Two-Fold Enhancement of Curie Temperature in Monolayer CrI3 by High Pressure
Abstract
1. Introduction
2. Materials and Methods
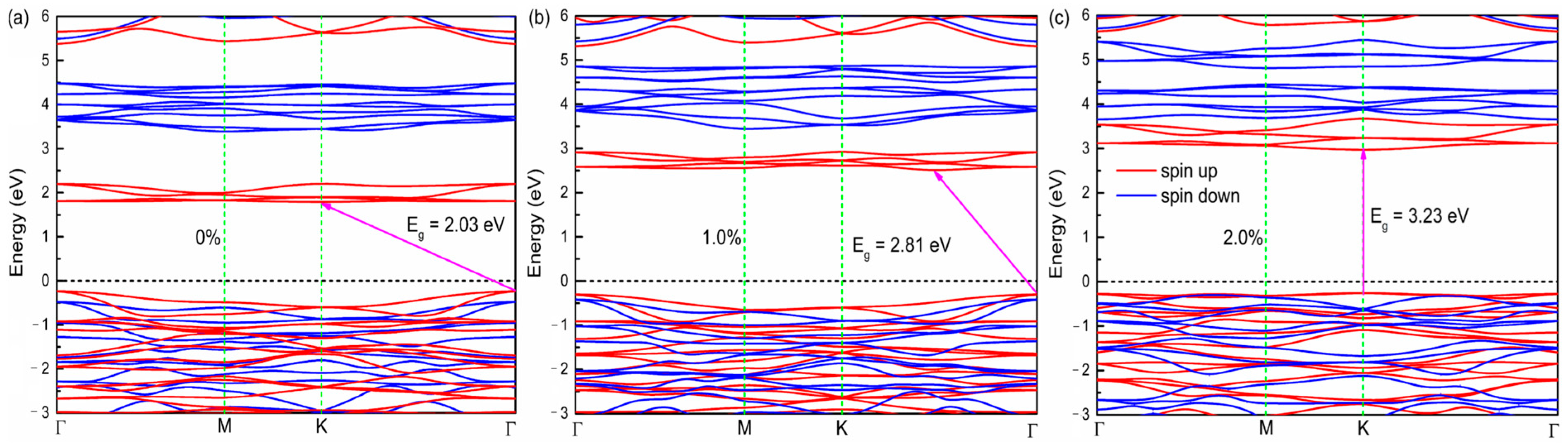
3. Results and Discussion
4. Conclusions
Author Contributions
Funding
Data Availability Statement
Conflicts of Interest
References
- Zhang, L.S.; Zhou, J.; Li, H.; Shen, L.; Feng, Y.P. Recent progress and challenges in magnetic tunnel junctions with 2D materials for spintronic applications. Appl. Phys. Rev. 2021, 8, 021308. [Google Scholar] [CrossRef]
- Ahn, Y.J.; Guo, X.Y.; Son, S.H.; Sun, Z.L.; Zhao, L.Y. Progress and prospects in two-dimensional magnetism of van der Waals materials. Prog. Quantum. Electron. 2024, 93, 100498. [Google Scholar] [CrossRef]
- Qu, Y.Q.; Liao, Y.; He, J.J.; Chen, Y.; Yao, G. High-Temperature Intrinsic Two-Dimensional-XY Ferromagnetism and Strong Magnetoelastic Coupling in Tetragonal Monolayer MnGe. J. Phys. Chem. C 2024, 128, 4631–4638. [Google Scholar] [CrossRef]
- Papavasileiou, A.V.; Menelaou, M.; Sarkar, K.J.; Sofer, Z.; Polavarapu, L.; Mourdikoudis, S. Ferromagnetic Elements in Two-Dimensional Materials: 2D Magnets and Beyond. Adv. Funct. Mater. 2024, 34, 2309046. [Google Scholar] [CrossRef]
- Chen, X.; Zhang, X.; Xiang, G. Recent advances in two-dimensional intrinsic ferromagnetic materials Fe3X (X = Ge and Ga) Te2 and their heterostructures for spintronics. Nanoscale 2024, 16, 527–554. [Google Scholar] [CrossRef]
- Gao, H.G.; Qian, Y.; Ye, S.; Kong, K.P. First-principles study on the electric control of ferromagnetic behaviour of two-dimensional BaTiO3 (0 0 1) ultrathin film doped with Cr. Appl. Surf. Sci. 2022, 601, 154240. [Google Scholar] [CrossRef]
- Rodriguez-Vega, M.; Lin, Z.X.; Leonardo, A.; Ernst, A.; Chaudhary, G.; Vergniory, M.G.; Fiete, G.A. Phonon-mediated dimensional crossover in bilayer CrI3. Phys. Rev. B 2020, 102, 081117. [Google Scholar] [CrossRef]
- Huang, B.; Clark, G.; Navarro-Moratalla, E.; Klein, D.R.; Cheng, R.; Seyler, K.L.; Zhong, D.; Schmidgall, E.; McGuire, M.A.; Cobden, D.H.; et al. Layer-dependent ferromagnetism in a van der Waals crystal down to the monolayer limit. Nature 2017, 546, 270–273. [Google Scholar] [CrossRef]
- Zhao, Y.; Yang, R.; Yang, K.; Dou, J.R.; Gou, J.Z.; Zhou, G.W.; Xu, X.H. Anomalous magnetic property and broadband photodetection in ultrathin non-layered manganese selenide semiconductor. Nano Res. 2024, 17, 8578–8584. [Google Scholar] [CrossRef]
- Chen, J.M.; Cheng, Z.X.; Chen, J.H.; Li, M.L.; Jia, X.H.; Ran, Y.Q.; Zhang, Y.; Li, Y.P.; Yu, T.J.; Dai, L. Spin-Enhanced Self-Powered Light Helicity Detecting Based on Vertical WSe2-CrI3 p-n Heterojunction. ACS Nano 2024, 18, 26261–26270. [Google Scholar] [CrossRef]
- Siudzinska, A.; Gorantla, S.M.; Serafinczuk, J.; Kudrawiec, R.; Hommel, D.; Bachmatiuk, A. Electron Beam-Induced Reduction of Cuprite. Metals 2022, 12, 2151. [Google Scholar] [CrossRef]
- Gong, C.; Li, L.; Li, Z.L.; Ji, H.W.; Stern, A.; Xia, Y.; Cao, T.; Bao, W.; Wang, C.Z.; Wang, Y.; et al. Discovery of intrinsic ferromagnetism in two-dimensional van der Waals crystals. Nature 2017, 546, 265–269. [Google Scholar] [CrossRef] [PubMed]
- Deng, Y.J.; Yu, Y.J.; Song, Y.C.; Zhang, J.Z.; Wang, N.Z.; Sun, Z.Y.; Yi, Y.F.; Wu, Y.Z.; Wu, S.W.; Zhu, J.Y.; et al. Gate-tunable room-temperature ferromagnetism in two-dimensional Fe3GeTe2. Nature 2018, 563, 94–99. [Google Scholar] [CrossRef] [PubMed]
- Chen, W.J.; Sun, Z.Y.; Wang, Z.J.; Gu, L.H.; Xu, X.D.; Wu, S.W.; Gao, C.L. Direct observation of van der Waals stacking-dependent interlayer magnetism. Science 2019, 366, 983–987. [Google Scholar] [CrossRef]
- Hu, J.K.; Fan, Z.Q.; Yang, J.B. Modulating the electronic and optical properties of CrI3/In2Se3 van der Waals heterostructures by external fields. Mater. Today Commun. 2024, 39, 108891. [Google Scholar] [CrossRef]
- Hu, X.H.; Zhao, Y.H.; Shen, X.D.; Krasheninnikov, A.V.; Chen, Z.F.; Sun, L.T. Enhanced Ferromagnetism and Tunable Magnetism in Fe3GeTe2 Monolayer by Strain Engineering. ACS Appl. Mater. Interfaces 2020, 12, 26367–26373. [Google Scholar] [CrossRef]
- Chen, L.; Jiang, C.; Yang, M.Y.; Hu, T.; Meng, Y.; Lei, J.; Zhang, M.J. Magnetism and electronic structures of bismuth (stannum) films at the CrI3 (CrBr3) interface. Phys. Chem. Chem. Phys. 2021, 23, 4255–4261. [Google Scholar] [CrossRef]
- Liu, L.; Yang, K.; Wang, G.Y.; Wu, H. Two-dimensional ferromagnetic semiconductor VBr3 with tunable anisotropy. J. Mater. Chem. C 2020, 8, 14782–14788. [Google Scholar] [CrossRef]
- Tian, S.J.; Zhang, J.F.; Li, C.H.; Ying, T.P.; Li, S.Y.; Zhang, X.; Liu, K.; Lei, H.C. Ferromagnetic van der Waals Crystal VI3. J. Am. Chem. Soc. 2019, 141, 5326–5333. [Google Scholar] [CrossRef]
- Sun, J.X.; Zhong, X.; Cui, W.W.; Shi, J.M.; Hao, J.; Xu, M.L.; Li, Y.W. The intrinsic magnetism, quantum anomalous Hall effect and Curie temperature in 2D transition metal trihalides. Phys. Chem. Chem. Phys. 2020, 22, 2429–2436. [Google Scholar] [CrossRef]
- Kim, K.; Lee, J.U.; Cheong, H. Raman spectroscopy of two-dimensional magnetic van der Waals materials. Nanotechnology 2019, 30, 452001. [Google Scholar] [CrossRef] [PubMed]
- Yu, W.; Li, J.; Herng, T.S.; Wang, Z.S.; Zhao, X.X.; Chi, X.; Fu, W.; Abdelwahab, I.; Zhou, J.; Dan, J.D.; et al. Chemically Exfoliated VSe2 Monolayers with Room-Temperature Ferromagnetism. Adv. Mater. 2019, 31, 1903779. [Google Scholar] [CrossRef]
- Torelli, D.; Thygesen, K.S.; Olsen, T. High throughput computational screening for 2D ferromagnetic materials: The critical role of anisotropy and local correlations. 2D Mater. 2019, 6, 045018. [Google Scholar] [CrossRef]
- McGuire, M.A. Crystal and Magnetic Structures in Layered, Transition Metal Dihalides and Trihalides. Crystals 2017, 7, 121. [Google Scholar] [CrossRef]
- Lu, S.H.; Zhou, Q.H.; Guo, Y.L.; Zhang, Y.H.; Wu, Y.L.; Wang, J.L. Coupling a Crystal Graph Multilayer Descriptor to Active Learning for Rapid Discovery of 2D Ferromagnetic Semiconductors/Half-Metals/Metals. Adv. Mater. 2020, 32, 2002658. [Google Scholar] [CrossRef]
- Mounet, N.; Gibertini, M.; Schwaller, P.; Campi, D.; Merkys, A.; Marrazzo, A.; Sohier, T.; Castelli, I.E.; Cepellotti, A.; Pizzi, G.; et al. Two-dimensional materials from high-throughput computational exfoliation of experimentally known compounds. Nat. Nanotech. 2018, 13, 246–252. [Google Scholar] [CrossRef]
- Liu, H.; Sun, J.T.; Liu, M.; Meng, S. Screening Magnetic Two-Dimensional Atomic Crystals with Nontrivial Electronic Topology. J. Phys. Chem. Lett. 2018, 9, 6709–6715. [Google Scholar] [CrossRef]
- Zhu, Y.; Kong, X.H.; Rhone, T.D.; Guo, H. Systematic search for two-dimensional ferromagnetic materials. Phys. Rev. Mater. 2018, 2, 081001. [Google Scholar] [CrossRef]
- Webster, L.; Liang, L.; Yan, J.A. Distinct spin-lattice and spin-phonon interactions in monolayer magnetic CrI3. Phys. Chem. Chem. Phys. 2018, 20, 23546–23555. [Google Scholar] [CrossRef]
- Jiang, P.H.; Li, L.; Liao, Z.L.; Zhao, Y.X.; Zhong, Z.C. Spin Direction-Controlled Electronic Band Structure in Two-Dimensional Ferromagnetic CrI3. Nano Lett. 2018, 18, 3844–3849. [Google Scholar] [CrossRef]
- Ye, H.S.; Wang, X.; Bai, D.M.; Zhang, J.T.; Wu, X.S.; Zhang, G.P.; Wang, J.L. Significant enhancement of magnetic anisotropy and conductivity in GaN/CrI3 van der Waals heterostructures via electrostatic doping. Phys. Rev. B 2021, 104, 075433. [Google Scholar] [CrossRef]
- Han, J.N.; Ding, Z.X.; Li, Z.H.; Cao, S.G.; Zhang, Z.H.; Deng, X.Q. CrI3/Arsenene vdW heterstructure: Outstanding physical properties and substantially enhanced magnetic stability. Appl. Surf. Sci. 2024, 669, 160443. [Google Scholar] [CrossRef]
- Zheng, Z.J.; Ren, K.; Huang, Z.M.; Zhu, Z.Y.; Wang, K.; Shen, Z.L.; Yu, J. Remarkably improved Curie temperature for two-dimensional CrI3 by gas molecular adsorption: A DFT study. Semicond. Sci. Technol. 2021, 36, 075015. [Google Scholar] [CrossRef]
- Tang, C.; Zhang, L.; Du, A.J. Tunable magnetic anisotropy in 2D magnets via molecular adsorption. J. Mater. Chem. C 2020, 8, 14948–14953. [Google Scholar] [CrossRef]
- Mo, Y.Y.; Huang, X.K.; Xu, J.L.; Jiang, X.A.; Chen, C.; Jiang, X.P.; Liu, J.M. Interfacial engineering of orbital orientation for perpendicular magnetic anisotropy in Co-implanted CrI3 monolayer. J. Appl. Phys. 2024, 136, 084305. [Google Scholar] [CrossRef]
- Yang, Q.; Hu, X.H.; Shen, X.D.; Krasheninnikow, A.V.; Chen, Z.F.; Sun, L.T. Enhancing Ferromagnetism and Tuning Electronic Properties of CrI3 Monolayers by Adsorption of Transition-Metal Atoms. ACS Appl. Mater. Interfaces 2021, 13, 21593–21601. [Google Scholar] [CrossRef]
- Chen, G.X.; Li, B.B.; Li, X.F.; Wang, D.D.; Liu, S.; Zhang, J.M. Electronic structure and magnetic properties of CrI3 monolayer doped by rare earth metal atoms. J. Phys. Chem. Solids 2024, 187, 111838. [Google Scholar] [CrossRef]
- Zhao, Y.H.; Lin, L.F.; Zhou, Q.H.; Li, Y.H.; Yuan, S.J.; Chen, Q.; Dong, S.; Wang, J.L. Surface Vacancy-Induced Switchable Electric Polarization and Enhanced Ferromagnetism in Monolayer Metal Trihalides. Nano Lett. 2018, 18, 2943–2949. [Google Scholar] [CrossRef]
- Bozorth, R.M.; Ferromagnetism, D. Ferromagnetism (Chapter XII); Van Nostrand Company. Inc.: New York, NY, USA, 1951; p. 867. [Google Scholar]
- Anderson, P.W. Antiferromagnetism. Theory of Superexchange Interaction. Phys. Rev. 1950, 79, 350. [Google Scholar] [CrossRef]
- Su, W.X.; Zhang, Z.M.; Cao, Q.Q.; Wang, D.H.; Lu, H.M.; Mi, W.B.; Du, Y.W. Enhancing the Curie temperature of two-dimensional monolayer CrI3 by introducing I-vacancies and interstitial H-atoms. Phys. Chem. Chem. Phys. 2021, 23, 22103–22109. [Google Scholar] [CrossRef]
- Kresse, G.; Furthmüller, J. Efficient iterative schemes for ab initio total-energy calculations using a plane-wave basis set. Phys. Rev. B 1996, 54, 11169. [Google Scholar] [CrossRef] [PubMed]
- Perdew, J.P.; Burke, K.; Ernzerhof, M. Generalized Gradient Approximation Made Simple. Phys. Rev. Lett. 1996, 77, 3865. [Google Scholar] [CrossRef] [PubMed]
- Liechtenstein, A.I.; Anisimov, V.I.; Zaanen, J. Density-functional theory and strong interactions: Orbital ordering in Mott-Hubbard insulators. Phys. Rev. B 1995, 52, 5467. [Google Scholar] [CrossRef] [PubMed]
- Zhang, J.Y.; Zhao, B.; Zhou, T.; Xue, Y.; Ma, C.L.; Yang, Z.Q. Strong magnetization and Chern insulators in compressed graphene/CrI3 van der Waals heterostructures. Phys. Rev. B 2018, 97, 085401. [Google Scholar] [CrossRef]
- Kresse, G.; Joubert, D. From ultrasoft pseudopotentials to the projector augmented-wave method. Phys. Rev. B 1999, 59, 1758. [Google Scholar] [CrossRef]
- Nayak, A.P.; Pandey, T.; Voiry, D.; Liu, J.; Moran, S.T.; Sharma, A.; Tan, C.; Chen, C.H.; Li, L.J.; Chhowalla, M.; et al. Pressure-Dependent Optical and Vibrational Properties of Monolayer Molybdenum Disulfide. Nano Lett. 2015, 15, 346–353. [Google Scholar] [CrossRef]
- Heyd, J.; Scuseria, G.E.; Ernzerhof, M. Hybrid functionals based on a screened Coulomb potential. J. Chem. Phys. 2003, 118, 8207–8215. [Google Scholar] [CrossRef]
- Liang, L.; Zhang, X. Available online: https://github.com/golddoushi/mcsolver (accessed on 5 June 2024).
- Dillon, J.F.; Olson, C.E. Magnetization, Resonance, and Optical Properties of the Ferromagnet CrI3. J. Appl. Phys. 1965, 36, 1259–1260. [Google Scholar] [CrossRef]
- Mermin, N.D.; Wagner, H. Absence of Ferromagnetism or Antiferromagnetism in One- or Two-Dimensional Isotropic Heisenberg Models. Phys. Rev. Lett. 1966, 17, 1133. [Google Scholar] [CrossRef]
- Webster, L.; Yan, J.A. Strain-tunable magnetic anisotropy in monolayer CrCl3, CrBr3, and CrI3. Phys. Rev. B 2018, 98, 144411. [Google Scholar] [CrossRef]
- Zhang, W.B.; Qu, Q.; Zhu, P.; Lam, C.H. Robust intrinsic ferromagnetism and half semiconductivity in stable two-dimensional single-layer chromium trihalides. J. Mater. Chem. C 2015, 3, 12457–12468. [Google Scholar] [CrossRef]
- Liu, L.; Lin, Z.Z.; Hu, J.F.; Zhang, X. Full quantum search for high TC two-dimensional van der Waals ferromagnetic semiconductors. Nanoscale 2021, 13, 8137–8145. [Google Scholar] [CrossRef]





| ɛ | l (Å) | θ (deg) | J1 (meV) | J2 (meV) | TC (K) | EMA | MAE (μeV/Cr) |
|---|---|---|---|---|---|---|---|
| 0% | 2.75 | 95.2 | −1.89 | −0.31 | 53.5 | z | 778 |
| 0.5% | 2.73 | 96.0 | −2.16 | −0.27 | 68.8 | z | 437 |
| 1.0% | 2.70 | 97.0 | −2.47 | −0.23 | 82.8 | z | 124 |
| 1.2% | 2.69 | 97.3 | −2.60 | −0.19 | 83.1 | x | −9.2 |
| 1.5% | 2.68 | 97.8 | −2.85 | −0.16 | 90.6 | x | −234 |
| 2.0% | 2.66 | 98.7 | −3.23 | −0.12 | 97.3 | x | −592 |
Disclaimer/Publisher’s Note: The statements, opinions and data contained in all publications are solely those of the individual author(s) and contributor(s) and not of MDPI and/or the editor(s). MDPI and/or the editor(s) disclaim responsibility for any injury to people or property resulting from any ideas, methods, instructions or products referred to in the content. |
© 2025 by the authors. Licensee MDPI, Basel, Switzerland. This article is an open access article distributed under the terms and conditions of the Creative Commons Attribution (CC BY) license (https://creativecommons.org/licenses/by/4.0/).
Share and Cite
Su, W.; Wang, D.; Wei, D.; Dai, Z. Two-Fold Enhancement of Curie Temperature in Monolayer CrI3 by High Pressure. Metals 2025, 15, 398. https://doi.org/10.3390/met15040398
Su W, Wang D, Wei D, Dai Z. Two-Fold Enhancement of Curie Temperature in Monolayer CrI3 by High Pressure. Metals. 2025; 15(4):398. https://doi.org/10.3390/met15040398
Chicago/Turabian StyleSu, Wenxia, Dunhui Wang, Dong Wei, and Zhenhong Dai. 2025. "Two-Fold Enhancement of Curie Temperature in Monolayer CrI3 by High Pressure" Metals 15, no. 4: 398. https://doi.org/10.3390/met15040398
APA StyleSu, W., Wang, D., Wei, D., & Dai, Z. (2025). Two-Fold Enhancement of Curie Temperature in Monolayer CrI3 by High Pressure. Metals, 15(4), 398. https://doi.org/10.3390/met15040398

