Primary and Low-Strain Creep Models for 9Cr Tempered Martensitic Steels Including the Effects of Irradiation Softening and High-Helium Re-Hardening
Abstract
1. Introduction and Background
2. Materials and Methods
2.1. Materials and the Creep Database
2.2. The σ/σo Model for Primary Thermal Creep
2.3. Static Tensile Properties
2.4. Softening Model
2.5. He-Re-Hardening Model
3. Results
3.1. Primary Creep Models for 375 to 550 °C
3.2. Primary Creep Curve ε(σ, T, t) Predictions
4. A Primary Creep Model with Irradiation-Enhanced Softening
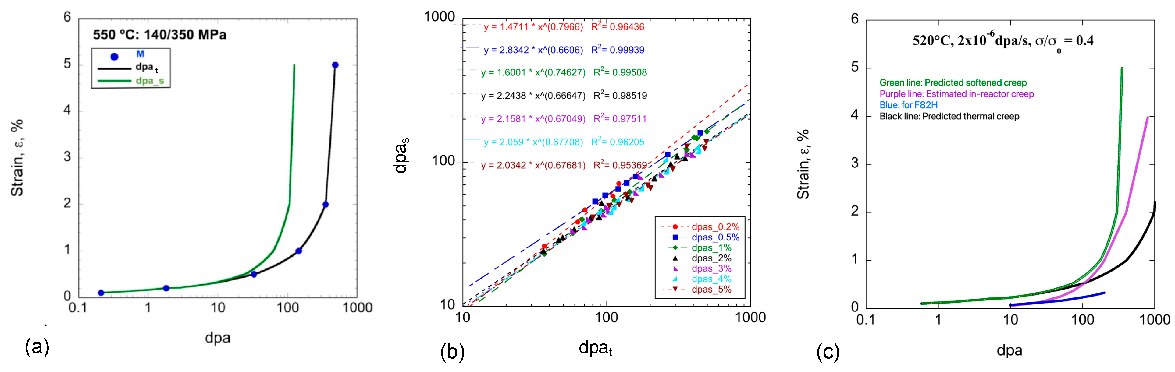
5. Primary Creep with Irradiation Softening Followed by High-He Re-Hardening
6. Negligible Creep and Strain Limits for Eurofer97
7. Summary, Caveats, Context and Implications
Author Contributions
Funding
Data Availability Statement
Acknowledgments
Conflicts of Interest
References
- Ghazari, A.; Forte, R.; Yamamoto, T.; Odette, R.; Ghoniem, N. Radiation Effects on Stress Evolution and Dimensional Stability of Large Fusion Energy Structures. Fusion Eng. Des. 2021, 172, 112756. [Google Scholar]
- Was, G.S. Fundamentals of Radiation Materials Science: Metals and Alloys, 2nd ed.; Springer: New York, NY, USA, 2017. [Google Scholar]
- Onimus, F.; Jourdan, T.; Xu, C.; Campbell, A.A.; Griffiths, M. Irradiation creep in materials: Comprehensive Nuclear Materials, 1st ed.; Konings, R., Stoller, R., Eds.; Elsevier: Amsterdam, The Netherlands, 2021; pp. 310–366. [Google Scholar]
- Bhattacharya, A.; Zinkle, S.J.; Henry, J.; Levine, S.M.; Edmondson, P.D.; Gilbert, M.R.; Tanigawa, H.; Kessel, C.E. Irradiation damage concurrent challenges with RAFM and ODS steels for fusion reactor first-wall/blanket: A review. JPhys Energy 2022, 4, 034003. [Google Scholar] [CrossRef]
- Cabet, C.; Dalle, F.; Gaganidze, E.; Henry, J.; Tanigawa, H. Ferritic-martensitic steels for fission and fusion applications. J. Nucl. Mater. 2019, 523, 510–537. [Google Scholar] [CrossRef]
- Nozawa, T.; Tanigawa, H.; Kojima, T.; Itoh, T.; Hiyoshi, N.; Ohata, M.; Kato, T.; Ando, M.; Nakajima, M.; Hirose, T.; et al. The status of the Japanese material properties handbook and the challenge to facilitate structural design criteria for DEMO in-vessel components. Nucl. Fusion 2021, 61, 116054. [Google Scholar] [CrossRef]
- Gorley, M.; Diegele, E.; Gaganidze, E.; Gillemot, F.; Pintsuk, G.; Schoofs, F.; Szenthe, I. The EUROfusion materials property handbook for DEMO in-vessel components—Status and the challenge to improve confidence level for engineering data. Fusion Eng. Des. 2020, 158, 111668. [Google Scholar] [CrossRef]
- Wilshire, B.; Scharning, P.J. A new methodology for analysis of creep and creep fracture data for 9–12% chromium steels. Int. Mater. Rev. 2008, 53, 91–104. [Google Scholar] [CrossRef]
- Rieth, M.; Schirra, M.; Falkenstein, A.; Graf, P.; Heger, S.; Kempe, H.; Lindau, R.; Zimmermann, H. EUROFER97. Tensile, charpy, creep and structural tests; No. FZKA—6911. Wiss. Berichte FZKA. 2003. Available online: https://inis.iaea.org/records/qjevg-ch908 (accessed on 16 March 2025).
- NIMS-D1, NIMS Creep Datasheet: Atlas of Creep Deformation Property, Vol. D-1, Creep Deformation Properties of 9Cr1MoVNb Steel for Boiler and Heat Exchangers, 2007. Available online: https://dice.nims.go.jp/notification/2023/01/20230117-3.html (accessed on 16 March 2025).
- Sawada, K.; Kimura, K.; Watanabe, T.; Ohba, T.; Abe, F.; Miyazaki, H.; Sekido, K.; Nojima, T.; Kushima, H.; Taniuchi, Y.; et al. NIMS-48B, NIMS Creep Data Sheet: No. 48B Data Sheet on the Elevated Temperature Properties of 9Cr-0.5Mo-1.8W-V-Nb Steel Tubes and Pipes for Power Boilers and High Temperature Service; National Institute for Materials Science: Ibaraki, Japan, 2018. [CrossRef]
- Holmström, S. Defining a negligible creep temperature curve for Gr. 91 steel. Int. J. Press. Vessel. Pip. 2016, 146, 198–202. [Google Scholar] [CrossRef]
- Callister, W.D.; Rethwisch, D.G. Materials Science and Engineering; John Wiley & Sons: Hoboken, NJ, USA, 2011. [Google Scholar]
- Nabarro, F.R.N.; de Villiers, F. Physics of Creep and Creep-Resistant Alloys; CRC Press: Boca Raton, FL, USA, 2018. [Google Scholar] [CrossRef]
- Abe, F. Effect of Fine Precipitation and Subsequent Coarsening of Fe2W Laves Phase on the Creep Deformation Behavior of Tempered Martensitic 9Cr-W Steels. Metall. Mater. Trans. A 2005, 36, 321–332. [Google Scholar] [CrossRef]
- Ren, F.; Tang, X. Study on creep behavior of Grade 91 heat-resistant steel using theta projection method. AIP Conf. Proc. 2017, 1890, 040003. [Google Scholar] [CrossRef]
- Spätig, P.; Chen, J.-C.; Odette, G.R. Ferritic and Tempered Martensitic Steels. In Structural Alloys for Nuclear Energy Applications, 1st ed.; Odette, G.R., Zinkle, S., Eds.; Elsevier: Boston, MA, USA, 2019; pp. 485–527. [Google Scholar] [CrossRef]
- Henry, J.; Maloy, S.A. Irradiation-resistant ferritic and martensitic steels as core materials for Generation IV nuclear reactors. In Structural Materials for Generation IV Nuclear Reactors; Elsevier Inc.: Amsterdam, The Netherlands, 2017; pp. 329–355. [Google Scholar] [CrossRef]
- Klueh, R.L.; Nelson, A.T. Ferritic/martensitic steels for next-generation reactors. J. Nucl. Mater. 2007, 371, 37–52. [Google Scholar] [CrossRef]
- Li, M.; Chen, W.Y. Microstructure-based prediction of thermal aging strength reduction factors for grade 91 ferritic-martensitic steel. Mater. Sci. Eng. A 2020, 798, 140116. [Google Scholar] [CrossRef]
- Klueh, R.L.; Harries, D.R. High-Chromium Ferritic and Martensitic Steels for Nuclear Applications; ASTM International: West Conshohocken, PA, USA, 2001. [Google Scholar]
- Yamamoto, T.; Odette, G.R.; Kishimoto, H.; Rensman, J.-W.; Miao, P. On the effects of irradiation and helium on the yield stress changes and hardening and non-hardening embrittlement of ∼8Cr tempered martensitic steels: Compilation and analysis of existing data. J. Nucl. Mater. 2006, 356, 27–49. [Google Scholar] [CrossRef]
- Li, M.; Natesan, K.; Chen, W. Report on Understanding and Predicting Effects of Thermal Aging on Microstructure and Tensile Properties of Grade 91 Steel for Structural Components; ANL-ART-108, August 2017; Argonne National Laboratory (ANL): Argonne, IL, USA, 2017. [Google Scholar]
- Mordehai, D.; Martin, G. Enhanced annealing of the dislocation network under irradiation. Phys. Rev. B 2011, 84, 14115. [Google Scholar] [CrossRef]
- Panait, C.G.; Bendick, W.; Fuchsmann, A.; Gourgues-Lorenzon, A.F.; Besson, J. Study of the microstructure of the Grade 91 steel after more than 100,000 h of creep exposure at 600 °C. Int. J. Press. Vessel. Pip. 2010, 87, 326–335. [Google Scholar] [CrossRef]
- Abe, F. Coarsening behavior of lath and its effect on creep rates in tempered martensitic 9Cr-W steels. Mater. Sci. Eng. A 2004, 387–389, 565–569. [Google Scholar] [CrossRef]
- Odette, G.R.; Yamamoto, T.; Williams, T.J.; Nanstad, R.K.; English, C.A. On the History and Status of Reactor Pressure Vessel Steel Ductile to Brittle Transition Temperature Shift Prediction Models. J. Nucl. Mater. 2019, 526, 151863. [Google Scholar]
- Tan, L.; Katoh, Y.; Tavassoli, A.A.F.; Henry, J.; Rieth, M.; Sakasegawa, H.; Tanigawa, H.; Huang, Q. Recent status and improvement of reduced-activation ferritic-martensitic steels for high-temperature service. J. Nucl. Mater. 2016, 479, 515–523. [Google Scholar] [CrossRef]
- Tanigawa, H.; Gaganidze, E.; Hirose, T.; Ando, M.; Zinkle, S.J.; Lindau, R.; Diegele, E. Development of benchmark reduced activation ferritic/martensitic steels for fusion energy applications. Nucl. Fusion 2017, 57, 092004. [Google Scholar] [CrossRef]
- Lindau, R.; Möslang, A.; Rieth, M.; Klimiankou, M.; Materna-Morris, E.; Alamo, A.; Tavassoli, A.A.F.; Cayron, C.; Lancha, A.M.; Fernandez, P.; et al. Present development status of EUROFER and ODS-EUROFER for application in blanket concepts. Fusion Eng. Des. 2005, 75–79, 989–996. [Google Scholar] [CrossRef]
- Ehrlich, K.; Cierjacks, S.W.; Kelzenberg, S.; Möslang, A. The development of structural materials for reduced long-term activation. In Effects of Radiation on Materials: 17th International Symposium; ASTM International: West Conshohocken, PA, USA, 1996. [Google Scholar]
- American Society of Mechanical Engineers (ASME). BPVC.III.5—BPVC Section III-Rules for Construction of Nuclear Facility Components-Division 5-High Temperature Reactors; Section III, Division 5; ASME: New York City, NY, USA, 2023; pp. 1–674. [Google Scholar]
- American Society of Mechanical Engineers (ASME). BPVC, Boiler and Pressure Vessel Code, Section II-Materials, Part A—Ferrous Materials Specification; Section II; ASME: New York City, NY, USA, 2023; pp. 1–804. [Google Scholar]
- Tavassoli, F. Eurofer steel, development to full code qualification. Procedia Eng. 2013, 55, 300–308. [Google Scholar] [CrossRef]
- Lee, H.-Y.; Kim, W.G. Influence of Thermal Aging on Material Strength Behavior in Grade 91 Steel. Trans. Korean Nucl. Soc. Autumn Meet. 2015, 3–5. [Google Scholar]
- Yano, Y.; Tanno, T.; Sekio, Y.; Oka, H.; Ohtsuka, S.; Uwaba, T.; Kaito, T. Tensile properties and hardness of two types of 11Cr-ferritic/martensitic steel after aging up to 45,000 h. Nucl. Mater. Energy 2016, 9, 324–330. [Google Scholar] [CrossRef]
- Nagasaka, T.; Ando, M.; Tanigawa, H.; Sakasegawa, H.; Tanaka, T.; Muroga, T.; Sagara, A. Tensile properties of F82H steel after aging at 400–650 °C for 1000–30,000 h. Fusion Eng. Des. 2017, 124, 1011–1014. [Google Scholar] [CrossRef]
- Klueh, R.L.; Vitek, J.M. Elevated-temperature tensile properties of irradiated 9Cr-1MoVNb steel. J. Nucl. Mater. 1985, 132, 27–31. [Google Scholar] [CrossRef]
- Klueh, R.L.; Maziasz, P.J. Effect of irradiation in HFIR on tensile properties of Cr-Mo steels. J. Nucl. Mater. 1992, 187, 43–54. [Google Scholar] [CrossRef]
- Kimura, A.; Morimura, T.; Narui, M.; Matsui, H. Irradiation hardening of reduced activation martensitic steels. J. Nucl. Mater. 1996, 233, 319–325. [Google Scholar] [CrossRef]
- Kohno, Y.; Kohyama, A.; Hirose, T.; Hamilton, M.L.; Narui, M. Mechanical property changes of low activation ferritic/martensitic steels after neutron irradiation. J. Nucl. Mater. 1999, 271–272, 145–150. [Google Scholar] [CrossRef]
- Kurishita, H. Tensile properties of reduced activation Fe-9Cr-2W steels after irradiation. J. Nucl. Mater. 1994, 271–272, 730–735. [Google Scholar] [CrossRef]
- Klueh, R.L.; Maziasz, P.J.; Zvitek, J.M. Postirradiation tensile behavior of nickel-doped ferritic steels. J. Nucl. Mater. 1986, 141–143, 960–965. [Google Scholar] [CrossRef]
- Seran, J.L.; Levy, V.; Dubuisson, P.; Gilbon, D.; Maillard, A.; Fissolo, A.; Touron, H.; Cauvin, R.; Chalony, A.; Le Boulbin, E. Behavior under neutron irradiation of the 15-15Ti and EM10 steels used as standard materials of the Phénix fuel subassembly. In Effects of Radiation on Materials: 15th International Symposium; No. CEA-CONF—10217; ASTM International: West Conshohocken, PA, USA, 1990. [Google Scholar]
- Klueh, R.L.; Vitek, J.M. Postirradiation tensile behavior of nickel-doped ferritic steels. J. Nucl. Mater. 1987, 150, 272–280. [Google Scholar] [CrossRef]
- Seran, J.L.; Alamo, A.; Maillard, A.; Touron, H.; Brachet, J.C.; Dubuisson, P.; Rabouille, O. Pre-and post-irradiation mechanical properties of ferritic-martensitic steels for fusion applications: EM10 base metal and EM10/EM10 welds. J. Nucl. Mater. 1994, 212, 588–593. [Google Scholar] [CrossRef]
- Sokolov, M.A.; Klueh, R.L.; Odette, G.R.; Shiba, K. Hiroyasu Tanigawa, Fracture Toughness Characterization of Irradiated F82H in the Transition Region. In Effects of Radiation on Material, 21th International Symposium, ASTM STP 1447; ASTM International: West Conshohoken, PA, USA, 2004; p. 408. [Google Scholar]
- Alamo, A.J.; Brachet, C.; Averty, X.; Shiba, K. Preliminary Results on Irradiation Experiment Performed in Osiris-Reactor at 325 °C Including RAF/M Steels; JAERI: Tokyo, Japan, 1997; pp. 256–264. [Google Scholar]
- Nanstad, R.K.; McClintock, D.A.; Hoelzer, D.T.; Tan, L.; Allen, T.R. High temperature irradiation effects in selected Generation IV structural alloys. J. Nucl. Mater. 2009, 392, 331–340. [Google Scholar] [CrossRef]
- Klueh, R.L.; Vitek, J.M. Tensile properties of 9Cr-1MoVNb and 12Cr-1MoVW steels irradiated to 23 dpa at 390 to 550 °C. J. Nucl. Mater. 1991, 182, 230–239. [Google Scholar]
- Nastasi, M.; Mayer, J.W. Ion beam mixing in metallic and semiconductor materials. Mater. Sci. Eng. R 1994, 12, 1–52. [Google Scholar]
- Iwamoto, Y.; Meigo, S.; Hashimoto, S. Estimation of reliable displacement-per-atom based on athermal recombination-correlated model in radiation environments a nuclear fission, fusion, and accelerator facilities. J. Nucl. Mater. 2020, 538, 152261. [Google Scholar]
- Frost, H.J.; Ashby, M.F. Deformation-Mechanism Maps: The Plasticity and Creep of Metals and Ceramics; Franklin Book Company; Pergamon Press: Oxford, UK, 1982. [Google Scholar]
- Greenwood, L.R. Neutron Interactions and Atomic Recoil Spectra. J. Nucl. Mater. 1994, 216, 29–44. [Google Scholar]
- Messina, L.; Nastar, M.; Sandberg, N.; Olsson, P. Systematic electronic-structure investigation of substitutional impurity diffusion and flux coupling in bcc iron. Phys Rev B Condens Matter Mater Phys 2016, 93, 184302. [Google Scholar] [CrossRef]
- Foulds, J.; Ren, W. Thermal Aging Effects on the Yield and Tensile Strength of 9Cr-1Mo-V (Grade 91). J. Press. Vessel. Technol. 2022, 144, 061505. [Google Scholar] [CrossRef]
- Dai, Y.; Odette, G.R.; Yamamoto, T. The effects of helium in irradiated structural alloys. Compr. Nucl. Mater. 2012, 1, 141–193. [Google Scholar] [CrossRef]
- Knitel, S.; Spätig, P.; Yamamoto, T.; Seifert, H.P.; Dai, Y.; Odette, G.R. Evolution of the tensile properties of the tempered martensitic steel Eurofer97 after spallation irradiation at SINQ. Nucl. Mater. Energy 2018, 17, 69–77. [Google Scholar] [CrossRef]
- Peng, L.; Dai, Y. Helium-induced hardening effect in ferritic/martensitic steels F82H and Optimax-A irradiated in a mixed spectrum of high energy protons and spallation neutrons. J. Nucl. Mater. 2011, 417, 996–1000. [Google Scholar]
- Vieh, C. Hardening Induced by Radiation Damage and Helium in Structural Materials. Ph.D. Thesis, École Polytechnique Fédérale de Lausanne, Lausanne, Switzerland, 2015. [Google Scholar]
- Jung, H.J.; Edwards, D.J.; Kurtz, R.J.; Yamamoto, T.; Wu, Y.; Odette, G.R. Structural and chemical evolution in neutron irradiated and helium-injected ferritic ODS PM2000 alloy. J. Nucl. Mater. 2017, 484, 68–80. [Google Scholar] [CrossRef]
- Jung, H.J.; Edwards, D.J.; Kurtz, R.J.; Odette, G.R.; Wu, Y.; Yamamoto, T. Microstructural Summary of ODS Ferritic Alloys (14YW, 14YWT, 12YWT, MA957FR, PM2000) and RAFM Steels (F82H Mod.3-CW, Eurofer97) from JP27 In-Situ He Injection (ISHI) Experiment at 500 °C; Fusion Semi-Anual Report DOE-ER-031; U.S. Department of Energy, Office of Scientific and Technical Information: Oak Ridge, TN, USA, 2015; pp. 55–65.
- Cui, L.; Li, J.; Gerstl, S.; Pouchon, M.; Dai, Y. Quantitative APT analysis of solid transmutants in ferritic-martensitic steels after irradiation in SINQ targets: Experimental validation of neutronic calculations. Nucl. Instrum. Methods Phys. Res. B 2021, 502, 1–9. [Google Scholar] [CrossRef]
- Peng, L.; Xie, Y.; Ge, H.; Dai, Y.; Huang, Q.; Wan, Y. Correlation between microstructure and hardening of 9Cr ferritic/martensitic steels irradiated in spallation neutron source. J. Nucl. Mater. 2024, 597, 155122. [Google Scholar] [CrossRef]
- Dai, Y.; Krsjak, V.; Kuksenko, V.; Schäublin, R. Microstructural changes of ferritic/martensitic steels after irradiation in spallation target environments. J. Nucl. Mater. 2018, 511, 508–522. [Google Scholar] [CrossRef]
- Odette, G.R.; Lucas, G.E. Recent progress in understanding reactor pressure vessel steel embrittlement. Radiat. Eff. Defects Solids 1988, 144, 189–231. [Google Scholar]
- Bhattacharyya, D.; Yamamoto, T.; Wells, P.; Marquis, E.; Bachhav, M.; Wu, Y.; Davis, J.; Xu, A.; Odette, G.R. Microstructural changes and their effect on hardening in neutron irradiated Fe-Cr alloys. J. Nucl. Mater. 2019, 519, 274–286. [Google Scholar] [CrossRef]
- Kohyama, A.; Kohno, Y.; Asakura, K.; Yoshino, M.; Namba, C.; Eiholzer, C.R. Irradiation creep of low-activation ferritic steels in FFTF/MOTA. J. Nucl. Mater. 1994, 212–215, 751–754. [Google Scholar]
- Toloczko, M.B.; Grambau, B.R.; Garner, F.A.; Abe, K. Comparison of Thermal Creep and Irradiation Creep of HT9 Pressurized Tubes at Test Temperatures from ~490 °C to 605 °C. In Effects of Radiation on Materials: 20th International Symposium; ASTM International: West Conshohocken, PA, USA, 2001. [Google Scholar]
- Ando, M.; Li, M.; Tanigawa, H.; Grossbeck, M.L.; Kim, S.; Sawai, T.; Shiba, K.; Kohno, Y.; Kohyama, A. Creep behavior of reduced activation ferritic/martensitic steels irradiated at 573 and 773K up to 5dpa. J. Nucl. Mater. 2007, 367–370, 122–126. [Google Scholar] [CrossRef]
- Uehira, A.; Mizuta, S.; Ukai, S.; Puigh, R.J. Irradiation creep of 11Cr–0.5 Mo–2W, V, Nb ferritic–martensitic, modified 316, and 15Cr–20Ni austenitic SS irradiated in FFTF to 103–206 dpa. J. Nucl. Mater. 2000, 283, 396–399. [Google Scholar]
- Yano, Y.; Yamashita, S.; Ohtsuka, S.; Kaito, T.; Akasaka, N.; Shibayama, T.; Watanabe, S.; Takahashi, H. Mechanical properties and microstructural stability of 11Cr- ferritic/martensitic steel cladding under irradiation. J. Nucl. Mater. 2010, 398, 59–63. [Google Scholar]
- Garner, F.A.; Puigh, R.J. Irradiation creep and swelling of the fusion heats of PCA, HT9 and 9Cr-1Mo irradiated to high neutron fluence. J. Nucl. Mater. 1991, 179, 577–580. [Google Scholar]
- Garner, F.A.; Toloczko, M.B.; Sencer, B.H. Comparison of swelling and irradiation creep behavior of fcc-austenitic and bcc-ferritic/martensitic alloys at high neutron exposure. J. Nucl. Mater. 2000, 276, 123–142. [Google Scholar] [CrossRef]
- Führer, U.; Aktaa, J. Modeling the cyclic softening and lifetime of ferritic-martensitic steels under creep-fatigue loading. Int. J. Mech. Sci. 2018, 136, 460–474. [Google Scholar] [CrossRef]
- Aktaa, J.; Walter, M.; Angella, G.; Cippo, E.P. Creep-fatigue design rules for cyclic softening steels. Int. J. Fatigue 2019, 118, 98–103. [Google Scholar] [CrossRef]
- Masuyama, F.; Yamaguchi, T. New ferritic steels beyond Grade 92 and its creep degradation assessment by hardness method for Grade 91. In ASME Symposium on Elevated Temperature Application of Materials for Fossil, Nuclear, and Petrochemical Industries; American Society of Mechanical Engineers: Seattle, WA, USA, 2014; pp. 1–8. [Google Scholar]










| Comp | C | Cr | Mo | V | Nb | Mn | Ni | Si | W | Ta | Cu | N | S | Ti |
|---|---|---|---|---|---|---|---|---|---|---|---|---|---|---|
| Eu97 | 0.09–0.12 | 8.1–9.5 | 0.005 | 0.15–0.25 | 0.001 | 0.2–0.6 | 0.005 | 0.05 | 1–1.2 | 0.05–0.09 | 0.005 | 0.03 | 0.005 | 0.01 |
| NIMS-Gr91 | 0.09–0.1 | 8.5–8.7 | 0.9–0.96 | 0.21 | 0.076 | 0.35–0.45 | 0.04–0.28 | 0.24–0.38 | - | - | 0.012–0.032 | 0.042–0.058 | 0.001 | - |
| NIMS-Gr92 | 0.092–0.11 | 8.91–9.5 | 0.36–0.44 | 0.16–0.2 | 0.05–0.062 | 0.41–0.44 | 0.13–0.27 | 0.1–0.29 | 1.68–1.85 | - | - | 0.039–0.046 | 0.0003–0.0037 | 0.003 |
| Holms-Gr91 | 0.12 | 8.32 | 1.02 | 0.235 | 0.084 | 0.41 | 0.1 | 0.24 | - | - | 0.05 | 0.041 | 0.001 | 0.002 |
| Fit Parameters | All 17 Heats, tx > 10 h, 375–550 °C | 8 Eurofer97 Heats, tx ≥ 10 h; T = 450–550 °C |
|---|---|---|
| C0 | 1.464642 | 1.4194 |
| C1 | 20.2 | 20.2 |
| C2 | −81 | −81 |
| C3 | 5.5886 | 5.367485 |
| C4 | −9 | −10 |
| C5 | 282.31 | 286 |
| Q (kJ/mol) | 335 | 335 |
| P/M Slope | 1 | 1 |
| Intercept (MPa) | 0 | 0 |
| RMSE (MPa) | 11.3 | 10.6 |
| ME (MPa) | −0.004 | −0.005 |
Disclaimer/Publisher’s Note: The statements, opinions and data contained in all publications are solely those of the individual author(s) and contributor(s) and not of MDPI and/or the editor(s). MDPI and/or the editor(s) disclaim responsibility for any injury to people or property resulting from any ideas, methods, instructions or products referred to in the content. |
© 2025 by the authors. Licensee MDPI, Basel, Switzerland. This article is an open access article distributed under the terms and conditions of the Creative Commons Attribution (CC BY) license (https://creativecommons.org/licenses/by/4.0/).
Share and Cite
Alam, M.E.; Yamamoto, T.; Odette, G.R. Primary and Low-Strain Creep Models for 9Cr Tempered Martensitic Steels Including the Effects of Irradiation Softening and High-Helium Re-Hardening. Metals 2025, 15, 354. https://doi.org/10.3390/met15040354
Alam ME, Yamamoto T, Odette GR. Primary and Low-Strain Creep Models for 9Cr Tempered Martensitic Steels Including the Effects of Irradiation Softening and High-Helium Re-Hardening. Metals. 2025; 15(4):354. https://doi.org/10.3390/met15040354
Chicago/Turabian StyleAlam, Md Ershadul, Takuya Yamamoto, and George Robert Odette. 2025. "Primary and Low-Strain Creep Models for 9Cr Tempered Martensitic Steels Including the Effects of Irradiation Softening and High-Helium Re-Hardening" Metals 15, no. 4: 354. https://doi.org/10.3390/met15040354
APA StyleAlam, M. E., Yamamoto, T., & Odette, G. R. (2025). Primary and Low-Strain Creep Models for 9Cr Tempered Martensitic Steels Including the Effects of Irradiation Softening and High-Helium Re-Hardening. Metals, 15(4), 354. https://doi.org/10.3390/met15040354

