Hot Deformation Behavior and Constitutive Modeling of H13-Mod Steel
Abstract
1. Introduction
2. Experimental
3. Results and Discussion
3.1. True Stress-Strain Curves
3.2. Kinetic Analysis
3.3. Processing Map
3.4. Microstructure
4. Conclusions
- (1)
- In the initial stage of deformation, as the strain increases, the flow stress rapidly increases to a peak. After reaching the peak stress, the flow curve exhibits significant flow softening at low strain rates, mainly related to deformation heating and dynamic changes such as DRV and DRX. At high strain rates, flow softening is reduced by the higher work-hardening rate.
- (2)
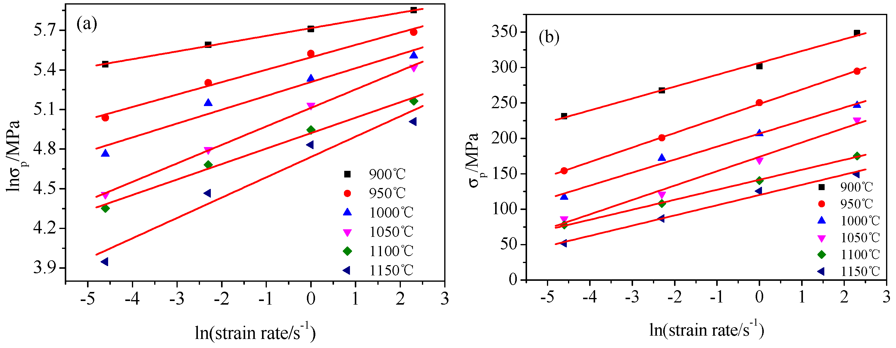
- The relationship between peak stress, strain rate, and deformation temperature can be expressed by .
- (3)
- A good linear correlation exists between peak stress (strain), critical stress (strain) stable stress, peak stress and Z parameters.
- (4)
- The relationship between material constants (α, Q, n, and lnA) and true strain in the Arrhenius-type constitutive equation is established by a sixth-order polynomial. The predicted flow stress values of the constitutive equations are in good agreement with the experimental values, indicating that the constitutive equation can accurately estimate the flow stress of H13-mod steel.
- (5)
- The processing maps under different strains were established. The instability region mostly corresponded to high-strain-rate conditions; however, the microstructure did not show any signs of instability at high temperatures and high strain rates. By studying the thermal compression test under different deformation amounts, we determined that the processing temperature is 998–1026 °C and 1140–1150 °C and the strain rate is 0.01–0.02 s−1 and 0.01–0.057 s−1. Moreover, the true strain does not exceed 0.6.
Author Contributions
Funding
Conflicts of Interest
References
- Zhang, Z.J.; Zhang, L.; He, J. The status and prospect of shield cutters industry. Cem. Carbide 2015, 32, 340–346. [Google Scholar]
- Rainer, B.; Kurt, K.; Karl-Heinz, O.; Axel, N. Meisselwerkzeug EP0586337A2. 9 March 1994. [Google Scholar]
- Khan, P.L.; Bhivsane, S.V. Experimental Analysis and Investigation of Machining Parameters in Finish Hard Turning of AISI 4340 Steel. Proced. Manuf. 2018, 20, 265–270. [Google Scholar] [CrossRef]
- Jia, X.M.; Chai, J.R. Study on Tribology Performance and Wear Controlling of 9Cr2Mo Steel. Adv. Mater. Res. 2010, 139–141, 414–417. [Google Scholar] [CrossRef]
- Yan, H.; Chen, L.; Ruan, X.M. Tempering process of 5Cr5MoSiV1 steel for shield tools. Trans. Mater. Heat Treat. 2013, 34, 50–55. [Google Scholar]
- Li, S.S.; Liu, Y.H.; Song, Y.L.; Kong, L.; Zhang, R.H.; Li, T.J. Microstructure, mechanical properties and strengthening mechanisms of 5Cr5MoV modified by aluminum. Mater. Des. 2015, 83, 483–492. [Google Scholar] [CrossRef]
- Elias, C.N.; Viana, C.S.D.C. Effect of ausforming on microstructure and hardness of AISI H-13 tool steel modified with niobium. Met. Sci. J. 1992, 8, 785–790. [Google Scholar] [CrossRef]
- Lachenicht, V.; Scharf, G.; Zebrowski, D.; Shalimov, A. Spray forming—A promising process for making high-quality steels and alloys. Metallurgist 2011, 54, 656–668. [Google Scholar] [CrossRef]
- Sahu, S.N.; Harikishore, S.; Koria, S.C. Solidification behaviour of droplets in spray deposition. Powder Metall. 2013, 48, 270–276. [Google Scholar] [CrossRef]
- Grant, P.S. Solidification in Spray Forming. Metall. Mater. Trans. A 2007, 38, 1520–1529. [Google Scholar] [CrossRef]
- Lin, Y.; Mchugh, K.M.; Zhou, Y.; Lavernia, E.J. Microstructure and hardness of spray-formed chromium-containing steel tooling. Scr. Mater. 2006, 55, 581–584. [Google Scholar] [CrossRef]
- Kheirandish, S.; Noorian, A. Effect of Niobium on Microstructure of Cast AISI H13 Hot Work Tool Steel. J. Iron Steel Res. (Int.) 2008, 15, 61–66. [Google Scholar] [CrossRef]
- Molinari, A.; Pellizzari, M.; Gialanella, S.; Straffelini, G.; Stiasny, K.H. Effect of deep cryogenic treatment on the mechanical properties of tool steels. J. Mater. Process. Tech. 2001, 118, 350–355. [Google Scholar] [CrossRef]
- Samantaray, D.; Mandal, S.; Bhaduri, A.K. Optimization of hot working parameters for thermo-mechanical processing of modified 9Cr–1Mo (P91) steel employing dynamic materials model. Mater. Sci. Eng. A 2011, 528, 5204–5211. [Google Scholar] [CrossRef]
- Samantaray, D.; Mandal, S.; Jayalakshmi, M.; Athreya, C.N.; Bhaduri, A.K.; Sarma, V.S. New insights into the relationship between dynamic softening phenomena and efficiency of hot working domains of a nitrogen enhanced 316L(N) stainless steel. Mater. Sci. Eng. A 2014, 598, 368–375. [Google Scholar] [CrossRef]
- Prasad, Y.V.R.K.; Seshacharyulu, T. Modelling of hot deformation for microstructural control. Metall. Rev. 1998, 43, 243–258. [Google Scholar] [CrossRef]
- Venugopal, S.; Mannan, S.L.; Rodriguez, P. Strategy for the design of thermomechanical processes for AISI type 304L stainless steel using dynamic materials model (DMM) stability criteria and model for the evolution of microstructure. J. Mater. Sci. 2004, 39, 5557–5560. [Google Scholar] [CrossRef]
- Dehghan-Manshadi, A.; Hodgson, P.D. Effect of δ-ferrite co-existence on hot deformation and recrystallization of austenite. J. Mater. Sci. 2008, 43, 6272. [Google Scholar] [CrossRef]
- Gavard, L.; Montheillet, F.; Coze, J.L. The Effect of Purity on Dynamic Recrystallization in Austenitic Stainless Steels. Mater. Trans. JIM 2007, 41, 113–115. [Google Scholar] [CrossRef]
- Momeni, A.; Dehghani, K. Characterization of hot deformation behavior of 410 martensitic stainless steel using constitutive equations and processing maps. Mater. Sci. Eng. A 2010, 527, 5467–5473. [Google Scholar] [CrossRef]
- Saboori, A.; Pavese, M.; Biamino, S.; Fino, P.; Lombardi, M. Determination of critical condition for initiation of dynamic recrystallization in Zr-1%Nb alloy. J. Alloy. Compd. 2018, 757, 1–7. [Google Scholar] [CrossRef]
- Wu, H.; Wen, S.P.; Huang, H.; Wu, X.L.; Gao, K.Y.; Wang, W.; Nie, Z.R. Hot deformation behavior and constitutive equation of a new type Al–Zn–Mg–Er–Zr alloy during isothermal compression. Mater. Sci. Eng. A 2016, 651, 415–424. [Google Scholar] [CrossRef]
- Tan, Y.B.; Ma, Y.H.; Zhao, F. Hot deformation behavior and constitutive modeling of fine grained Inconel 718 superalloy. J. Alloy. Compd. 2018, 741, 85–96. [Google Scholar] [CrossRef]
- Zhang, C.; Zhang, L.; Shen, W.; Liu, C.; Xia, Y.; Li, R. Study on constitutive modeling and processing maps for hot deformation of medium carbon Cr–Ni–Mo alloyed steel. Mater. Des. 2016, 90, 804–814. [Google Scholar] [CrossRef]
- Yin, F.; Hua, L.; Mao, H.; Han, X. Constitutive modeling for flow behavior of GCr15 steel under hot compression experiments. Mater. Des. 2013, 43, 393–401. [Google Scholar] [CrossRef]
- Ren, F.C.; Chen, J.; Chen, F. Constitutive modeling of hot deformation behavior of X20Cr13 martensitic stainless steel with strain effect. Trans. Nonferrous Met. Soc. China 2014, 24, 1407–1413. [Google Scholar] [CrossRef]
- Sivaprasad, P.V.; Venugopal, S.; Venugopal, S.; Maduraimuthu, V.; Vasudevan, M.; Mannan, S.L.; Prasad, Y.V.R.K.; Chaturvedi, R.C. Validation of processing maps for a 15Cr–15Ni–2.2Mo–0.3Ti austenitic stainless steel using hot forging and rolling tests. J. Mater. Process. Tech. 2003, 132, 262–268. [Google Scholar] [CrossRef]
- Rao, K.P.; Prasad, Y.V.R.K.; Suresh, K.; Dharmendra, C.; Hort, N.; Kainer, K.U. Compressive Strength and Hot Deformation Behavior of TX32 Magnesium Alloy with 0.4% Al and 0.4% Si Additions; Springer International Publishing: Berlin, Germany, 2011; pp. 6964–6970. [Google Scholar]
- Sen, I.; Kottada, R.S.; Ramamurty, U. High temperature deformation processing maps for boron modified Ti–6Al–4V alloys. Mater. Sci. Eng. A 2010, 527, 6157–6165. [Google Scholar] [CrossRef]
- Han, Y.; Yan, S. Effects of temperature and strain rate on the dynamic recrystallization of a medium-high-carbon high-silicon bainitic steel during hot deformation. Vacuum 2018, 148, 78–87. [Google Scholar] [CrossRef]
- Xu, L.; Chen, L.; Chen, G.; Wang, M. Hot deformation behavior and microstructure analysis of 25Cr3Mo3NiNb steel during hot compression tests. Vacuum 2018, 147, 8–17. [Google Scholar] [CrossRef]
- Chen, X.M.; Lin, Y.C.; Wen, D.X.; Zhang, J.L.; He, M. Dynamic recrystallization behavior of a typical nickel-based superalloy during hot deformation. Mater. Des. 2014, 57, 568–577. [Google Scholar] [CrossRef]
- Sellars, C.M.; Tegart, W.J.M.G. Relationship between strength and structure in deformation at elevated temperatures. Mem. Sci. Rev. Met. 1966, 63. [Google Scholar]
- Zener, C.; Hollomon, J.H. Effect of Strain Rate Upon Plastic Flow of Steel. J. Appl. Phy. 1944, 15, 22–32. [Google Scholar] [CrossRef]
- Lin, Y.C.; Xia, Y.C.; Chen, X.M.; Chen, M.S. Constitutive descriptions for hot compressed 2124-T851 aluminum alloy over a wide range of temperature and strain rate. Comput. Mater. Sci. 2010, 50, 227–233. [Google Scholar] [CrossRef]
- Cai, J.; Li, F.; Liu, T.; Chen, B.; He, M. Constitutive equations for elevated temperature flow stress of Ti–6Al–4V alloy considering the effect of strain. Mater. Des. 2011, 32, 1144–1151. [Google Scholar] [CrossRef]
- Samantaray, D.; Phaniraj, C.; Mandal, S.; Bhaduri, A.K. Strain dependent rate equation to predict elevated temperature flow behavior of modified 9Cr-1Mo (P91) steel. Mater. Sci. Eng. A 2011, 528, 1071–1077. [Google Scholar] [CrossRef]
- Ashtiani, H.R.R.; Parsa, M.H.; Bisadi, H. Constitutive equations for elevated temperature flow behavior of commercial purity aluminum. Mater. Sci. Eng. A 2012, 545, 61–67. [Google Scholar] [CrossRef]
- Mandal, S.; Rakesh, V.; Sivaprasad, P.V.; Venugopal, S.; Kasiviswanathan, K.V. Constitutive equations to predict high temperature flow stress in a Ti-modified austenitic stainless steel. Mater. Sci. Eng. A 2009, 500, 114–121. [Google Scholar] [CrossRef]
- Abbasi-Bani, A.; Zarei-Hanzaki, A.; Pishbin, M.H.; Haghdadi, N. A comparative study on the capability of Johnson–Cook and Arrhenius-type constitutive equations to describe the flow behavior of Mg–6Al–1Zn alloy. Mech. Mater. 2014, 71, 52–61. [Google Scholar] [CrossRef]
- Liao, C.; Wu, H.; Wu, C.; Zhu, F.; Lee, S. Hot deformation behavior and flow stress modeling of annealed AZ61 Mg alloys. Prog. Nat. Sci. Mater. Int. 2014, 24, 253–265. [Google Scholar] [CrossRef]
- Junior, J.; Moreira, A.; Balancin, O. Prediction of steel flow stresses under hot working conditions. Mater. Res. 2005, 8, 309–315. [Google Scholar] [CrossRef]
- Prasad, Y.V.R.K.; Gegel, H.L.; Doraivelu, S.M.; Malas, J.C.; Morgan, J.T.; Lark, K.A.; Barker, D.R. Modeling of dynamic material behavior in hot deformation: Forging of Ti-6242. Metall. Trans. A 1984, 15, 1883–1892. [Google Scholar] [CrossRef]
- Prasad, Y.V.R.K. Author’s reply: Dynamic materials model: Basis and principles. Metall. Mater. Trans. A 1996, 27, 235–236. [Google Scholar] [CrossRef]
- Murty, S.V.S.N.; Rao, B.N. Ziegler’s Criterion on the Instability Regions in Processing Maps. J. Mater. Sci. Lett. 1998, 17, 1203–1205. [Google Scholar] [CrossRef]
- Wang, Y.; Pan, Q.; Song, Y.; Li, C.; Li, Z. Hot deformation and processing maps of X-750 nickel-based superalloy. Mater. Des. 2013, 51, 154–160. [Google Scholar] [CrossRef]
- Yang, Z.; Zhang, F.; Zheng, C.; Zhang, M.; Lv, B.; Qu, L. Study on hot deformation behaviour and processing maps of low carbon bainitic steel. Mater. Des. 2015, 66, 258–266. [Google Scholar] [CrossRef]
- Quan, G.Z.; Zhao, L.; Chen, T.; Wang, Y.; Mao, Y.P.; Lv, W.Q.; Zhou, J. Identification for the optimal working parameters of as-extruded 42CrMo high-strength steel from a large range of strain, strain rate and temperature. Mater. Sci. Eng. A 2012, 538, 364–373. [Google Scholar] [CrossRef]
- Peng, X.; Guo, H.; Shi, Z.; Qin, C.; Zhao, Z.; Yao, Z. Study on the hot deformation behavior of TC4-DT alloy with equiaxed α + β starting structure based on processing map. Mater. Sci. Eng. A 2014, 605, 80–88. [Google Scholar] [CrossRef]
- Chiba, A.; Lee, S.H.; Matsumoto, H.; Nakamura, M. Construction of processing map for biomedical Co–28Cr–6Mo–0.16N alloy by studying its hot deformation behavior using compression tests. Mater. Sci. Eng. A 2009, 513, 286–293. [Google Scholar] [CrossRef]
- Balasubrahmanyam, V.V.; Prasad, Y.V.R.K. Deformation behaviour of beta titanium alloy Ti–10V–4.5Fe–1.5Al in hot upset forging. Mater. Sci. Eng. A 2002, 336, 150–158. [Google Scholar] [CrossRef]
- Sun, H.; Sun, Y.; Zhang, R.; Wang, M.; Tang, R.; Zhou, Z. Hot deformation behavior and microstructural evolution of a modified 310 austenitic steel. Mater. Des. 2014, 64, 374–380. [Google Scholar] [CrossRef]
- Mandal, S.; Sivaprasad, P.V.; Dube, R.K. Kinetics, mechanism and modelling of microstructural evolution during thermomechanical processing of a 15Cr–15Ni–2.2Mo–Ti modified austenitic stainless steel. J. Mater. Sci. 2007, 42, 2724–2734. [Google Scholar] [CrossRef]
- Doherty, R.D.; Hughes, D.A.; Humphreys, F.J.; Jonas, J.J.; Jensen, D.J.; Kassner, M.E.; King, W.E.; Mcnelley, T.R.; Mcqueen, H.J.; Rollett, A.D. Current issues in recrystallization: a review. Mater. Sci. Eng. A 1997, 238, 219–274. [Google Scholar] [CrossRef]
- Sample, V.M.; Fitzsimons, G.L.; Deardo, A.J. Dynamic softening of copper during deformation at high temperatures and strain rates. Acta Metall. 1987, 35, 367–379. [Google Scholar] [CrossRef]
- Mejía, I.; Bedolla-Jacuinde, A.; Maldonado, C.; Cabrera, J.M. Determination of the critical conditions for the initiation of dynamic recrystallization in boron microalloyed steels. Mater. Sci. Eng. A 2011, 528, 4133–4140. [Google Scholar] [CrossRef]
- Shaban, M.; Eghbali, B. Determination of critical conditions for dynamic recrystallization of a microalloyed steel. Mater. Sci. Eng. A 2010, 527, 4320–4325. [Google Scholar] [CrossRef]
- Babu, K.A.; Mandal, S.; Athreya, C.N.; Shakthipriya, B.; Sarma, V.S. Hot deformation characteristics and processing map of a phosphorous modified super austenitic stainless steel. Mater. Des. 2017, 115, 262–275. [Google Scholar] [CrossRef]
- Dehghan-Manshadi, A.; Barnett, M.R.; Hodgson, P.D. Recrystallization in AISI 304 austenitic stainless steel during and after hot deformation. Mater. Sci. Eng. A 2008, 485, 664–672. [Google Scholar] [CrossRef]
- Mandal, S.; Jayalakshmi, M.; Bhaduri, A.K.; Sarma, V.S. Effect of Strain Rate on the Dynamic Recrystallization Behavior in a Nitrogen-Enhanced 316L(N). Metall. Mater. Trans. A 2014, 45, 5645–5656. [Google Scholar] [CrossRef]
- Favre, J.; Koizumi, Y.; Chiba, A.; Fabregue, D.; Maire, E. Deformation Behavior and Dynamic Recrystallization of Biomedical Co-Cr-W-Ni (L-605) Alloy. Metall. Mater. Trans. A Phys. Metall. Mater. Sci. 2013, 44, 2819–2830. [Google Scholar] [CrossRef]

















| C | Si | Mn | Cr | Mo | V | P | S | Fe |
|---|---|---|---|---|---|---|---|---|
| 0.49 | 0.86 | 0.41 | 5.15 | 1.26 | 0.84 | 0.045 | 0.0084 | Bal |
| Temperature/°C | |||||||
|---|---|---|---|---|---|---|---|
| 900 °C | 0.01 | 218.65 | 231.19 | 248.64 | 201.63 | 0.144 | 0.277 |
| 0.1 | 253.87 | 267.61 | 289.02 | 250.49 | 0.147 | 0.29 | |
| 1 | 274.58 | 301.85 | 325.99 | 282.31 | 0.142 | 0.332 | |
| 10 | 313.66 | 348.43 | 400.52 | 324.84 | 0.141 | 0.356 | |
| 950 °C | 0.01 | 136.74 | 154.19 | 161.31 | 135.45 | 0.115 | 0.305 |
| 0.1 | 192.91 | 200.68 | 221.23 | 189.31 | 0.137 | 0.267 | |
| 1 | 217.64 | 250.42 | 265.02 | 243.15 | 0.115 | 0.31 | |
| 10 | 261.58 | 294.75 | 323.79 | 264.32 | 0.147 | 0.339 | |
| 1000 °C | 0.01 | 108.58 | 117.18 | 119.64 | 100.35 | 0.101 | 0.239 |
| 0.1 | 157.74 | 172.09 | 180.23 | 147.73 | 0.115 | 0.27 | |
| 1 | 180.89 | 206.75 | 251.23 | 200.81 | 0.115 | 0.283 | |
| 10 | 225.78 | 246.52 | 258.2 | 223.48 | 0.122 | 0.3 | |
| 1050 °C | 0.01 | 81.874 | 86.164 | 86.96 | 67.33 | 0.09 | 0.2 |
| 0.1 | 118.22 | 121.04 | 138.89 | 97.99 | 0.109 | 0.223 | |
| 1 | 150.52 | 169.4 | 187.83 | 158.54 | 0.115 | 0.3 | |
| 10 | 204.98 | 225.84 | 245.16 | 210.35 | 0.109 | 0.305 | |
| 1100 °C | 0.01 | 71.91 | 77.691 | 84.84 | 56.62 | 0.1 | 0.205 |
| 0.1 | 101.52 | 102.24 | 109.72 | 91.91 | 0.115 | 0.232 | |
| 1 | 123.01 | 140.56 | 144.02 | 138.02 | 0.109 | 0.306 | |
| 10 | 158.06 | 175.08 | 176.12 | 172.02 | 0.106 | 0.347 | |
| 1150 °C | 0.01 | 50.88 | 51.81 | 54.23 | 41.12 | 0.11 | 0.187 |
| 0.1 | 80.59 | 84.71 | 88.12 | 70.84 | 0.111 | 0.22 | |
| 1 | 110.02 | 115.35 | 152.1 | 145.05 | 0.11 | 0.318 | |
| 10 | 137.04 | 149.54 | 248.64 | 201.63 | 0.11 | 0.31 |
| Parameters | Strain | ||||||||
|---|---|---|---|---|---|---|---|---|---|
| 0.05 | 0.1 | 0.15 | 0.2 | 0.25 | 0.3 | 0.35 | 0.4 | 0.45 | |
| α | 0.0073 | 0.0065 | 0.0063 | 0.0061 | 0.0060 | 0.0060 | 0.0060 | 0.0060 | 0.0061 |
| n | 9.65 | 8.15 | 7.68 | 7.40 | 7.13 | 6.96 | 6.77 | 6.60 | 6.48 |
| Q | 651.38 | 601.604 | 589.4 | 578.06 | 569.434 | 562.07 | 556.13 | 548.7 | 544.8 |
| lnA | 58.73 | 53.82 | 52.53 | 51.44 | 50.65 | 50.03 | 49.54 | 48.91 | 48.59 |
| 0.5 | 0.55 | 0.6 | 0.65 | 0.7 | 0.75 | 0.8 | 0.85 | 0.9 | |
| α | 0.00613 | 0.0062 | 0.00627 | 0.00633 | 0.00639 | 0.00641 | 0.00643 | 0.00642 | 0.00643 |
| n | 6.36 | 6.29 | 6.23 | 6.12 | 6.10 | 6.08 | 6.08 | 6.08 | 6.19 |
| Q | 540.18 | 538.4 | 534.84 | 527.809 | 520.96 | 515.71 | 508.94 | 499.95 | 497.838 |
| lnA | 48.20 | 48.07 | 47.75 | 47.08 | 46.45 | 45.96 | 45.32 | 44.46 | 44.23 |
| Coefficient | α | n | Q | lnA |
|---|---|---|---|---|
| k0 | 0.009 | 12.115 | 730.780 | 66.618 |
| k1 | −0.033 | −66.698 | −2172.206 | −214.485 |
| k2 | 0.176 | 382.054 | 12,774.327 | 1242.688 |
| k3 | −0.506 | −1159.418 | −40,380.106 | −3853.728 |
| k4 | 0.806 | 1864.244 | 67,955.171 | 6394.677 |
| k5 | −0.659 | −1505.628 | −57,533.393 | −5363.214 |
| k6 | 0.214 | 481.334 | 19,193.203 | 1777.945 |
© 2018 by the authors. Licensee MDPI, Basel, Switzerland. This article is an open access article distributed under the terms and conditions of the Creative Commons Attribution (CC BY) license (http://creativecommons.org/licenses/by/4.0/).
Share and Cite
Li, C.; Liu, Y.; Tan, Y.; Zhao, F. Hot Deformation Behavior and Constitutive Modeling of H13-Mod Steel. Metals 2018, 8, 846. https://doi.org/10.3390/met8100846
Li C, Liu Y, Tan Y, Zhao F. Hot Deformation Behavior and Constitutive Modeling of H13-Mod Steel. Metals. 2018; 8(10):846. https://doi.org/10.3390/met8100846
Chicago/Turabian StyleLi, Changmin, Yuan Liu, Yuanbiao Tan, and Fei Zhao. 2018. "Hot Deformation Behavior and Constitutive Modeling of H13-Mod Steel" Metals 8, no. 10: 846. https://doi.org/10.3390/met8100846
APA StyleLi, C., Liu, Y., Tan, Y., & Zhao, F. (2018). Hot Deformation Behavior and Constitutive Modeling of H13-Mod Steel. Metals, 8(10), 846. https://doi.org/10.3390/met8100846
