Seismic Fragility of a Multi-Frame Box-Girder Bridge Influenced by Seismic Excitation Angles and Column Height Layouts
Abstract
:1. Introduction
2. Description and Modeling of the Example Bridge
3. Fragility Analysis Methodology and Functions
3.1. Component Fragility and the Probabilistic Seismic Demand Model (PSDM)
3.2. System Fragility, the Joint Probabilistic Seismic Demand Model (JPSDM), Monte Carlo Simulation
3.3. Limit State Models
4. Regression Analyses for Seismic Demands
5. Fragility Analyses of the Bridge Subjected to Different Excitation Angles
5.1. Primary Component Fragility Curves Subjected to Different Excitation Angles
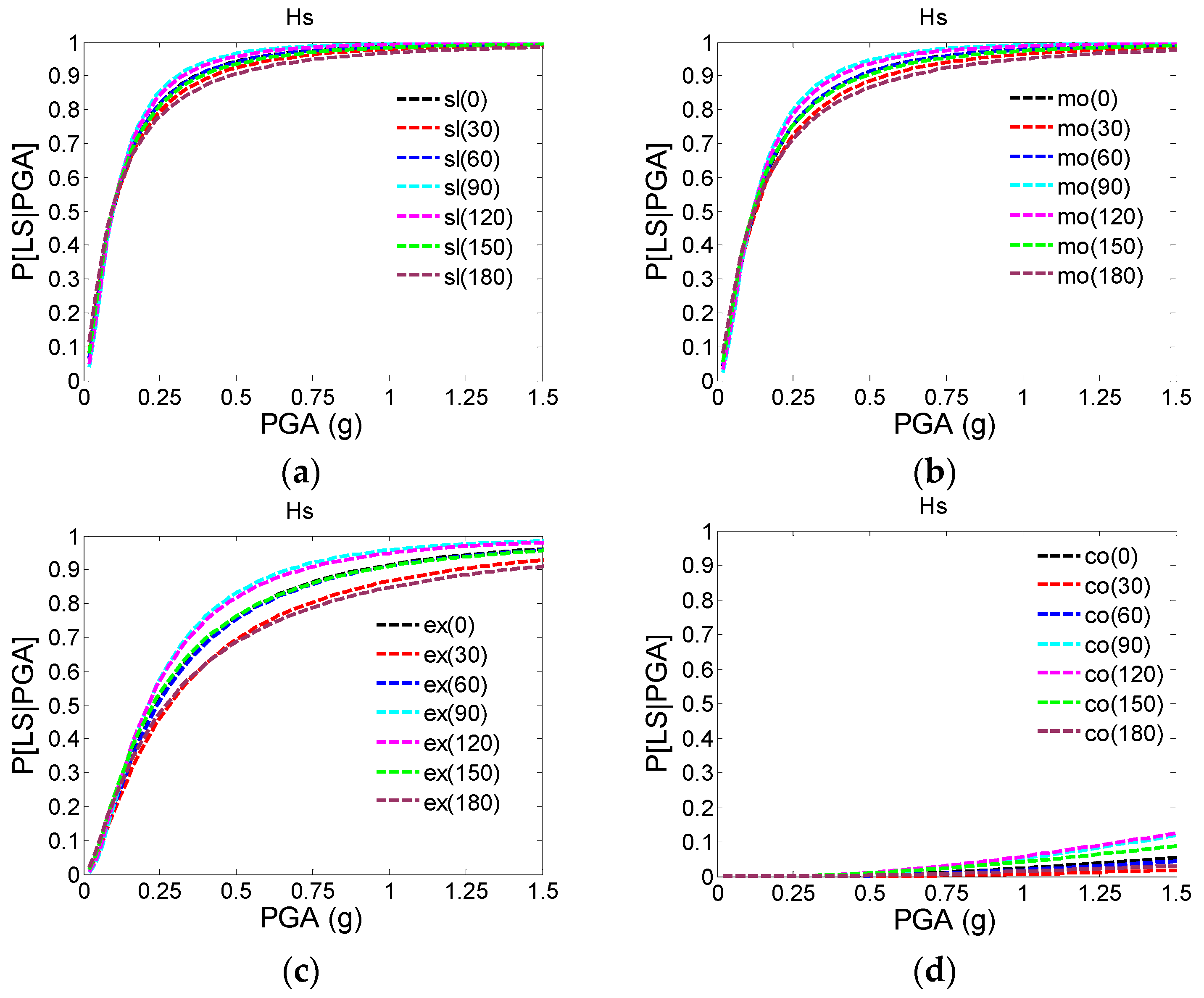
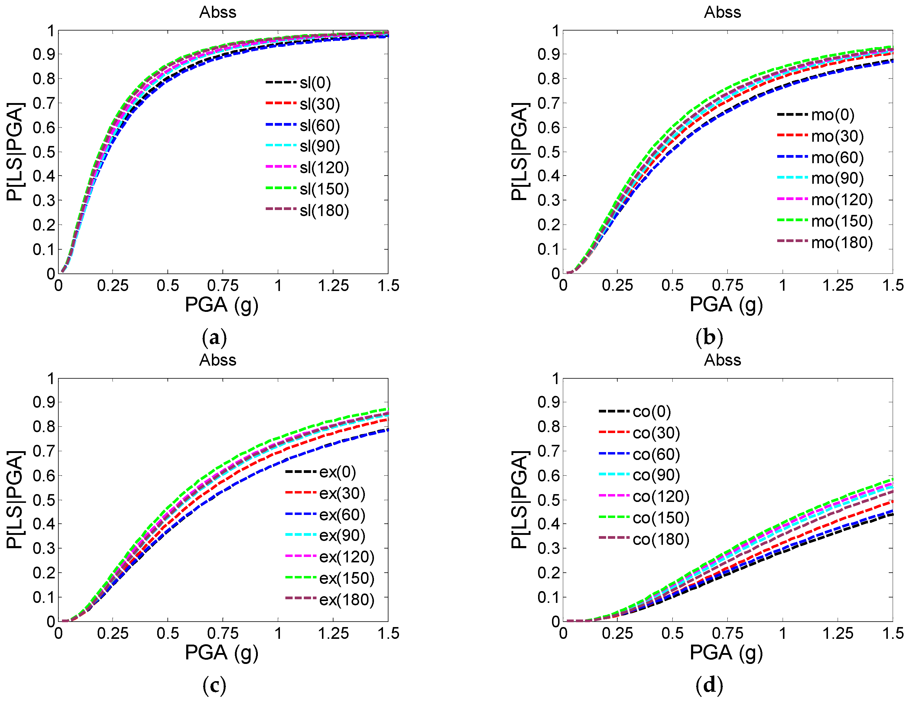
5.2. Secondary Component Fragility Curves Subjected to Different Excitation Angles
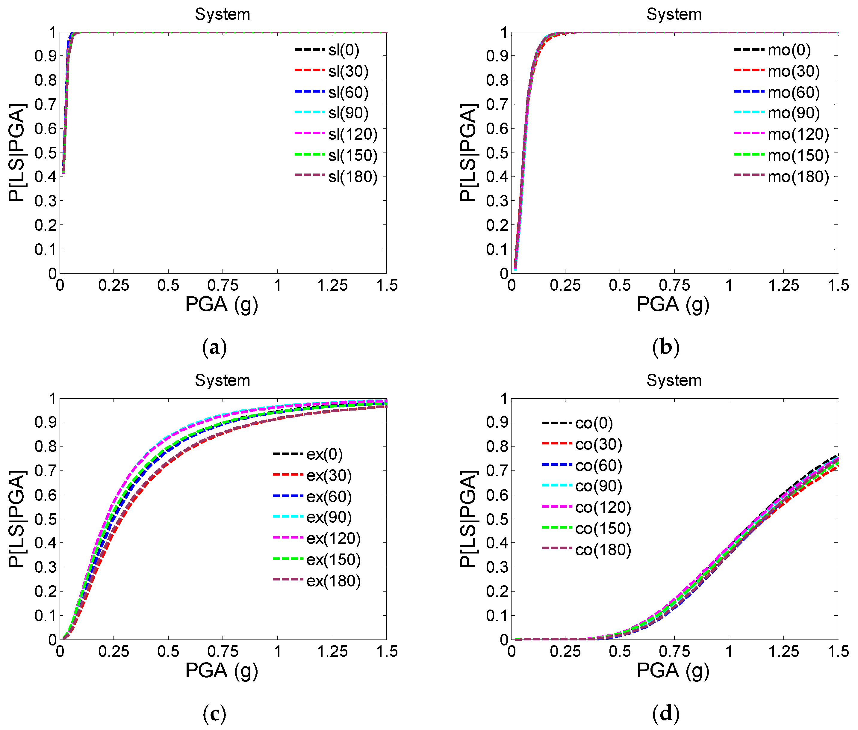
5.3. System Fragility Curves Subjected to Different Excitation Angles
6. Fragility Comparison between Symmetric and Asymmetric Column Height Layouts
7. Conclusions
Author Contributions
Funding
Institutional Review Board Statement
Informed Consent Statement
Data Availability Statement:
Conflicts of Interest
Appendix A. Fragility Surfaces
Appendix A.1. Primary Component Fragility Surfaces Subjected to Different Excitation Angles





Appendix A.2. Secondary Component Fragility Surfaces Subjected to Different Excitation Angles



Appendix A.3. System Fragility Surfaces Subjected to Different Excitation Angles

References
- Mehr, M.; Zaghi, A.E. Modified elastic dynamic analysis (EDA)for seismic demand on in-span hinge shear keys in multi-frame bridges. Transp. Res. Rec. 2018, 2672, 75–86. [Google Scholar] [CrossRef]
- Jeon, J.S.; Shafieezadeh, A.; DesRoches, R. Component fragility assessment of a long, curved multi-frame bridge: Uniform excitation versus spatially correlated ground motions. Struct. Eng. Mech. 2018, 65, 633–644. [Google Scholar] [CrossRef]
- Jeon, J.S.; Mangalathu, S.; Song, J.H.; Desroches, R. Parameterized seismic fragility curves for curved multi-frame concrete box-girder bridges using bayesian parameter estimation. J. Earthq. Eng. 2019, 23, 954–979. [Google Scholar] [CrossRef]
- Wu, T.; Sun, Q.S. Seismic Damage study of asymmetric continuous rigid frame bridge based on nonlinear time history analysis. Open Civ. Eng. J. 2015, 9, 489–494. [Google Scholar] [CrossRef]
- Wu, T.; Sun, Q.S. Study and analysis for seismic response of hinge in frame-style curved girder bridge. Eng. Mech. 2016, 33, 155–163. (In Chinese) [Google Scholar] [CrossRef]
- Kwag, S.; Hahm, D. Multi-objective-based seismic fragility relocation for a Korean nuclear power plant. Nat. Hazards 2020, 103, 3633–3659. [Google Scholar] [CrossRef]
- Pisharady, A.S.; Basu, P.C. Methods to derive seismic fragility of NPP components: A summary. Nucl. Eng. Des. 2010, 240, 3878–3887. [Google Scholar] [CrossRef]
- Gavabar, S.G.; Alembagheri, M. Structural Demand Hazard Analysis of Jointed Gravity Dam in View of Earthquake Uncertainty. KSCE J. Civ. Eng. 2018, 22, 3972–3979. [Google Scholar] [CrossRef]
- Gavabar, S.G.; Alembagheri, M. A Study on Seismic Performance and Fragility of Gravity Dams with Various Monolith Shapes Using Nonlinear IDA. Geotech. Geol. Eng. 2020, 38, 1133–1150. [Google Scholar] [CrossRef]
- Hurtado-Lopez, G.; Mayoral-Villa, J.M. Fragility curves for hardfill dams under seismic loading. Tecnolog. Y Cienc. Del Agua 2020, 11, 132–168. [Google Scholar] [CrossRef] [Green Version]
- Misra, S.; Padgett, J.E. Seismic Fragility of Railway Bridge Classes: Methods, Models, and Comparison with the State of the Art. J. Bridge Eng. 2019, 24, 04019116. [Google Scholar] [CrossRef]
- Zhang, C.; Lu, J.B.; Zhou, Z.G.; Yan, X.Y.; Xu, L.; Lin, J.J. Lateral Seismic Fragility Assessment of Cable-Stayed Bridge with Diamond-Shaped Concrete Pylons. Shock. Vib. 2021, 2021, 2847603. Available online: https://www.hindawi.com/journals/sv/2021/2847603/ (accessed on 17 August 2021).
- Ren, L.P.; Zhang, G.; Zhang, Y.F.; He, S.H. Seismic Fragility Analysis of V-Shaped Continuous Girder Bridges. KSCE J. Civ. Eng. 2020, 24, 835–846. [Google Scholar] [CrossRef]
- Argyroudis, S.; Tsinidis, G.; Gatti, F.; Pitilakis, K. Effects of SSI and lining corrosion on the seismic vulnerability of shallow circular tunnels. Soil Dyn. Earthq. Eng. 2017, 98, 244–256. [Google Scholar] [CrossRef]
- Nguyen, D.D.; Park, D.; Shamsher, S.; Nguyen, V.Q.; Lee, T.H. Seismic vulnerability assessment of rectangular cut-and-cover subway tunnels. Tunn. Undergr. Space Technol. 2019, 86, 247–261. [Google Scholar] [CrossRef]
- Wang, D.; Wang, X.W.; Xu, J.; Feng, D.C.; Xu, S. Framework for calculating seismic fragility function of urban road networks: A case study on Tangshan City, China. Struct. Infrastruct. Eng. 2020, 17, 1508–1522. [Google Scholar] [CrossRef]
- Che, F.; Yin, C.; Zhou, J.L.; Hu, Z.N.; Zhao, X.K.; Sheng, L.; Zhang, Q.; Cheng, X.Y.; Tang, G.T.; Zhang, H.; et al. Embankment Seismic Fragility Assessment under the Near-Fault Pulse-like Ground Motions by Applying the Response Surface Method. Shock. Vib. 2021, 2021, 8849043. Available online: https://www.hindawi.com/journals/sv/2021/8849043/ (accessed on 25 March 2021).
- Folic, R.; Cokic, M. Fragility and Vulnerability Analysis of an RC Building with the Application of Nonlinear Analysis. Buildings 2021, 11, 390. [Google Scholar] [CrossRef]
- Pnevmatikos, N.G.; Papagiannopoulos, G.A.; Papavasileiou, G.S. Fragility curves for mixed concrete/steel frames subjected to seismic excitation. Soil Dyn. Earthq. Eng. 2019, 116, 709–713. [Google Scholar] [CrossRef]
- Adhikari, R.; Rupakhety, R.; Giri, P.; Baruwal, R.; Subedi, R.; Gautam, R.; Gautam, D. Seismic Fragility Analysis of Low-Rise RC Buildings with Brick Infifills in High Seismic Region with Alluvial Deposits. Buildings 2022, 12, 72. [Google Scholar] [CrossRef]
- Soltani, M.; Amirabadi, R. Seismic Vulnerability Assessment of Pile-Supported Wharves Using Fragility Surfaces. J. Earthq. Eng. 2021, 1–16. [Google Scholar] [CrossRef]
- Zhao, Z.; Lu, X.W.; Guo, Y.; Zhao, X.F. Seismic Fragility Assessment of Base-Isolated Steel Water Storage Tank. Shock. Vib. 2020, 2020, 8835943. [Google Scholar] [CrossRef]
- Abbasi, M.; Moustafa, M.A. Time-dependent seismic fragilities of older and newly designed multi-frame reinforced concrete box-girder bridges in California. Earthq. Spectra 2019, 35, 233–266. [Google Scholar] [CrossRef]
- Sajed, M.; Tehrani, P. Effects of column and superstructure irregularity on the seismic response of four-span RC bridges. Structures 2020, 28, 1400–1412. [Google Scholar] [CrossRef]
- Li, X.; Chen, K.D.; Hu, P.; He, W.; Xiao, L.; Zhang, R. Effect of ECC jackets for enhancing the lateral cyclic behavior of RC bridge columns. Eng. Struct. 2020, 219, 110714. [Google Scholar] [CrossRef]
- Wu, T.; Sun, Q.S. Analysis of Seismic Damage to Multiple-Frame Style Curved Girder Bridges. J. Vib. Shock. 2016, 35, 111–118. (In Chinese) [Google Scholar] [CrossRef]
- Yang, C.S.W.; Werner, S.D.; DesRoches, R. Seismic fragility analysis of skewed bridges in the central southeastern United States. Eng. Struct. 2015, 83, 116–128. [Google Scholar] [CrossRef]
- Jeon, J.S.; DesRoches, R.; Kim, T.; Choi, E. Geometric parameters affecting seismic fragilities of curved multi-frame concrete box-girder bridges with integral abutments. Eng. Struct. 2016, 122, 121–143. [Google Scholar] [CrossRef]
- Furinghetti, M.; Pavese, A. Definition of a Simplified Design Procedure of Seismic Isolation Systems for Bridges. Struct. Eng. Int. 2020, 30, 381–386. [Google Scholar] [CrossRef]
- Ponzo, C.F.; Di Cesare, A.; Telesca, A.; Pavese, A.; Furinghetti, M. Advanced Modelling and Risk Analysis of RC Buildings with Sliding Isolation Systems Designed by the Italian Seismic Code. Appl. Sci. 2021, 11, 1938. [Google Scholar] [CrossRef]
- Pahlavan, H.; Zakeri, B.; Amiri, G.G. Probabilistic Performance Assessment of Retrofitted Horizontally Curved Multi-Frame RC Box-Girder Bridges. J. Earthq. Tsunami 2017, 11, 1750010. [Google Scholar] [CrossRef]
- Mehr, M.; Zaghi, A.E. Seismic response of multi-frame bridge. Bull. Earthq. Eng. 2016, 14, 1219–1243. [Google Scholar] [CrossRef]
- Aboutorabian, E.; Dehkordi, M.R. Numerical study of seismic response of irregular multi-frame reinforced concrete bridges. Proc. Inst. Civ. Eng.—Struct. Build. 2020, 173, 783–798. [Google Scholar] [CrossRef]
- Ramanathan, K.N. Next Generation Seismic Fragility Curves for California Bridges Incorporating the Evolution in Seismic Design Philosophy. Ph.D. Thesis, Georgia Institute of Technology, Atlanta, GA, USA, 2012. [Google Scholar]
- Wu, T.; Li, Z.; Liu, S.C. Elaborate modeling and fragility assessment of a multi-frame PC box-girder bridge with intermediate hinges in California. Shock. Vib. 2021, 2021, 6046209. [Google Scholar] [CrossRef]
- Chang, G.A.; Mander, J.B. Seismic Energy Based Fatigue Damage Analysis of Bridge Columns: Part I—Evaluation of Seismic Capacity; Technical Report 94-0006; NCEER: Buffalo, NY, USA, 1994. [Google Scholar]
- Lehman, D.; Moehle, J.; Mahin, S.; Calderone, A.; Henry, L. Experimental evaluation of the seismic performance of reinforced concrete bridge columns. J. Struct. Eng. 2004, 130, 869–879. [Google Scholar] [CrossRef]
- Muthukumar, S. A contact element approach with hysteresis damping for the analysis and design of pounding in bridges. Ph.D. Thesis, Georgia Institute of Technology, Atlanta, GA, USA, 2003. [Google Scholar]
- MSC Software Corporation. Nonlinear Finite Element Analysis of Elastomers. Available online: http://axelproducts.com/downloads/WP_Nonlinear_FEA-Elastomers.pdf (accessed on 30 November 2010).
- DesRoches, R.; Muthukumar, S. Implications of seismic pounding on the longitudinal response of multi-span bridges an analytical perspective. Earthq. Eng. Eng. Vib. 2004, 3, 57–65. [Google Scholar] [CrossRef]
- Shamsabadi, A.; Rollins, K.M.; Kapuskar, M. Nonlinear soil–abutment–bridge structure interaction for seismic performance-based design. J. Geotech. Geoenviron. Eng. 2007, 133, 707–720. [Google Scholar] [CrossRef]
- Gadre, A.; Dobry, R. Lateral cyclic loading centrifuge tests on square embedded footing. J. Geotech. Geoenvironmental Eng. 1998, 124, 1128–1138. [Google Scholar] [CrossRef]
- Megally, S.; Silva, P.F.; Seible, F. Seismic Response of Sacrificial Shear Keys in Bridge Abutments; Structural Systems Research Project, Report No. SSRR-2001/23; University of California: San Diego, CA, USA, 2002. [Google Scholar]
- Bozorgzadeh, A.; Megally, S.; Restrepo, J.I.; Ashford, S.A. Capacity evaluation of exterior sacrificial shear keys of bridge abutments. J. Bridge Eng. 2006, 11, 555–565. [Google Scholar] [CrossRef] [Green Version]
- Nielson, B.G.; DesRoches, R. Seismic fragility methodology for highway bridges using a component level approach. Earthq. Eng. Struct. Dyn. 2007, 36, 823–839. [Google Scholar] [CrossRef]
- Abbasi, M.; Moustafa, M.A. Probabilistic seismic assessment of as-built and retrofitted old and newly designed skewed multi-frame bridges. Soil Dyn. Earthq. Eng. 2019, 119, 170–186. [Google Scholar] [CrossRef]
- Song, Z.P.; Mao, J.C.; Tian, X.X.; Zhang, Y.W.; Wang, J.B. Optimization Analysis of Controlled Blasting for Passing through Houses at Close Range in Super-Large Section Tunnels. Shock. Vib. 2019, 2019, 1941436. [Google Scholar] [CrossRef] [Green Version]
- Hoang, P.H.; Phan, H.N.; Nguyen, D.T.; Paolacci, F. Kriging Metamodel-Based Seismic Fragility Analysis of Single-Bent Reinforced Concrete Highway Bridges. Buildings 2021, 11, 238. [Google Scholar] [CrossRef]
- Koniorczyk, M.; Grymin, W. Influence of the Thermal Conductivity and Ambient Temperature Uncertainty on the Heat Losses through the External Wall. Buildings 2021, 11, 84. [Google Scholar] [CrossRef]
- Ramanathan, K.N.; Padgett, J.E.; DesRoches, R. Temporal evolution of seismic fragility curves for concrete box-girder bridges in California. Eng. Struct. 2015, 97, 29–46. [Google Scholar] [CrossRef]
- Padgett, J.E.; DesRoches, R. Methodology for the development of analytical fragility curves for retrofitted bridges. Earthq. Eng. Struct. Dyn. 2008, 37, 1157–1174. [Google Scholar] [CrossRef]
- Shi, Q.X.; Ma, L.C.; Wang, Q.W.; Wang, B.; Yang, K. Seismic performance of square concrete columns reinforced with grade 600 Mpa longitudinal and transverse reinforcement steel under high axial load. Structures 2021, 32, 1955–1970. [Google Scholar] [CrossRef]
- Romero, S.; Rix, G.J. Regional Variations in Near-Surface Shear Wave Velocity in the Greater Memphis Area. Eng. Geol. 2001, 62, 137–158. [Google Scholar] [CrossRef]
- Rix, G.J.; Hebeler, G.L.; Orozco, M.C. Near-Surface Vs Profiling in the New Madrid Seismic Zone Using Surface Wave Methods. Seismol. Res. Lett. 2002, 73, 380–392. [Google Scholar] [CrossRef]
- DesRoches, R. Feasibility Studies for Improving Caltrans Bridge Fragility Relationships; Final Report No. CA12-1775; Division of Research, Innovation and System Information, California Department of Transportation: Sacramento, CA, USA, 2012. [Google Scholar]















| Components | Abbreviation | Units | Slight | Moderate | Extensive | Complete | |||||
|---|---|---|---|---|---|---|---|---|---|---|---|
| Med | Disp | Med | Disp | Med | Disp | Med | Disp | ||||
| Primary | Column | Column | μ | 0.90 | 0.35 | 4.0 | 0.35 | 9.0 | 0.35 | 14.0 | 0.35 |
| Abutment bearing | Abb | mm | 51.0 | 0.35 | 76.5 | 0.35 | 153.0 | 0.35 | 914.4 | 0.35 | |
| Hinge restrainer | Hs | mm | 27.3 | 0.35 | 31.1 | 0.35 | 46.4 | 0.35 | 358.8 | 0.35 | |
| Hinge (2,3) cur-duct Y | HmcY | μ | 0.15 | 0.35 | 1.0 | 0.35 | 19.0 | 0.35 | 24.0 | 0.35 | |
| Hinge (2,3) cur-duct Z | HmcZ | μ | 0.15 | 0.35 | 1.0 | 0.35 | 19.0 | 0.35 | 24.0 | 0.35 | |
| Secondary | Abutment-passive | Abss | mm | 19.5 | 0.35 | 50.8 | 0.35 | 76.2 (1000) | 0.35 | 228.6 (1000) | 0.35 |
| Abutment-trans | Abts | mm | 7.6 | 0.35 | 25.4 | 0.35 | 50.8 (1000) | 0.35 | 101.6 (1000) | 0.35 | |
| Abutment shear key | Absk | mm | 17.2 | 0.35 | 21.6 | 0.35 | 542.3 (1000) | 0.35 | 1063.0 | 0.35 | |
| Components | a | b | R2 | σ |
|---|---|---|---|---|
| Column | 2.379 | 1.448 | 0.888 | 0.459 |
| Abb | 4.188 | 0.267 | 0.618 | 0.188 |
| Hs | 4.670 | 0.585 | 0.525 | 0.497 |
| HmcY | −1.699 | 1.186 | 0.623 | 0.824 |
| HmcZ | 0.546 | 1.198 | 0.725 | 0.661 |
| Abss | 4.775 | 1.189 | 0.483 | 1.100 |
| Abts | 6.398 | 1.156 | 0.871 | 0.397 |
| Absk | 2.741 | 0.387 | 0.187 | 0.724 |
| Columns | 1# | 2# | 3# | 4# | 5# | 6# | 7# |
|---|---|---|---|---|---|---|---|
| Original height layout (Symmetric height layout) | 12.19 (same) | 23.16 (same) | 28.04 (same) | 34.14 (same) | 42.67 (28.04) | 26.82 (23.16) | 8.53 (12.19) |
Publisher’s Note: MDPI stays neutral with regard to jurisdictional claims in published maps and institutional affiliations. |
© 2022 by the authors. Licensee MDPI, Basel, Switzerland. This article is an open access article distributed under the terms and conditions of the Creative Commons Attribution (CC BY) license (https://creativecommons.org/licenses/by/4.0/).
Share and Cite
Wu, T.; Wang, L.; Zhao, L.; Fan, G.; Wang, J.; Yin, L.; Zhang, S.; Liu, S. Seismic Fragility of a Multi-Frame Box-Girder Bridge Influenced by Seismic Excitation Angles and Column Height Layouts. Buildings 2022, 12, 387. https://doi.org/10.3390/buildings12030387
Wu T, Wang L, Zhao L, Fan G, Wang J, Yin L, Zhang S, Liu S. Seismic Fragility of a Multi-Frame Box-Girder Bridge Influenced by Seismic Excitation Angles and Column Height Layouts. Buildings. 2022; 12(3):387. https://doi.org/10.3390/buildings12030387
Chicago/Turabian StyleWu, Tong, Luyao Wang, Liyang Zhao, Gangping Fan, Jiahui Wang, Lihui Yin, Shuang Zhang, and Shengchun Liu. 2022. "Seismic Fragility of a Multi-Frame Box-Girder Bridge Influenced by Seismic Excitation Angles and Column Height Layouts" Buildings 12, no. 3: 387. https://doi.org/10.3390/buildings12030387
APA StyleWu, T., Wang, L., Zhao, L., Fan, G., Wang, J., Yin, L., Zhang, S., & Liu, S. (2022). Seismic Fragility of a Multi-Frame Box-Girder Bridge Influenced by Seismic Excitation Angles and Column Height Layouts. Buildings, 12(3), 387. https://doi.org/10.3390/buildings12030387
