A Numerical Study on Contact Condition and Wear of Roller in Cold Rolling
Abstract
1. Introduction
2. Research Methods
2.1. Outline for Studying Contact Reponses and Wear of Roller
2.2. Finite Element Model
2.3. Calculation of Local Sliding Distance
3. Numerical Results
3.1. Distribution of Local Contact Pressure and Local Sliding Distance
3.2. Rolling Parametric Study
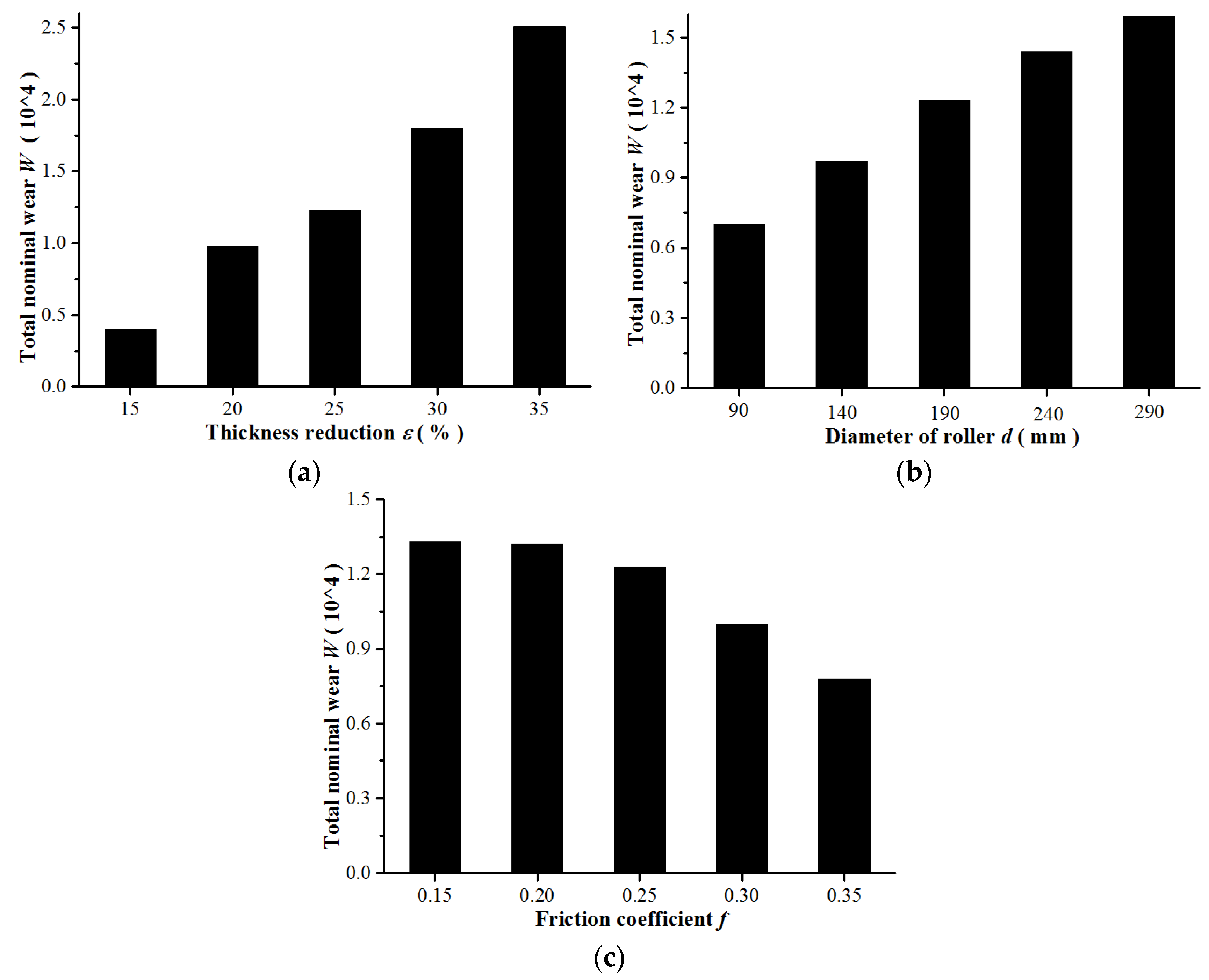
3.2.1. Effect of Thickness Reduction
3.2.2. Effect of Roller’s Diameter
3.2.3. Effect of Friction Coefficient
3.2.4. Effect of Blank’s Material Property
3.2.5. Effect of Roller’s Material Property
4. Wear Prediction of the Roller
5. Conclusions
Acknowledgments
Author Contributions
Conflicts of Interest
References
- Yan, Y.X.; Sun, Q.; Chen, J.J.; Pan, H.L. Effect of processing parameters on edge cracking in cold rolling. Mater. Manuf. Process. 2015, 30, 1174–1178. [Google Scholar] [CrossRef]
- Chang, S.; Pyun, Y.S.; Amanov, A. Wear enhancement of wheel-rail interaction by ultrasonic nanocrystalline surface modification technique. Metals 2017, 10, 188. [Google Scholar] [CrossRef] [PubMed]
- Abdo, J. Materials sliding wear model based on energy dissipation. Mech. Adv. Mater. Struct. 2015, 22, 298–304. [Google Scholar] [CrossRef]
- Lavella, M. Contact properties and wear behaviour of nickel based superalloy rené 80. Metals 2016, 6, 159. [Google Scholar] [CrossRef]
- Meng, H.C.; Ludema, K.C. Wear models and predictive equations: Their form and content. Wear 1995, 181, 443–457. [Google Scholar] [CrossRef]
- Pereira, M.P.; Yan, W.Y.; Rolfe, B.F. Contact pressure evolution and its relation to wear in sheet metal forming. Wear 2008, 265, 1687–1699. [Google Scholar] [CrossRef]
- Pereira, M.P.; Yan, W.Y.; Rolfe, B.F. Sliding distance, contact pressure and wear in sheet metal stamping. Wear 2010, 268, 1275–1284. [Google Scholar] [CrossRef]
- Pereira, M.P.; Yan, W.Y.; Rolfe, B.F. Wear at the die radius in sheet metal stamping. Wear 2012, 274–275, 355–367. [Google Scholar] [CrossRef]
- Szota, P.; Mroz, S.; Stefanik, A.; Dyji, H. Numerical modelling of the working rolls wear during rods rolling process. Arch. Metall. Mater. 2011, 56, 495–501. [Google Scholar] [CrossRef]
- Mattei, L.; Puccio, F.D. Influence of the wear partition factor on wear evolution modelling of sliding surfaces. Int. J. Mech. Sci. 2015, 99, 72–88. [Google Scholar] [CrossRef]
- Archard, J.F. Contact and Rubbing of Flat Surfaces. J. Appl. Phys. 1953, 24, 981–988. [Google Scholar] [CrossRef]
- Hsu, S.M.; Shen, M.C.; Ruff, A.W. Wear prediction for metals. Trinol. Int. 1997, 30, 377–383. [Google Scholar] [CrossRef]
- Hsiang, S.H.; Lin, S.L. Application of 3D FEM-slab method to shape rolling. Int. J. Mech. Sci. 2001, 43, 1155–1177. [Google Scholar] [CrossRef]
- Salimi, M.; Sassani, F. Modified slab analysis of asymmetrical plate rolling. Int. J. Mech. Sci. 2002, 44, 1999–2023. [Google Scholar] [CrossRef]
- Zhang, S.H.; Zhao, D.W.; Gao, C.R.; Wang, G.D. Analysis of asymmetrical sheet rolling by slab method. Int. J. Mech. Sci. 2012, 65, 168–176. [Google Scholar] [CrossRef]
- Dong, Y.G.; Song, J.F. Research on the characteristics of forward slip and backward slip in alloyed bar rolling by the round-oval-round pass sequence. Int. J. Adv. Manuf. Tech. 2016, 87, 3605–3617. [Google Scholar] [CrossRef]
- Kazeminezhad, M.; Taheri, A.K. Calculation of the rolling pressure distribution and force in wire flat rolling process. J. Mater. Process. Technol. 2006, 171, 253–258. [Google Scholar] [CrossRef]
- Dong, Q.; Zhou, K.; Chen, W.W.; Fan, Q. Partial slip contact modeling of heterogeneous elasto-plastic materials. Int. J. Mech. Sci. 2016, 114, 98–110. [Google Scholar] [CrossRef]
- Weisz-Patrault, D.; Maurin, L.; Legrand, N.; Salem, A.B.; Bengrir, A.A. Experimental evaluation of contact stress during cold rolling process with optical fiber bragg gratings sensors measurements and fast inverse method. J. Mater. Process. Technol. 2015, 223, 105–123. [Google Scholar] [CrossRef]
- Dong, Y.G.; Song, J.F.; Luo, G.L.; Ren, Z.C. Mathematical model of neutral line on the contact zone in alloyed bar rolling by the round-oval-round pass sequence. Int. J. Mech. Sci. 2016, 115–116, 180–189. [Google Scholar] [CrossRef]
- Jiang, Z.Y.; Tieu, A.K.; Lu, C.; Sun, W.H. A three-dimensional thermo-mechanical finite element model of complex strip rolling considering sticking and slipping friction. J. Mater. Process. Technol. 2001, 125, 649–656. [Google Scholar] [CrossRef]
- Chumak, K.; Malanchuk, N.; Martynyak, R. Partial slip contact problem for solids with regular surface texture assuming thermal insulation or thermal permeability of interface gaps. Int. J. Mech. Sci. 2014, 84, 138–146. [Google Scholar] [CrossRef]
- Chen, S.; Li, W.; Liu, X. Calculation of rolling pressure distribution and force based on improved Karman equation for hot strip mill. Int. J. Mech. Sci. 2014, 89, 256–263. [Google Scholar] [CrossRef]
- Datta, A.K.; Das, G.; De, P.K.; Ramachandrarao, P.; Mukhopadhyaya, M. Finite element modeling of rolling process and optimization of process parameter. Mat. Sci. Eng. A-Struct. 2006, 426, 11–20. [Google Scholar] [CrossRef]
- Gao, H.; Ramalingam, S.C.; Barber, G.C.; Chen, G. Analysis of asymmetrical cold rolling with varying coefficients of friction. J. Mater. Process. Technol. 2002, 124, 178–182. [Google Scholar] [CrossRef]
- Ma, C.Q.; Hou, L.G.; Zhang, J.S.; Zhuang, L.Z. Influence of thickness reduction per pass on strain, microstructures and mechanical properties of 7050 Al alloy sheet processed by asymmetric rolling. Mater. Sci. Eng. A-Struct. 2015, 650, 454–468. [Google Scholar] [CrossRef]
- Li, E.B.; Tieu, A.K.; Yuen, W.Y.D. Forward slip measurements in cold rolling by laser doppler velocimetry: Uncertainty analysis and accuracy improvement. J. Mater. Process. Technol. 2003, 133, 348–352. [Google Scholar] [CrossRef]
- Minton, J.J.; Cawthorn, C.J.; Brambley, E.J. Asymptotic analysis of asymmetric thin sheet rolling. Int. J. Mech. Sci. 2016, 113, 36–48. [Google Scholar] [CrossRef]
- Kijima, H. Influence of roll radius on roughness transfer in skin-pass rolling of steel strip. J. Mater. Process. Technol. 2014, 214, 1111–1119. [Google Scholar] [CrossRef]
- Kijima, H. Influence of roll radius on contact condition and material deformation in skin-pass rolling of steel strip. J. Mater. Process. Technol. 2013, 213, 1764–1771. [Google Scholar] [CrossRef]
- Shahani, A.R.; Setayeshi, S.; Nodamaie, S.A.; Asadi, M.A.; Rezaie, S. Prediction of influence parameters on the hot rolling process using finite element method and neural network. J. Mater. Process. Technol. 2009, 209, 1920–1935. [Google Scholar] [CrossRef]
- Yadav, V.; Singh, A.K.; Dixit, U.S. Inverse estimation of thermal parameters and friction coefficient during warm flat rolling process. Int. J. Mech. Sci. 2015, 96–97, 182–198. [Google Scholar] [CrossRef]
- Wang, Z.; Dohda, K.; Haruyama, Y. Effects of entraining velocity of lubricant and sliding velocity on friction behavior in stainless steel sheet rolling. J. Cent. South Univ. 2007, 14, 224–231. [Google Scholar] [CrossRef]
- Zhang, R.Y.; Daymond, M.R.; Holt, R.A. Parametric study of stress state development during twinning using 3D finite element modeling. Mater. Sci. Eng. A-Struct. 2011, 528A, 2725–2735. [Google Scholar] [CrossRef]























| Parameter | Symbol | Value |
|---|---|---|
| Plate Thickness | 1.5 mm | |
| Thickness reduction | 25% | |
| Radius of roller | 95 mm | |
| Friction coefficient | 0.25 | |
| Angular velocity | 0.35 rad/s |
| Material Properties | Blank | Roller |
|---|---|---|
| Material behavior | Elastic-plastic | Elastic |
| Density (kg/m3) | 1780 | 7850 |
| Young’s modulus (GPa) | 37.4 | 215.6 |
| Poisson’s Ratio | 0.3 | 0.3 |
| Parameters | Values Considered |
|---|---|
| Thickness reduction (%) | 15, 20, 25, 30, 35 |
| Radius of roller (mm) | 90, 140, 190, 240, 290 |
| Friction coefficient | 0.15, 0.20, 0.25, 0.30, 0.35 |
| Material of blank | AZ31, Al7050, TC4, GH4169 |
| Material of roller | 9Cr2Mo, Cr15, A532M, 12Cr2Ni4, QT900 |
| Material properties | AZ31 | Al7050 | TC4 | GH4169 |
|---|---|---|---|---|
| Density (kg/m3) | 1780 | 2830 | 5100 | 8190 |
| Young’s modulus (GPa) | 37.4 | 70.3 | 112 | 199.9 |
| Poisson’s Ratio | 0.3 | 0.33 | 0.34 | 0.3 |
| Yield strength (MPa) | 140 | 455 | 887 | 550 |
| Tensile strength (MPa) | 311 | 510 | 950 | 965 |
| Material Properties | 9Cr2Mo | Cr15 | A532M | 12Cr2Ni4 | QT900 |
|---|---|---|---|---|---|
| Density (kg/m3) | 7810 | 8470 | 7850 | 7840 | 7180 |
| Young’s modulus(GPa) | 236 | 219 | 215.6 | 207 | 181 |
| Poisson’s Ratio | 0.3 | 0.3 | 0.3 | 0.29 | 0.27 |
© 2017 by the authors. Licensee MDPI, Basel, Switzerland. This article is an open access article distributed under the terms and conditions of the Creative Commons Attribution (CC BY) license (http://creativecommons.org/licenses/by/4.0/).
Share and Cite
Jin, Q.; Wang, W.; Jiang, R.; Chiu, L.N.S.; Liu, D.; Yan, W. A Numerical Study on Contact Condition and Wear of Roller in Cold Rolling. Metals 2017, 7, 376. https://doi.org/10.3390/met7090376
Jin Q, Wang W, Jiang R, Chiu LNS, Liu D, Yan W. A Numerical Study on Contact Condition and Wear of Roller in Cold Rolling. Metals. 2017; 7(9):376. https://doi.org/10.3390/met7090376
Chicago/Turabian StyleJin, Qichao, Wenhu Wang, Ruisong Jiang, Louis Ngai Sum Chiu, Di Liu, and Wenyi Yan. 2017. "A Numerical Study on Contact Condition and Wear of Roller in Cold Rolling" Metals 7, no. 9: 376. https://doi.org/10.3390/met7090376
APA StyleJin, Q., Wang, W., Jiang, R., Chiu, L. N. S., Liu, D., & Yan, W. (2017). A Numerical Study on Contact Condition and Wear of Roller in Cold Rolling. Metals, 7(9), 376. https://doi.org/10.3390/met7090376

