Multiscale Synergistic Strengthening-Toughening Mechanisms in Lanthanum Oxide-Modified Coiled Tubing Welding Wire Deposited Metal
Abstract
1. Introduction
2. Materials and Methods
2.1. Materials
2.2. Microstructure Characterization
2.3. Mechanical Properties Testing
3. Results and Discussion
3.1. Effect of La2O3 on Microstructure
3.2. Effect of La2O3 on Inclusions
3.3. Effect of La2O3 on Mechanical Properties
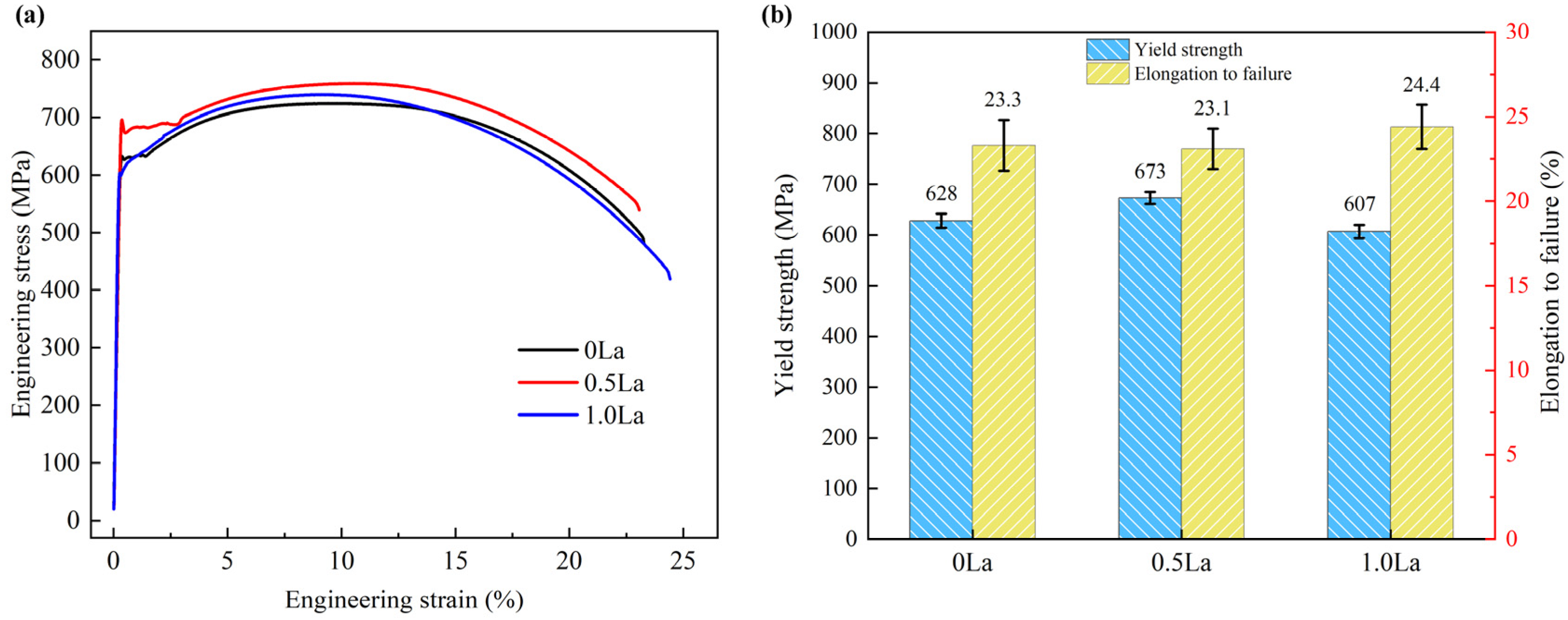
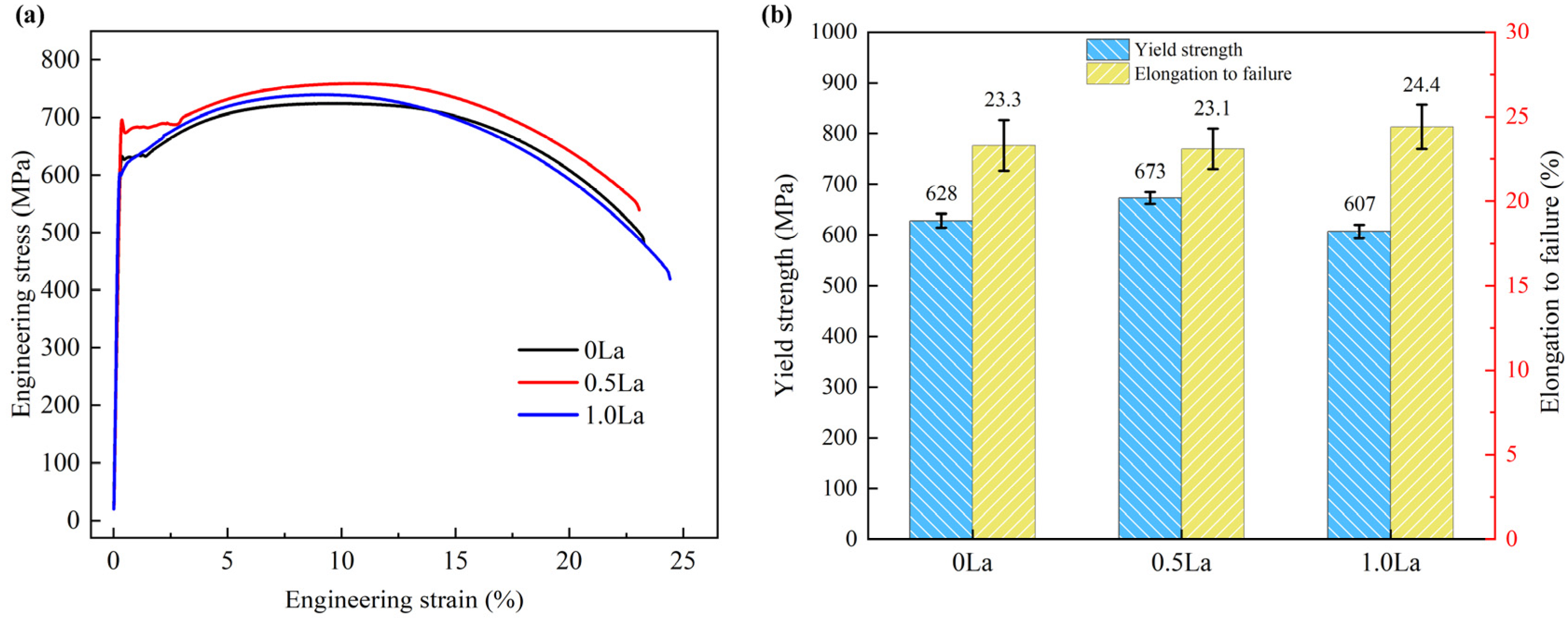
3.3.1. Tensile Properties
3.3.2. Impact Toughness
4. Conclusions
Author Contributions
Funding
Data Availability Statement
Conflicts of Interest
References
- Liu, S.; Liu, Y.; Zhong, H.; Zou, J.; Yang, D. Experimental study on corrosion resistance of coiled tubing welds in high temperature and pressure environment. PLoS ONE 2021, 16, e0244237. [Google Scholar] [CrossRef]
- Zhang, Z.; Zhou, H.; Liu, X.; Li, S.; Dong, J.; Si, G.; Zhang, B.; Yue, S. Hot deformation behavior and processing maps for coiled tubing steel. Mater. Sci. Eng. A-Struct. Mater. Prop. Microstruct. Process. 2013, 565, 213–218. [Google Scholar] [CrossRef]
- Wainstein, J.; Ipina, J.P. Fracture Toughness of HSLA Coiled Tubing Used in Oil Wells Operations. J. Press. Vessel. Technol.-Trans. Asme 2012, 134, 011403. [Google Scholar] [CrossRef]
- Zhou, Z.; Tan, J.; Wan, F.; Peng, B. Improvement and determination of the influencing factors of coiled tubing fatigue life prediction. Adv. Mech. Eng. 2019, 11, 1687814019880131. [Google Scholar] [CrossRef]
- Liu, Y.; Liu, M. Field Tube to Tube Butt Welding Procedure for Coiled Tubing. In Proceedings of the 7th International Conference on Advanced Design and Manufacturing Engineering (ICADME), Shenzhen, China, 10–11 May 2017; Volume 136, pp. 54–58. [Google Scholar]
- Zhou, Z.; Qin, M.; Xie, Y.; Tan, J.; Bao, H. Experimental Study of Microstructures in Bias Weld of Coiled Tubing Steel Strip With Multi-Frequency Eddy Current Testing. IEEE Access 2020, 8, 48241–48251. [Google Scholar] [CrossRef]
- Pan, F.; Zhang, J.; Chen, H.-L.; Su, Y.-H.; Kuo, C.-L.; Su, Y.-H.; Chen, S.-H.; Lin, K.-J.; Hsieh, P.-H.; Hwang, W.-S. Effects of Rare Earth Metals on Steel Microstructures. Materials 2016, 9, 417. [Google Scholar] [CrossRef]
- Jiang, Q.; Li, Y.; Wang, J.; Zhang, L. Effects of inclusions on formation of acicular ferrite and propagation of crack in high strength low alloy steel weld metal. Mater. Sci. Technol. 2011, 27, 1565–1569. [Google Scholar] [CrossRef]
- Zachrisson, J.; Borjesson, J.; Karlsson, L. Role of inclusions in formation of high strength steel weld metal microstructures. Sci. Technol. Weld. Join. 2013, 18, 603–609. [Google Scholar] [CrossRef]
- Pamnani, R.; Jayakumar, T.; Vasudevan, M.; Sakthivel, T. Investigations on the impact toughness of HSLA steel arc welded joints. J. Manuf. Process. 2016, 21, 75–86. [Google Scholar] [CrossRef]
- Chen, J.; Ye, J.; Gou, G.; Gao, W. Rare earth elements in self-shielded flux-cored wires and their effect on the weld toughing of U75V rail steel. Int. J. Mod. Phys. B 2020, 34, 2040054. [Google Scholar] [CrossRef]
- Yu, S.F.; Yan, N.; Chen, Y. Inclusions and Microstructure of Ce-Added Weld Metal Coarse Grain Heat-Affected Zone in Twin-Wire Submerged-Arc Welding. J. Mater. Eng. Perform. 2016, 25, 2445–2453. [Google Scholar] [CrossRef]
- Zheng, J.; Liu, S.; Yang, F.; Liu, L.; Peng, J.; An, S. Study on the effect of rare earth Ce on the modification of sulfide inclusions in U71Mn heavy rail steel. J. Mater. Res. Technol.-JMRT 2024, 33, 4548–4556. [Google Scholar] [CrossRef]
- Zhang, J.; Li, G.; Wang, H.; Wan, X.; Hu, M.; Cao, Y. Effect of cerium on microstructure and microsegregation behavior of novel cryogenic high-Mn austenitic steel weld metal. Mater. Charact. 2022, 194, 112427. [Google Scholar] [CrossRef]
- Samanta, S.K.; Mitra, S.K.; Pal, T.K. Effect of rare earth elements on microstructure and oxidation behaviour in TIG weldments of AISI 316L stainless steel. Mater. Sci. Eng. A-Struct. Mater. Prop. Microstruct. Process. 2006, 430, 242–247. [Google Scholar] [CrossRef]
- Kim, S.J.; Ryu, K.M.; Oh, M.-s. Addition of cerium and yttrium to ferritic steel weld metal to improve hydrogen trapping efficiency. Int. J. Miner. Metall. Mater. 2017, 24, 415–422. [Google Scholar] [CrossRef]
- Yang, J.; Zou, D.; Li, X.; Du, Z. Effect of rare earth on microstructures and properties of high speed steel with high carbon content. J. Iron Steel Res. Int. 2007, 14, 47–52. [Google Scholar] [CrossRef]
- Zhang, X.; Zhai, W.; Zhou, W.; Wang, J.; Chen, Y.; He, C.; Liu, H.; Wang, Q.; Liu, F.; Liu, Y. Rare earth element enhanced strength and ductility of 316L austenitic stainless steel fabricated using laser powder bed fusion. Mater. Sci. Eng. A-Struct. Mater. Prop. Microstruct. Process. 2025, 920, 147539. [Google Scholar] [CrossRef]
- Parshin, S.G.; Karkhin, V.A.; Mayr, P.; Maystro, A.S. The Effect of Electrochemical Composite Coatings with LaF3-LaB6 Particles in Nickel-Copper Matrix on the Metallurgical Processes in Arc Welding of Low Alloy Ferrite-Pearlite Steels. Materials 2021, 14, 1509. [Google Scholar] [CrossRef]
- Wang, Y.; Chen, J.; Yang, J.; Hao, F.; Dan, T.; Yang, Y.; Yang, Q. Effect of La2O3 on granular bainite microstructure and wear resistance of hardfacing layer metal. J. Rare Earths 2014, 32, 83–89. [Google Scholar] [CrossRef]
- Vimalraj, C.; Kah, P.; Layus, P.; Belinga, E.M.; Parshin, S. High-strength steel S960QC welded with rare earth nanoparticle coated filler wire. Int. J. Adv. Manuf. Technol. 2019, 102, 105–119. [Google Scholar] [CrossRef]
- Li, E.; Wang, N.; Wan, S. Application of Lanthanum Oxide and Cerium Oxide in E4303 Electrode. In Proceedings of the 5th Annual International Conference on Material Engineering and Application (ICMEA), Wuhan, China, 14–16 December 2019; Volume 484. [Google Scholar] [CrossRef]
- Ren, Q.; Hu, Z.Y.; Cheng, L.; Kang, X.M.; Cheng, Y.J.; Zhang, L.F. Modification Mechanism of Lanthanum on Alumina Inclusions in a Nonoriented Electrical Steel. Steel Res. Int. 2022, 93, 2200212. [Google Scholar] [CrossRef]
- ISO 6892-1:2019; Metallic Materials—Tensile Testing—Part 1: Method of Test at Room Temperature. International Organization for Standardization (ISO): Geneva, Switzerland, 2019.
- ISO 148-1:2016; Metallic Materials—Charpy Pendulum Impact Test—Part 1: Test Method. International Organization for Standardization (ISO): Geneva, Switzerland, 2016.
- ISO 3183:2019; Petroleum and Natural Gas Industries—Steel Pipe for Pipeline Transportation Systems. International Organization for Standardization (ISO): Geneva, Switzerland, 2019.
- Tong, M.; Di, X.; Li, C.; Wang, D. Toughening mechanism of inter-critical heat-affected zone in a 690 MPa grade rack plate steel. Mater. Charact. 2018, 144, 631–640. [Google Scholar] [CrossRef]
- Ren, Q.; Hu, Z.Y.; Liu, Y.X.; Zhang, W.C.; Gao, Z.Q.; Zhang, L.F. Effect of lanthanum on inclusions in non-oriented electrical steel slabs. J. Iron Steel Res. Int. 2024, 31, 1680–1691. [Google Scholar] [CrossRef]
- Yang, X.; Li, C.; Han, J.; Yang, Y.; Ju, Y.; Ba, L.; Wang, C.; Di, X. Effect of welding state on the re-precipitation behavior of Cu-rich and NiAl nanoparticles in HAZ of 1100 MPa grade low carbon ultra-high strength steel. Mater. Sci. Eng. A-Struct. Mater. Prop. Microstruct. Process. 2024, 897, 146334. [Google Scholar] [CrossRef]
- Dong, J.; Luo, Z.; Zhou, L.; Hao, J. Effects of Rare Earth Elements on the Quality of Nugget in Aluminum Alloy Spot Welding. In Proceedings of the International Conference on Materials Science and Engineering Applications, Xi’an, China, 15–16 January 2011; Volume 160–162, pp. 796–801. [Google Scholar] [CrossRef]
- Mician, M.; Frátrik, M.; Moravec, J.; Svec, M. Determination of Grain Growth Kinetics of S960MC Steel. Materials 2022, 15, 8539. [Google Scholar] [CrossRef]









| No. | C | Si | Mn | Ni+ Cr+ Mo | Ti | La | Al | S | P | O(ppm) | Fe |
|---|---|---|---|---|---|---|---|---|---|---|---|
| BM | 0.140 | 0.183 | 0.463 | 0.117 | - | - | - | 0.0068 | 0.016 | - | Bal. |
| 0 La | 0.050 | 0.338 | 1.41 | 1.51 | 0.041 | 0 | 0.036 | 0.011 | 0.015 | 158 | Bal. |
| 0.5 La | 0.052 | 0.349 | 1.51 | 1.58 | 0.037 | 0.0074 | 0.031 | 0.008 | 0.015 | 123 | Bal. |
| 1.0 La | 0.053 | 0.327 | 1.50 | 1.50 | 0.036 | 0.0094 | 0.033 | 0.010 | 0.016 | 118 | Bal. |
| No. | O | Al | Si | S | Ti | La | Mn | Fe |
|---|---|---|---|---|---|---|---|---|
| 0 La | 11.78 | 13.24 | 3.02 | 0.29 | 6.21 | 0 | 4.32 | 61.14 |
| 0.5 La | 10.79 | 14.23 | 1.21 | 1.34 | 4.90 | 4.13 | 2.86 | 60.54 |
| 1.0 La | 9.98 | 13.13 | 1.71 | 1.69 | 6.20 | 6.31 | 2.49 | 58.49 |
| No. | Rp0.2/MPa | Rm/MPa | Elongation to Failure | Impact Energy/J (0 °C) |
|---|---|---|---|---|
| 0 La | 628 ± 14 | 723 ± 13 | 23.3 ± 1.5% | 160 ± 6 J |
| 0.5 La | 673 ± 12 | 772 ± 12 | 23.1 ± 1.2% | 189 ± 6 J |
| 1.0 La | 607 ± 13 | 739 ± 14 | 24.4 ± 1.3% | 166 ± 6 J |
Disclaimer/Publisher’s Note: The statements, opinions and data contained in all publications are solely those of the individual author(s) and contributor(s) and not of MDPI and/or the editor(s). MDPI and/or the editor(s) disclaim responsibility for any injury to people or property resulting from any ideas, methods, instructions or products referred to in the content. |
© 2025 by the authors. Licensee MDPI, Basel, Switzerland. This article is an open access article distributed under the terms and conditions of the Creative Commons Attribution (CC BY) license (https://creativecommons.org/licenses/by/4.0/).
Share and Cite
Yang, Y.; Yang, X.; Li, C.; Di, X. Multiscale Synergistic Strengthening-Toughening Mechanisms in Lanthanum Oxide-Modified Coiled Tubing Welding Wire Deposited Metal. Metals 2025, 15, 353. https://doi.org/10.3390/met15040353
Yang Y, Yang X, Li C, Di X. Multiscale Synergistic Strengthening-Toughening Mechanisms in Lanthanum Oxide-Modified Coiled Tubing Welding Wire Deposited Metal. Metals. 2025; 15(4):353. https://doi.org/10.3390/met15040353
Chicago/Turabian StyleYang, Yuke, Xiaocong Yang, Chengning Li, and Xinjie Di. 2025. "Multiscale Synergistic Strengthening-Toughening Mechanisms in Lanthanum Oxide-Modified Coiled Tubing Welding Wire Deposited Metal" Metals 15, no. 4: 353. https://doi.org/10.3390/met15040353
APA StyleYang, Y., Yang, X., Li, C., & Di, X. (2025). Multiscale Synergistic Strengthening-Toughening Mechanisms in Lanthanum Oxide-Modified Coiled Tubing Welding Wire Deposited Metal. Metals, 15(4), 353. https://doi.org/10.3390/met15040353

