Theoretical and Numerical Study on the Pile Barrier in Attenuating Seismic Surface Waves
Abstract
1. Introduction
2. Theoretical Framework for Periodic Structures
2.1. Wave Equation
2.2. Periodic Boundary Conditions and Eigen Equation
3. Attenuation Properties of Surface Waves
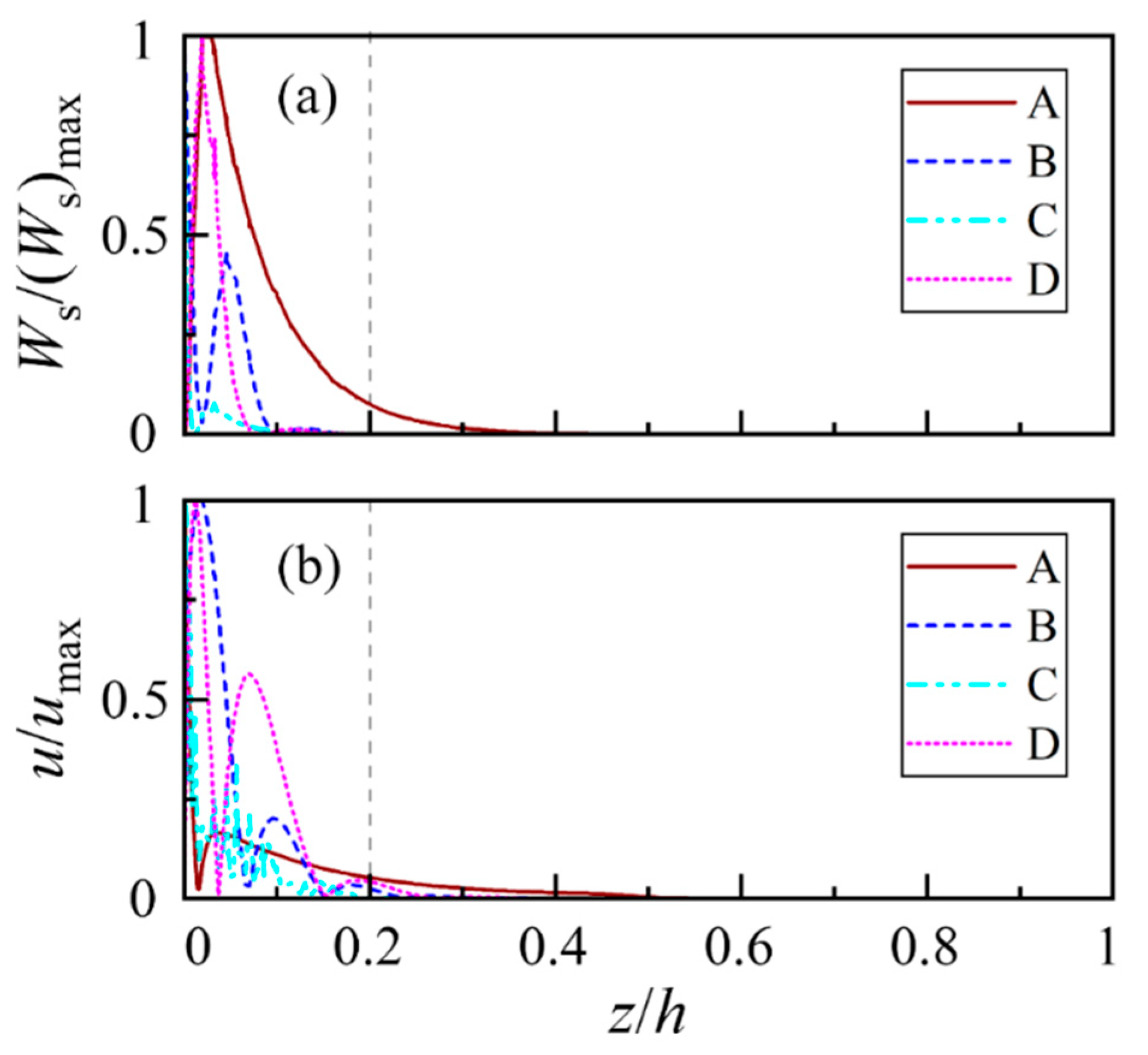
3.1. The Identification Method of Rayleigh Modes
3.2. Comparision and Verification
3.3. Dispersion Analysis for Surface Waves in Periodic Pilers
3.4. Vibration Mitigation Efficiency of Finite Unit Cells
4. Parametric Investigation
4.1. Influence of Pile Spacing
4.2. Influence of Pile Radius
4.3. Influence of the Number of Piles
4.4. Influence of Pile Length
4.5. Influence of Focal Distance
5. Transient Analysis
5.1. Harmonic Wave
5.2. Artificial Wave
5.3. Seismic Wave
6. Conclusions
- For the Bragg scattering periodic structure, such as the buried pile barrier, the energy distribution parameters method can effectively identify all the SW modes while the acoustic cone criterion fails, which may be due to the leakage of some SWs into BWs, resulting in evanescent waves.
- By comparing the dispersion curves of periodic piles composed of different inclusions, it can be found that lower stiffness and density are more conducive to the generation of low-frequency SWBG. Appropriate design of pile barriers is expected to obtain low-frequency and broadband attenuation.
- Pile spacing has a strong influence on LBF, UBF, and WBG of the periodic pile barriers. Both LBF and UBF of the first SWBG decrease monotonically with pile spacing increase, narrow pile spacing can widen the WAZ and results in more broadband performance.
- A certain number of piles results in a significant increase in the periodic pile barriers. However, a further increase in the number of piles cannot widen the WBG and the isolation effect obviously cannot improve.
- Due to the unique properties of Rayleigh waves, obvious attenuation effect can be observed only when the pile length is increased within a certain range.
Author Contributions
Funding
Data Availability Statement
Conflicts of Interest
References
- Graff, K.F. Wave Motion in Elastic Solids; Courier Corporation: Chelmsford, MA, USA, 2012. [Google Scholar]
- Herbut, A.; Rybak, J.; Brząkała, W. On a Sensor Placement Methodology for Monitoring the Vibrations of Horizontally Excited Ground. Sensors 2020, 20, 1938. [Google Scholar] [CrossRef] [PubMed]
- Chen, J.; Zhao, C.; Xu, Q.; Yuan, C. Seismic analysis and evaluation of the base isolation system in AP1000 NI under SSE loading. Nucl. Eng. Des. 2014, 278, 117–133. [Google Scholar] [CrossRef]
- Zhao, C.; Chen, J.; Xu, Q. FSI effects and seismic performance evaluation of water storage tank of AP1000 subjected to earthquake loading. Nucl. Eng. Des. 2014, 280, 372–388. [Google Scholar] [CrossRef]
- Zhao, C.; Chen, J.; Xu, Q.; Yang, X. Sensitive analysis of water levels and air intakes on natural frequency of AP1000 nuclear island building considering FSI effects. Ann. Nucl. Energy 2015, 78, 1–9. [Google Scholar] [CrossRef]
- Zhao, C.; Yu, N.; Mo, Y.L. Seismic fragility analysis of AP1000 SB considering fluid-structure interaction effects. Structures 2020, 23, 103–110. [Google Scholar] [CrossRef]
- Zhao, C.; Yu, N.; Oz, Y.; Wang, J.; Mo, Y.L. Seismic fragility analysis of nuclear power plant structure under far-field ground motions. Eng. Struct. 2020, 219, 110890. [Google Scholar] [CrossRef]
- Zoccali, P.; Cantisani, G.; Loprencipe, G. Ground-vibrations induced by trains: Filled trenches mitigation capacity and length influence. Constr. Build. Mater. 2015, 74, 1–8. [Google Scholar] [CrossRef]
- Brûlé, S.; Javelaud, E.H.; Enoch, S.; Guenneau, S. Experiments on Seismic Metamaterials: Molding Surface Waves. Phys. Rev. Lett. 2014, 112, 133901. [Google Scholar] [CrossRef]
- Pu, X.; Shi, Z. Periodic pile barriers for Rayleigh wave isolation in a poroelastic half-space. Soil Dyn. Earthq. Eng. 2019, 121, 75–86. [Google Scholar] [CrossRef]
- Woods, R.D. Screening of Surface Wave in Soils. J. Soil Mech. Found. Div. 1968, 94, 951–979. [Google Scholar] [CrossRef]
- Çelebi, E.; Fırat, S.; Beyhan, G.; Çankaya, İ.; Vural, İ.; Kırtel, O. Field experiments on wave propagation and vibration isolation by using wave barriers. Soil Dyn. Earthq. Eng. 2009, 29, 824–833. [Google Scholar] [CrossRef]
- Alzawi, A.; Hesham El Naggar, M. Full scale experimental study on vibration scattering using open and in-filled (GeoFoam) wave barriers. Soil Dyn. Earthq. Eng. 2011, 31, 306–317. [Google Scholar] [CrossRef]
- Huang, H.W.; Zhang, B.; Wang, J.; Menq, F.Y.; Nakshatrala, K.B.; Mo, Y.L.; Stokoe, K.H. Experimental study on wave isolation performance of periodic barriers. Soil Dyn. Earthq. Eng. 2021, 144, 106602. [Google Scholar] [CrossRef]
- Saikia, A.; Das, U.K. Analysis and design of open trench barriers in screening steady-state surface vibrations. Earthq. Eng. Eng. Vib. 2014, 13, 545–554. [Google Scholar] [CrossRef]
- Çelebi, E.; Kırtel, O. Non-linear 2-D FE modeling for prediction of screening performance of thin-walled trench barriers in mitigation of train-induced ground vibrations. Constr. Build. Mater. 2013, 42, 122–131. [Google Scholar] [CrossRef]
- Zhao, C.; Zeng, C.; Huang, H.; Dai, J.; Bai, W.; Wang, J.; Mo, Y.L. Preliminary study on the periodic base isolation effectiveness and experimental validation. Eng. Struct. 2021, 226, 111364. [Google Scholar] [CrossRef]
- Zhao, C.; Zeng, C.; Witarto, W.; wen Huang, H.; Dai, J.; Mo, Y.L. Isolation performance of a small modular reactor using 1D periodic foundation. Eng. Struct. 2021, 244, 112825. [Google Scholar] [CrossRef]
- Witarto, W.; Nakshatrala, K.B.; Mo, Y.-L. Global sensitivity analysis of frequency band gaps in one-dimensional phononic crystals. Mech. Mater. 2019, 134, 38–53. [Google Scholar] [CrossRef]
- Zeng, C.; Zhao, C.; Zeighami, F. Seismic surface wave attenuation by resonant metasurfaces on stratified soil. Earthq. Eng. Struct. Dyn. 2022, 51, 1201–1223. [Google Scholar] [CrossRef]
- Huang, J.; Liu, W.; Shi, Z. Surface-wave attenuation zone of layered periodic structures and feasible application in ground vibration reduction. Constr. Build. Mater. 2017, 141, 1–11. [Google Scholar] [CrossRef]
- Palermo, A.; Krödel, S.; Marzani, A.; Daraio, C. Engineered metabarrier as shield from seismic surface waves. Sci. Rep. 2016, 6, 39356. [Google Scholar] [CrossRef] [PubMed]
- Sigalas, M.M.; Economou, E.N. Elastic and acoustic wave band structure. J. Sound Vib. 1992, 158, 377–382. [Google Scholar] [CrossRef]
- Pu, X.; Shi, Z. A novel method for identifying surface waves in periodic structures. Soil Dyn. Earthq. Eng. 2017, 98, 67–71. [Google Scholar] [CrossRef]
- Hu, L.X.; Liu, L.P.; Bhattacharya, K. Existence of Surface Waves and Band Gaps in Periodic Heterogeneous Half-spaces. J. Elast. 2012, 107, 65–79. [Google Scholar] [CrossRef]
- Badreddine Assouar, M.; Oudich, M. Dispersion curves of surface acoustic waves in a two-dimensional phononic crystal. Appl. Phys. Lett. 2011, 99, 123505. [Google Scholar] [CrossRef]
- Oudich, M.; Badreddine Assouar, M. Surface acoustic wave band gaps in a diamond-based two-dimensional locally resonant phononic crystal for high frequency applications. J. Appl. Phys. 2012, 111, 014504. [Google Scholar] [CrossRef]
- Huang, J.; Shi, Z. Attenuation zones of periodic pile barriers and its application in vibration reduction for plane waves. J. Sound Vib. 2013, 332, 4423–4439. [Google Scholar] [CrossRef]
- Huang, J.; Shi, Z. Application of periodic theory to rows of piles for horizontal vibration attenuation. Int. J. Geomech. 2013, 13, 132–142. [Google Scholar] [CrossRef]
- Achaoui, Y.; Antonakakis, T.; Brûlé, S.; Craster, R.; Enoch, S.; Guenneau, S. Clamped seismic metamaterials: Ultra-low frequency stop bands. New J. Phys. 2017, 19, 063022. [Google Scholar] [CrossRef]
- Wu, X.; Wen, Z.; Jin, Y.; Rabczuk, T.; Zhuang, X.; Djafari-Rouhani, B. Broadband Rayleigh wave attenuation by gradient metamaterials. Int. J. Mech. Sci. 2021, 205, 106592. [Google Scholar] [CrossRef]
- Jones, S. Harmonic response of layered halfspace using reduced finite element model with perfectly-matched layer boundaries. Soil Dyn. Earthq. Eng. 2017, 92, 1–8. [Google Scholar] [CrossRef]
- Molerón, M.; Félix, S.; Pagneux, V.; Richoux, O. Sound propagation in periodic urban areas. J. Appl. Phys. 2012, 111, 114906. [Google Scholar] [CrossRef]
- Achaoui, Y.; Khelif, A.; Benchabane, S.; Robert, L.; Laude, V. Experimental observation of locally-resonant and Bragg band gaps for surface guided waves in a phononic crystal of pillars. Phys. Rev. B 2011, 83, 104201. [Google Scholar] [CrossRef]


















| Material | Young’s Modulus (MPa) | Density (kg/m3) | Poisson Ratio |
|---|---|---|---|
| Soil | 46 | 1800 | 0.25 |
| Polyfoam | 11.8 | 80 | 0.4 |
| EPS geofoam | 37 | 60 | 0.32 |
| Concrete | 11,316 | 2400 | 0.25 |
| Fly ash | 25 | 500 | 0.35 |
| Steel | 200,000 | 7850 | 0.33 |
| Inclusion | LBF (Hz) | UBF (Hz) | WBG (Hz) |
|---|---|---|---|
| EPS geofoam | 17.41 | 22.76 | 5.62 |
| Polyfoam | 12.91 | 18.39 | 5.48 |
| Concrete | 31.23 | 49.01 | 17.78 |
| Fly ash | 14.68 | 18.54 | 3.86 |
| Steel | 36.24 | 49.16 | 12.82 |
Publisher’s Note: MDPI stays neutral with regard to jurisdictional claims in published maps and institutional affiliations. |
© 2022 by the authors. Licensee MDPI, Basel, Switzerland. This article is an open access article distributed under the terms and conditions of the Creative Commons Attribution (CC BY) license (https://creativecommons.org/licenses/by/4.0/).
Share and Cite
Zhao, C.; Zeng, C.; Wang, Y.; Bai, W.; Dai, J. Theoretical and Numerical Study on the Pile Barrier in Attenuating Seismic Surface Waves. Buildings 2022, 12, 1488. https://doi.org/10.3390/buildings12101488
Zhao C, Zeng C, Wang Y, Bai W, Dai J. Theoretical and Numerical Study on the Pile Barrier in Attenuating Seismic Surface Waves. Buildings. 2022; 12(10):1488. https://doi.org/10.3390/buildings12101488
Chicago/Turabian StyleZhao, Chunfeng, Chao Zeng, Yinzhi Wang, Wen Bai, and Junwu Dai. 2022. "Theoretical and Numerical Study on the Pile Barrier in Attenuating Seismic Surface Waves" Buildings 12, no. 10: 1488. https://doi.org/10.3390/buildings12101488
APA StyleZhao, C., Zeng, C., Wang, Y., Bai, W., & Dai, J. (2022). Theoretical and Numerical Study on the Pile Barrier in Attenuating Seismic Surface Waves. Buildings, 12(10), 1488. https://doi.org/10.3390/buildings12101488
