.00 | 0.02 | 0.01 | 0.01 | 0.01 | 0.07 | 0.02 | 0.07 | 0.01 | 0.07 | 0.02 | 0.00 | 0.07 | 0.07 |
| CS9 | 0.01 | 0.01 | 0.03 | 0.00 | 0.00 | 0.07 | 0.06 | 0.06 | 0.02 | 0.06 | 0.01 | 0.00 | 0.00 | 0.01 | 0.02 | 0.06 | 0.01 | 0.03 | 0.03 | 0.00 | 0.02 | 0.02 |
| CS10 | 0.06 | 0.06 | 0.07 | 0.06 | 0.01 | 0.04 | 0.06 | 0.01 | 0.00 | 0.01 | 0.06 | 0.00 | 0.01 | 0.01 | 0.01 | 0.01 | 0.04 | 0.01 | 0.06 | 0.00 | 0.07 | 0.07 |
| CS11 | 0.07 | 0.07 | 0.10 | 0.06 | 0.06 | 0.10 | 0.09 | 0.08 | 0.06 | 0.09 | 0.07 | 0.01 | 0.07 | 0.08 | 0.07 | 0.08 | 0.07 | 0.08 | 0.09 | 0.01 | 0.09 | 0.09 |
| CS12 | 0.00 | 0.00 | 0.03 | 0.00 | 0.00 | 0.01 | 0.06 | 0.06 | 0.00 | 0.03 | 0.00 | 0.00 | 0.00 | 0.01 | 0.02 | 0.06 | 0.00 | 0.04 | 0.01 | 0.00 | 0.02 | 0.01 |
| CS13 | 0.00 | 0.00 | 0.06 | 0.00 | 0.00 | 0.06 | 0.00 | 0.00 | 0.00 | 0.00 | 0.00 | 0.00 | 0.00 | 0.00 | 0.00 | 0.00 | 0.00 | 0.05 | 0.01 | 0.00 | 0.01 | 0.01 |
| CS14 | 0.06 | 0.02 | 0.09 | 0.01 | 0.06 | 0.09 | 0.08 | 0.08 | 0.00 | 0.08 | 0.01 | 0.06 | 0.01 | 0.07 | 0.07 | 0.07 | 0.02 | 0.08 | 0.08 | 0.00 | 0.09 | 0.08 |
| CS15 | 0.01 | 0.01 | 0.02 | 0.01 | 0.00 | 0.07 | 0.07 | 0.02 | 0.00 | 0.07 | 0.01 | 0.01 | 0.01 | 0.07 | 0.06 | 0.06 | 0.01 | 0.07 | 0.06 | 0.00 | 0.07 | 0.02 |
| CS16 | 0.01 | 0.01 | 0.06 | 0.01 | 0.01 | 0.06 | 0.02 | 0.07 | 0.00 | 0.07 | 0.01 | 0.01 | 0.01 | 0.07 | 0.07 | 0.07 | 0.01 | 0.07 | 0.06 | 0.00 | 0.08 | 0.04 |
| CS17 | 0.00 | 0.00 | 0.02 | 0.00 | 0.00 | 0.00 | 0.00 | 0.00 | 0.00 | 0.03 | 0.00 | 0.00 | 0.00 | 0.00 | 0.00 | 0.00 | 0.00 | 0.00 | 0.00 | 0.00 | 0.00 | 0.00 |
| CS18 | 0.07 | 0.02 | 0.09 | 0.02 | 0.01 | 0.09 | 0.09 | 0.08 | 0.06 | 0.09 | 0.07 | 0.06 | 0.07 | 0.08 | 0.08 | 0.08 | 0.07 | 0.08 | 0.08 | 0.06 | 0.09 | 0.09 |
| CS19 | 0.02 | 0.05 | 0.06 | 0.00 | 0.00 | 0.01 | 0.00 | 0.00 | 0.00 | 0.00 | 0.00 | 0.00 | 0.05 | 0.00 | 0.00 | 0.00 | 0.00 | 0.00 | 0.00 | 0.00 | 0.02 | 0.02 |
| CS20 | 0.02 | 0.05 | 0.00 | 0.03 | 0.00 | 0.00 | 0.00 | 0.00 | 0.00 | 0.00 | 0.00 | 0.00 | 0.03 | 0.00 | 0.00 | 0.00 | 0.00 | 0.00 | 0.00 | 0.04 | 0.00 | 0.00 |
| CS21 | 0.00 | 0.01 | 0.03 | 0.02 | 0.00 | 0.01 | 0.00 | 0.00 | 0.00 | 0.01 | 0.00 | 0.00 | 0.01 | 0.00 | 0.00 | 0.00 | 0.05 | 0.00 | 0.05 | 0.00 | 0.01 | 0.06 |
| CS22 | 0.02 | 0.07 | 0.09 | 0.06 | 0.06 | 0.09 | 0.08 | 0.07 | 0.01 | 0.08 | 0.07 | 0.01 | 0.06 | 0.07 | 0.07 | 0.02 | 0.07 | 0.08 | 0.03 | 0.01 | 0.09 | 0.09 |
References
- Vision 2030. Saudi Arabia’s Vision for 2030. 2016. Available online: https://vision2030.gov.sa/en/media-center (accessed on 15 January 2021).
- Kazmi, Z.A.; Sodangi, M. Integrated Analysis of the Geotechnical Factors Impeding Sustainable Building Construction—The Case of the Eastern Province of Saudi Arabia. Sustainability 2021, 13, 6531. [Google Scholar] [CrossRef]
- Alhazmi, H.; Alduwais, A.K.; Tabbakh, T.; Aljamlani, S.; Alkahlan, B.; Kurdi, A. Environmental Performance of Residential Buildings: A Life Cycle Assessment Study in Saudi Arabia. Sustainability 2021, 13, 3542. [Google Scholar] [CrossRef]
- Trigunarsyah, B.; Santoso, T.P.; Hassanain, M.A.; Tuffaha, F. Adopting the industrialised building system in Saudi Arabia: Constraints and enablers. Infrastruct. Asset Manag. 2019, 6, 185–194. [Google Scholar] [CrossRef]
- Almutairi, Y.; Arif, M.; Khalfan, M.M.A. Development of implementation strategies for offsite construction techniques in the Kingdom of Saudi Arabia. Int. J. Bus. Compet. Growth 2017, 6, 12–27. [Google Scholar] [CrossRef]
- Liu, Y.; Dong, J.; Shen, L. A Conceptual Development Framework for Prefabricated Construction Supply Chain Management: An Integrated Overview. Sustainability 2020, 12, 1878. [Google Scholar] [CrossRef]
- Wang, M.; Wang, C.C.; Sepasgozar, S.; Zlatanova, S. A Systematic Review of Digital Technology Adoption in Off-Site Construction: Current Status and Future Direction towards Industry 4.0. Buildings 2020, 10, 204. [Google Scholar] [CrossRef]
- Wang, Z.; Hu, H.; Gong, J.; Ma, X.; Xiong, W. Precast supply chain management in off-site construction: A critical literature review. J. Clean. Prod. 2019, 232, 1204–1217. [Google Scholar] [CrossRef]
- Jaillon, L.; Poon, C.S. Life Cycle Design and Prefabrication in Buildings: A Review and Case Studies in Hong Kong. Autom. Constr. 2014, 39, 195–202. [Google Scholar] [CrossRef]
- Banihashemi, S.; Tabadkani, A.; Hosseini, M.R. Integration of Parametric Design into Modular Coordination: A Construction Waste Reduction Workflow. Autom. Constr. 2018, 88, 1–12. [Google Scholar] [CrossRef]
- Teng, Y.; Li, K.; Pan, W.; Ng, T. Reducing building life cycle carbon emissions through prefabrication: Evidence from and gaps in empirical studies. Build. Environ. 2018, 132, 125–136. [Google Scholar] [CrossRef]
- Almutairi, Y.; Arif., M.; Khalifan, M.M.A. Moving towards managing offsite construction techniques in the Kingdom of Saudi Arabia: A review. Middle East J. Manag. 2016, 3, 164–178. [Google Scholar] [CrossRef]
- Abdel-Basset, M.; Manogaran, G.; Mohamed, M. Internet of Things (IoT) and its impact on supply chain: A framework for building smart, secure, and efficient systems. Future Gener. Comput. Syst. 2018, 86, 614–628. [Google Scholar] [CrossRef]
- Masood, R.; Lim, J.B.P.; González, V.A.; Roy, K.; Khan, K.I.A. A Systematic Review on Supply Chain Management in Prefabricated House-Building Research. Buildings 2022, 12, 40. [Google Scholar] [CrossRef]
- Fang, H.; Lo, S.; Lo, J.T.Y. Building Fire Evacuation: An IoT-Aided Perspective in the 5G Era. Buildings 2021, 11, 643. [Google Scholar] [CrossRef]
- Rejeb, A.; Simske, S.; Rejeb, K.; Treiblmaier, H.; Zailani, S. Internet of Things Research in Supply Chain Management and Logistics: A Bibliometric Analysis. Internet Things 2020, 12, 100318. [Google Scholar] [CrossRef]
- Birkel, H.S.; Hartmann, E. Internet of Things—The future of managing supply chain risks. Supply Chain Manag. 2020, 25, 535–548. [Google Scholar] [CrossRef]
- Evtodieva, T.E.; Chernova, D.V.; Ivanova, N.V.; Wirth, J. The Internet of Things: Possibilities of application in intelligent supply chain management. In Digital Transformation of the Economy: Challenges, Trends and New Opportunities; Ashmarina, S., Mesquita, A., Vochozka, M., Eds.; Springer International Publishing: Cham, Switzerland, 2020; p. 908. [Google Scholar] [CrossRef]
- Ben-Daya, M.; Hassini, E.; Bahroun, Z. Internet of things and supply chain management: A literature review. Int. J. Prod. Res. 2019, 57, 4719–4742. [Google Scholar] [CrossRef]
- Rejeb, A.; Keogh, J.G.; Treiblmaier, H. Leveraging the Internet of Things and Blockchain Technology in Supply Chain Management. Future Internet 2019, 11, 161. [Google Scholar] [CrossRef]
- Kamble, S.S.; Gunasekaran, A.; Parekhc, H.; Joshi, S. Modeling the internet of things adoption constraints in food retail supply chains. J. Retail. Consum. Serv. 2019, 48, 154–168. [Google Scholar] [CrossRef]
- Arunachalam, D.; Kumar, N.; Kawalek, J.P. Understanding big data analytics capabilities in supply chain management: Unravelling the issues, challenges, and implications for practice. Transp. Res. Part E Logist. Transp. Rev. 2018, 114, 416–436. [Google Scholar] [CrossRef]
- Ghosh, A.; Edwards, D.J.; Hosseini, M.R. Patterns and trends in Internet of Things (IoT) research: Future applications in the construction industry. Eng. Constr. Archit. Manag. 2020, 28, 457–481. [Google Scholar] [CrossRef]
- Newman, C.; Edwards, D.J.; Martek, I.; Lai, J.; Thwala, W.D. Industry 4.0 deployment in the construction industry: A bibliometric literature review and UK-based case study. Smart Sustain. Built Environ. 2020, 10, 557–580. [Google Scholar] [CrossRef]
- Edwards, D.; Parn, E.; Sing, C.; Thwala, W.D. Risk of excavators overturning: Determining horizontal centrifugal force when slewing freely suspended loads. Eng. Constr. Archit. Manag. 2019, 26, 479–498. [Google Scholar] [CrossRef]
- Berawi, M.A.; Sunardi, A.; Ichsan, M. Chief-screen 1.0 as the internet of things platform in project monitoring and controlling to improve project schedule performance. Procedia Comput. Sci. 2019, 161, 1249–1257. [Google Scholar] [CrossRef]
- Fernando, S.; Panuwatwanich, K.; Thorpe, D. Analyzing client-led innovation enablers in Australian construction projects. Int. J. Manag. Proj. Bus. 2019, 13, 388–408. [Google Scholar] [CrossRef]
- Woodhead, R.; Stephenson, P.; Morrey, D. Digital construction: From point solutions to IoT ecosystem. Autom. Constr. 2018, 93, 35–46. [Google Scholar] [CrossRef]
- Veras, P.R.; Suresh, S.; Renukappa, S. The Adoption of Big Data Concepts for Sustainable Practices Implementation in the Construction Industry. In Proceedings of the IEEE/ACM International Conference on Utility and Cloud Computing Companion (UCC Companion), Zurich, Switzerland, 17–20 December 2018; pp. 349–352. [Google Scholar] [CrossRef]
- Attia, M.; Haidar, N.; Senouci, S.M.; Aglzim, E. Towards an efficient energy management to reduce CO2 emissions and billing cost in smart buildings. In Proceedings of the 15th IEEE Annual Consumer Communications and Networking Conference (CCNC), Las Vegas, NV, USA, 12–15 June 2018; pp. 1–6. [Google Scholar]
- Bibri, S.E. The IoT for smart sustainable cities of the future: An analytical framework for sensor-based big data applications for environmental sustainability. Sustain. Cities Soc. 2018, 38, 230–253. [Google Scholar] [CrossRef]
- Pantano, E.; Priporas, C.V.; Dennis, C. A new approach to retailing for successful competition in the new smart scenario. Int. J. Retail Distrib. Manag. 2018, 46, 264–282. [Google Scholar] [CrossRef]
- Trappey, A.J.; Trappey, C.V.; Govindarajan, U.H.; Chuang, A.C.; Sun, J.J. A review of essential standards and patent landscapes for the Internet of Things: A key enabler for Industry 4.0. Adv. Eng. Inform. 2017, 33, 208–229. [Google Scholar] [CrossRef]
- Balaji, M.S.; Roy, S.K. Value co-creation with Internet of things technology in the retail industry. J. Mark. Manag. 2017, 33, 7–31. [Google Scholar] [CrossRef]
- Baldini, G.; Botterman, M.; Neisse, R.; Tallacchini, M. Ethical design on the internet of things. Sci. Eng. Ethics 2018, 24, 905–925. [Google Scholar] [CrossRef] [PubMed]
- Haddud, A.; DeSouza, A.; Khare, A.; Lee, H. Examining potential benefits and challenges associated with the Internet of Things integration in supply chains. J. Manuf. Technol. Manag. 2017, 28, 1055–1085. [Google Scholar] [CrossRef]
- Manavalan, E.; Jayakrishna, K. A review of Internet of Things (IoT) embedded sustainable supply chain for industry 4.0 requirements. Comput. Ind. Eng. 2019, 127, 925–953. [Google Scholar] [CrossRef]
- Nasirian, A.; Arashpour, M.; Abbasi, B. Critical literature review of labor multiskilling in construction. J. Constr. Eng. Manag. 2018, 145, 04018113. [Google Scholar] [CrossRef]
- Silva, S.; Nuzum, A.K.; Schaltegger, S. Stakeholder expectations on sustainability performance measurement and assessment. A systematic literature review. J. Clean. Prod. 2019, 217, 204–215. [Google Scholar] [CrossRef]
- Birkel, H.S.; Hartmann, E. Impact of IoT challenges and risks for SCM. Supply Chain Management: Int. J. 2019, 24, 39–61. [Google Scholar] [CrossRef]
- Badia-Melis, R.; Mc Carthy, U.; Ruiz-Garcia, L.; Garcia- Hierro, J.; Robla Villalba, J.I. New trends in cold chain monitoring applications–A review. Food Control 2018, 86, 170–182. [Google Scholar] [CrossRef]
- Ahmed, E.; Yaqoob, I.; Hashem, I.A.T.; Khan, I.; Ahmed, A.I.A.; Imran, M.; Vasilakos, A.V. The role of big data analytics in internet of things. Comput. Netw. 2017, 129, 459–471. [Google Scholar] [CrossRef]
- Bauk, S.; Draskovic, M.; Schmeink, A. Challenges of tagging goods in supply chains and a cloud perspective with focus on some transitional economies. Promet—Traffic Transp. 2017, 29, 109–120. [Google Scholar] [CrossRef]
- Bisaga, I.; Puzniak-Holford, N.; Grealish, A.; Baker-Brian, C.; Parikh, P. Scalable off-grid energy services enabled by IoT: A case study of BBOXX SMART solar. Energy Policy 2017, 109, 199–207. [Google Scholar] [CrossRef]
- De Cremer, D.; Nguyen, B.; Simkin, L. The integrity challenge of the internet-of-Things (IoT): On understanding its dark side. J. Mark. Manag. 2017, 33, 145–158. [Google Scholar] [CrossRef]
- Gu, F.; Ma, B.; Guo, J.; Summers, P.A.; Hall, P. Internet of things and big data as potential solutions to the problems in waste electrical and electronic equipment management: An exploratory study. Waste Manag. 2017, 68, 434–448. [Google Scholar] [CrossRef] [PubMed]
- Harwood, T.; Garry, T. Internet of Things: Understanding trust in techno-service systems. J. Serv. Manag. 2017, 28, 442–475. [Google Scholar] [CrossRef]
- Conti, M.; Dehghantanha, A.; Franke, K.; Watson, S. Internet of things security and forensics: Challenges and opportunities. Future Gener. Comput. Syst. 2018, 78, 544–546. [Google Scholar] [CrossRef]
- Docherty, I.; Marsden, G.; Anable, J. The governance of smart mobility. Transp. Res. Part A Policy Pract. 2018, 115, 114–125. [Google Scholar] [CrossRef]
- Khan, M.A.; Salah, K. IoT security: Review, blockchain solutions, and open challenges. Future Gener. Comput. Syst. 2018, 82, 395–411. [Google Scholar] [CrossRef]
- Tu, M.; Lim, M.K.; Yang, M.-F. IoT-based production logistics and supply chain system-Part 2: ioT-based cyber-physical system: A framework & evaluation. Ind. Manag. Data Syst. 2018, 118, 96–125. [Google Scholar] [CrossRef]
- Alaba, F.A.; Othman, M.; Hashem, I.A.T.; Alotaibi, F. Internet of things security: A survey. J. Netw. Comput. Appl. 2017, 88, 10–28. [Google Scholar] [CrossRef]
- Jin, X.; Chun, S.; Jung, J.; Lee, K.-H. A fast and scalable approach for IoT service selection based on a physical service model. Inf. Syst. Front. 2017, 19, 1357–1372. [Google Scholar] [CrossRef]
- Kache, F.; Seuring, S. Challenges and opportunities of digital information at the intersection of big data analytics and supply chain management. Int. J. Oper. Prod. Manag. 2017, 37, 10–36. [Google Scholar] [CrossRef]
- Kiel, D.; Müller, J.M.; Arnold, C.; Voigt, K.-I. Sustainable industrial value creation: Benefits and challenges of industry 4.0. Int. J. Innov. Manag. 2017, 21, 1740015–1740034. [Google Scholar] [CrossRef]
- Lowry, P.B.; Dinev, T.; Willison, R. Why security and privacy research lies at the Centre of the information systems (IS) artefact: Proposing a bold research agenda. Eur. J. Inf. Syst. 2017, 26, 546–563. [Google Scholar] [CrossRef]
- Ouaddah, A.; Mousannif, H.; Abou Elkalam, A.; Ait Ouahman, A. Access control in the internet of things: Big challenges and new opportunities. Comput. Netw. 2017, 112, 237–262. [Google Scholar] [CrossRef]
- Seol, S.; Lee, E.-K.; Kim, W. Indoor mobile object tracking using RFID. Future Gener. Comput. Syst. 2017, 76, 443–451. [Google Scholar] [CrossRef]
- Talavera, J.M.; Tobon, L.E.; Gomez, J.A.; Culman, M.A.; Aranda, J.M.; Parra, D.T.; Quiroz, L.A.; Hoyos, A.; Garreta, L.E. Review of IoT applications in agroindustrial and environmental fields. Comput. Electron. Agric. 2017, 142, 283–297. [Google Scholar] [CrossRef]
- Neirotti, P.; Raguseo, E.; Paolucci, E. How SMEs develop ICT-based capabilities in response to their environment: Past evidence and implications for the uptake of the new ICT paradigm. J. Enterp. Inf. Manag. 2018, 31, 10–37. [Google Scholar] [CrossRef]
- Shin, D.-H.; Park, Y.J. Understanding the internet of things ecosystem: Multi-level analysis of users, society, and ecology. Digit. Policy Regul. Gov. 2017, 19, 77–100. [Google Scholar] [CrossRef]
- Wang, J.; Yue, H. Food safety pre-warning system based on data mining for a sustainable food supply chain. Food Control 2017, 73, 223–229. [Google Scholar] [CrossRef]
- Vanderroost, M.; Ragaert, P.; Verwaeren, J.; De Meulenaer, B.; De Baets, B.; Devlieghere, F. The digitization of a food package’s life cycle: Existing and emerging computer systems in the logistics and post-logistics phase. Comput. Ind. 2017, 87, 15–30. [Google Scholar] [CrossRef]
- Bogle, I.D.L. A perspective on smart process manufacturing research challenges for process systems engineers. Engineering 2017, 3, 161–165. [Google Scholar] [CrossRef]
- Falkenreck, C.; Wagner, R. The internet of things—Chance and challenge in industrial business relationships. Ind. Mark. Manag. 2017, 66, 181–195. [Google Scholar] [CrossRef]
- Kshetri, N. The economics of the internet of things in the global South. Third World Q 2017, 38, 311–339. [Google Scholar] [CrossRef]
- Ochoa, S.F.; Fortino, G.; Di Fatta, G. Cyberphysical systems, internet of things and big data. Future Gener. Comput. Syst. 2017, 75, 82–84. [Google Scholar] [CrossRef]
- Zheng, M.; Wu, K. Smart spare parts management systems in semiconductor manufacturing. Ind. Manag. Data Syst. 2017, 117, 754–763. [Google Scholar] [CrossRef]
- Pishdar, M.; Ghasemzadeh, F.; Antucheviciene, J.; Saparauskas, J. Internet of things and its challenges in supply chain management; a rough strength-relation analysis method. E M Ekon. A Manag. 2018, 21, 208–222. [Google Scholar] [CrossRef]
- Zarpelãoa, B.B.; Miani, R.S.; Kawakani, C.T.; Alvarenga, S.C. A survey of intrusion detection in Internet of Things. J. Netw. Comput. Appl. 2017, 84, 25–37. [Google Scholar] [CrossRef]
- Bhatt, N.; Sarkar, D. Evaluation of success and risk factors for highway project performance through integrated analytical hierarchy process and fuzzy interpretive structural modelling. Int. J. Constr. Manag. 2020, 20, 653–665. [Google Scholar] [CrossRef]
- Hedieh Shakeri, H.; Khalilzadeh, M. Analysis of factors affecting project communications with a hybrid DEMATEL-ISM approach (A case study in Iran). Heliyon 2020, 6, e04430. [Google Scholar] [CrossRef]
- Saka, A.B.; Chan, D.W.M. Profound constraints to building information modelling (BIM) adoption in construction small and medium-sized enterprises (SMEs): An interpretive structural modelling approach. Constr. Innov. 2020, 20, 261–284. [Google Scholar] [CrossRef]
- Shrivas, A.; Singla, H.K. Analysis of interaction among the factors affecting delay in construction projects using interpretive structural modelling approach. Int. J. Constr. Manag. 2020, 1–9. [Google Scholar] [CrossRef]
- Jiang, X.; Lu, K.; Xia, B.; Liu, Y.; Cui, C. Identifying Significant Risks and Analyzing Risk Relationship for Construction PPP Projects in China Using Integrated FISM-MICMAC Approach. Sustainability 2019, 11, 5206. [Google Scholar] [CrossRef]
- Sarhan, J.G.; Xia, B.; Fawzia, S.; Karim, A.; Olanipekun, A.O.; Coffey, V. Framework for the implementation of lean construction strategies using the interpretive structural modelling (ISM) technique: A case of the Saudi construction industry. Eng. Constr. Arch. Manag. 2019, 27, 1–23. [Google Scholar] [CrossRef]
- Shen, L.; Yang, J.; Zhang, R.; Shao, C.; Song, X. The Benefits and Constraints for Promoting Bamboo as a Green Building Material in China—An Integrative Analysis. Sustainability 2019, 11, 2493. [Google Scholar] [CrossRef]
- Tan, T.; Chen, K.; Xue, F.; Weisheng, L. Constraints to Building Information Modelling (BIM) implementation in China’s prefabricated construction: An interpretive structural modelling (ISM) approach. J. Clean. Prod. 2019, 219, 949–959. [Google Scholar] [CrossRef]
- Gan, X.; Chang, R.; Zuo, J.; Wen, T.; Zillante, G. Constraints to the transition towards off-site construction in China: An Interpretive structural modelling approach. J. Clean. Prod. 2018, 197, 8–18. [Google Scholar] [CrossRef]
- Dandage, R.V.; Mantha, S.S.; Rane, S.B. Analysis of interactions among constraints in project risk management. J. Ind. Eng. Int. 2017, 14, 153–169. [Google Scholar] [CrossRef]
- Sodangi, M.; Kazmi, Z.A. Investigating the constraints for managing the protection of historic buildings in remote areas of Saudi Arabia: A DEMATEL modelling approach. J. Cult. Herit. Manag. Sustain. Dev. ahead-of-print. 2021. [Google Scholar] [CrossRef]
- Sodangi, M.; Kazmi, Z.A. Integrated Evaluation of the Impediments to the Adoption of Coconut Palm Wood as a Sustainable Material for Building Construction. Sustainability 2020, 12, 7676. [Google Scholar] [CrossRef]
- Kazmi, Z.A.; Sodangi, M. The 2005 Kashmir Earthquake—devastation of infrastructures. Proc. Inst. Civ. Eng. Struct. Build. 2019, 172, 490–501. [Google Scholar] [CrossRef]
- Enshassi, A.; Mohamed, S.; El Karriri, A. Factors affecting the bid/no bid decision in the Palestinian construction industry. J. Financ. Manag. Prop. Constr. 2010, 15, 118–142. [Google Scholar] [CrossRef]
- Naoum, G.S. Dissertation Research and Writing for Construction Students; Routledge: London, UK, 2012. [Google Scholar] [CrossRef]
- Chauhan, A.; Singh, A.; Jharkharia, S. An interpretive structural modeling (ISM) and decision-making trail and evaluation laboratory (DEMATEL) method approach for the analysis of constraints of waste recycling in India. J. Air Waste Manag. Assoc. 2018, 68, 100–110. [Google Scholar] [CrossRef] [PubMed]
- Chaghoshi, A.J.; Jazani, J.K.; Jafari, S. Relationships and ranking factors influencing the commercialization of research results, using techniques: DEMATEL and ISM-Case study of Iranian Research Organization for Science and Technology. Glob. J. Manag. Stud. Res. 2016, 3, 13–23. [Google Scholar]
- Riggins, F.J.; Wamba, S.F. Research directions on the adoption, usage, and impact of the Internet of Things through the use of big data analytics. In Proceedings of the 48th Hawaii International Conference on System Sciences, Kauai, HI, USA, 5–8 January 2015; pp. 1531–1540. [Google Scholar]
Publisher’s Note: MDPI stays neutral with regard to jurisdictional claims in published maps and institutional affiliations. |
© 2022 by the authors. Licensee MDPI, Basel, Switzerland. This article is an open access article distributed under the terms and conditions of the Creative Commons Attribution (CC BY) license (https://creativecommons.org/licenses/by/4.0/).


