Thermomechanical Behavior of CuAlMn SMA Cellular Structures Obtained by Rapid Investment Casting
Abstract
1. Introduction
2. Materials and Methods
2.1. Material and Geometry of the Cellular Structures
2.2. Rapid Investment Casting
2.3. Experimental Characterization
3. Results and Discussion
3.1. The Manufacturing of CuAlMn SMA Cellular Structures
3.2. Dimensional Analysis
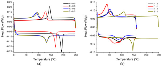
3.3. Transformation Temperatures
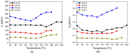
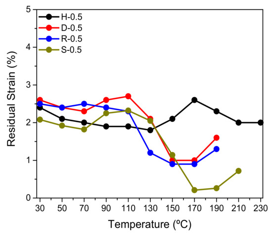
3.4. Isothermal Quasi-Static Compression Response
3.5. An Example of Self-Repairing CuAlMn Re-Entrant Cellular Structure
4. Conclusions
Author Contributions
Funding
Data Availability Statement
Acknowledgments
Conflicts of Interest
References
- Rao, A.; Srinivasa, A.R.; Reddy, J.N.; Rao, A.; Srinivasa, A.R.; Reddy, J.N. Introduction to shape memory alloys. In Design of Shape Memory Alloy (SMA) Actuators; Department of Mechanical Engineering, Texas A&M University: College Station, TX, USA, 2015. [Google Scholar] [CrossRef]
- Lagoudas, D.C. (Ed.) Shape Memory Alloys: Modeling and Engineering Applications; Springer: Boston, MA, USA, 2008; ISBN 9780387476858. [Google Scholar] [CrossRef]
- Otsuka, K.; Wayman, C.M. Shape Memory Materials; Cambridge University Press: Cambridge, UK, 1998. [Google Scholar]
- Duerig, T.; Melton, K.; Stockel, D.; Wayman, C. Engineering Aspects of Shape Memory Alloys; Butterworth-Heinemann: London, UK, 1990. [Google Scholar]
- Czechowicz, A.; Langbein, S. (Eds.) Shape Memory Alloy Valves; Springer International Publishing: Cham, Switzerland, 2015. [Google Scholar] [CrossRef]
- Dasgupta, R. A look into Cu-based shape memory alloys: Present scenario and future prospects. J. Mater. Res. 2014, 29, 1681–1698. [Google Scholar] [CrossRef]
- Sutou, Y.; Omori, T.; Wang, J.J.; Kainuma, R.; Ishida, K. Characteristics of Cu–Al–Mn-based shape memory alloys and their applications. Mater. Sci. Eng. A 2004, 378, 278–282. [Google Scholar] [CrossRef]
- Kumar, P.; Jain, A.K.; Hussain, S.; Pandey, A.; Dasgupta, R. Changes in the properties of Cu-Al-Mn shape memory alloy due to quaternary addition of different elements. Matéria 2015, 20, 284–292. [Google Scholar] [CrossRef]
- Wang, Q.; Han, F.; Cui, C. Effects of macroscopic graphite particulates on the damping behavior of CuAlMn shape memory alloy. J. Mater. Sci. 2007, 42, 5029–5035. [Google Scholar] [CrossRef]
- Xiao, Z.; Fang, M.; Li, Z.; Xiao, T.; Lei, Q. Structure and properties of ductile CuAlMn shape memory alloy synthesized by mechanical alloying and powder metallurgy. Mater. Des. 2014, 58, 451–456. [Google Scholar] [CrossRef]
- Bitzer, T. Honeycomb Technology; Springer: New York, NY, USA, 1998. [Google Scholar]
- Gibson, L.J.; Ashby, M.F. Cellular Solids-Structure and Properties; Cambridge University Press: Cambridge, UK, 1997. [Google Scholar] [CrossRef]
- Guo, S.; Zhang, G.; Li, L.; Wang, W.; Zhao, X. Effect of materials and modelling on the design of the space-based lightweight mirror. Mater. Des. 2009, 30, 9–14. [Google Scholar] [CrossRef]
- Sanami, M.; Ravirala, N.; Alderson, K.; Alderson, A. Auxetic materials for sports applications. Procedia Eng. 2014, 72, 453–458. [Google Scholar] [CrossRef]
- Duncan, O.; Shepherd, T.; Moroney, C.; Foster, L.; Venkatraman, P.D.; Winwood, K.; Allen, K.; Alderson, A. Review of auxetic materials for sports applications: Expanding options in comfort and protection. Appl. Sci. 2018, 8, 941. [Google Scholar] [CrossRef]
- Ju, J.; Ananthasayanam, B.; Summers, J.D.; Joseph, P. Design of cellular shear bands of a non-pneumatic tire-investigation of contact pressure. SAE Int. J. Passeng. Cars-Mech. Syst. 2010, 3, 598–606. [Google Scholar] [CrossRef]
- Subasi, O.; Karaismailoglu, B.; Ashkani-Esfahani, S.; Lazoglu, I. Investigation of lattice infill parameters for additively manufactured bone fracture plates to reduce stress shielding. Comput. Biol. Med. 2023, 161, 107062. [Google Scholar] [CrossRef]
- Meena, K.; Singamneni, S. A new auxetic structure with significantly reduced stress concentration effects. Mater. Des. 2019, 173, 107779. [Google Scholar] [CrossRef]
- Novak, N.; Vesenjak, M.; Ren, Z. Auxetic cellular materials-a review. Stroj. Vestn. -J. Mech. Eng. 2016, 62, 485–493. [Google Scholar] [CrossRef]
- Kolken, H.M.; Zadpoor, A.A. Auxetic mechanical metamaterials. RSC Adv. 2017, 7, 5111–5129. [Google Scholar] [CrossRef]
- Shaw, J.A.; Grummon, D.S.; Foltz, J. Superelastic NiTi honeycombs: Fabrication and experiments. Smart Mater. Struct. 2007, 16, S170. [Google Scholar] [CrossRef]
- Okabe, Y.; Sugiyama, H.; Inayoshi, T. Lightweight actuator structure with SMA honeycomb core and CFRP skins. J. Mech. Des. 2011, 133, 011006. [Google Scholar] [CrossRef]
- Hassan, M.R.; Scarpa, F.; Mohamed, N.A.; Ruzzene, M. Tensile properties of shape memory alloy chiral honeycombs. Phys. Status Solidi B 2008, 245, 2440–2444. [Google Scholar] [CrossRef]
- De Brito Simoes, J.; de Araújo, C.J. Nickel–titanium shape memory alloy mechanical components produced by investment casting. J. Intell. Mater. Syst. Struct. 2018, 29, 3748–3757. [Google Scholar] [CrossRef]
- Albuquerque, C.E.S.; Silva, P.C.S.; Grassi, E.N.D.; De Araujo, C.J.; Delgado, J.M.P.Q.; Lima, A.G.B. Optimizing the Gating System for Rapid Investment Casting of Shape Memory Alloys: Computational Numerical Analysis for Defect Minimization in a Simple-Cubic Cell Structure. Metals 2023, 13, 1138. [Google Scholar] [CrossRef]
- Montenegro, E.O.S.; Grassi, E.N.D.; Simões, J.B.; da Silva, P.S.; De Araújo, C.J. NiTi shape memory alloy cellular meshes: Manufacturing by investment casting and characterization. Smart Mater. Struct. 2020, 29, 125008. [Google Scholar] [CrossRef]
- Santiago, J.J.D.M.; Simões, J.D.B.; Araújo, C.J.D. Thermomechanical characterization of superelastic Ni-Ti SMA helical extension springs manufactured by investment casting. Mater. Res. 2019, 22, e20180852. [Google Scholar] [CrossRef]
- Zak, G.; Kneissl, A.C.; Zatulskij, G. Shape memory effect in cryogenic Cu-Al-Mn alloys. Scr. Mater. 1996, 34, 363–367. [Google Scholar] [CrossRef]
- Mallik, U.S.; Sampath, V. Influence of aluminum and manganese concentration on the shape memory characteristics of Cu–Al–Mn shape memory alloys. J. Alloys Compd. 2008, 459, 142–147. [Google Scholar] [CrossRef]
- Gholami-Kermanshahi, M.; Wu, Y.Y.; Lange, G.; Chang, S.H. Effect of alloying elements (Nb, Ag) on the damping performance of Cu–Al–Mn shape memory alloys. J. Alloys Compd. 2023, 930, 167438. [Google Scholar] [CrossRef]
- De Brito Simões, J.; Pereira, F.F.R.; Otubo, J.; de Araújo, C.J. Influence of Heat Treatments on a NiTi Shape Memory Alloy Obtained Using Vacuum Induction Melting and Reprocessed by Plasma Skull Push-Pull. MRS Online Proc. Libr. 2015, 1765, 121–126. [Google Scholar] [CrossRef]
- Otsuka, K.; Ren, X. Physical metallurgy of Ti–Ni-based shape memory alloys. Prog. Mater. Sci. 2005, 50, 511–678. [Google Scholar] [CrossRef]
- Habib, F.N.; Iovenitti, P.; Masood, S.H.; Nikzad, M. Cell geometry effect on in-plane energy absorption of periodic honeycomb structures. Int. J. Adv. Manuf. Technol. 2018, 94, 2369–2380. [Google Scholar] [CrossRef]
- De Souza, E.F.; da Silva, P.C.S.; Grassi, E.N.D.; De Araújo, C.J.; de Lima, A.G.B. Critical frequency of self-heating in a superelastic Ni-Ti belleville spring: Experimental characterization and numerical simulation. Sensors 2021, 21, 7140. [Google Scholar] [CrossRef]
- Logakannan, K.P.; Ramachandran, V.; Rengaswamy, J.; Gao, Z.; Ruan, D. Quasi-static and dynamic compression behaviors of a novel auxetic structure. Compos. Struct. 2020, 254, 112853. [Google Scholar] [CrossRef]
- Xiao, D.; Dong, Z.; Li, Y.; Wu, W.; Fang, D. Compression behavior of the graded metallic auxetic reentrant honeycomb: Experiment and finite element analysis. Mater. Sci. Eng. A 2019, 758, 163–171. [Google Scholar] [CrossRef]
- Dong, Z.; Li, Y.; Zhao, T.; Wu, W.; Xiao, D.; Liang, J. Experimental and numerical studies on the compressive mechanical properties of the metallic auxetic reentrant honeycomb. Mater. Des. 2019, 182, 108036. [Google Scholar] [CrossRef]
- Ingrole, A.; Hao, A.; Liang, R. Design and modeling of auxetic and hybrid honeycomb structures for in-plane property enhancement. Mater. Des. 2017, 117, 72–83. [Google Scholar] [CrossRef]
- Meena, K.; Singamneni, S. Novel hybrid auxetic structures for improved in-plane mechanical properties via additive manufacturing. Mech. Mater. 2021, 158, 103890. [Google Scholar] [CrossRef]
- Wang, K.; Chang, Y.H.; Chen, Y.; Zhang, C.; Wang, B. Designable dual-material auxetic metamaterials using three-dimensional printing. Mater. Des. 2015, 67, 159–164. [Google Scholar] [CrossRef]















| Cellular Structure ID | Height (mm) | Length (mm) | Relative Density (%) |
|---|---|---|---|
| H-0.5 | 29 | 44.456 | 13.3 |
| D-0.5 | 28.586 | 28.586 | 18.7 |
| R-0.5 | 29 | 31.144 | 16.4 |
| S-0.5 | 32.5 | 42 | 17 |
| H-1 | 28 | 42.724 | 26.5 |
| D-1 | 27.2 | 27.2 | 38.8 |
| R-1 | 28 | 34.25 | 32.7 |
| S-1 | 35 | 44 | 34 |
| Cellular Structure ID | PLA Model (mm) | CuAlMn SMA Cast (mm) | Contraction (%) |
|---|---|---|---|
| H-0.5 | 0.507 ± 0.035 | 0.477 ± 0.051 | 5.9% |
| D-0.5 | 0.508 ± 0.075 | 0.486 ± 0.074 | 4.3% |
| R-0.5 | 0.504 ± 0.041 | 0.478 ± 0.068 | 5.2% |
| S-0.5 | 0.502 ± 0.071 | 0.489 ± 0.047 | 2.6% |
| H-1 | 1.123 ± 0.081 | 0.972 ± 0.083 | 13.4% |
| D-1 | 1.097 ± 0.062 | 0.934 ± 0.055 | 14.8% |
| R-1 | 1.124 ± 0.113 | 0.957 ± 0.087 | 14.8% |
| S-1 | 1.076 ± 0.092 | 0.951 ± 0.078 | 11.6% |
| Transformation Temperatures (°C) | Enthalpies (J/g) | |||||
|---|---|---|---|---|---|---|
| Cellular Structure ID | Mf | Ms | As | Af | ||
| H-0.5 | 135.8 | 152.2 | 185.7 | 198.4 | 10.7 | 13.2 |
| D-0.5 | 113.6 | 135.5 | 158.9 | 172.8 | 11.1 | 10.1 |
| R-0.5 | 74.0 | 101.2 | 121.5 | 144.1 | 6.1 | 7.7 |
| S-0.5 | 80.7 | 103.9 | 124.1 | 142.6 | 4.1 | 7.5 |
| H-1 | 30.1 | 66.6 | 59.7 | 116.6 | 5.9 | 5.9 |
| D-1 | 20.5 | 49.7 | 46.1 | 99.8 | 7.5 | 7.3 |
| R-1 | 33.1 | 63.8 | 64.2 | 114.1 | 5.8 | 6.2 |
| S-1 | 87.3 | 117.5 | 140.5 | 150.2 | 4.1 | 5.3 |
Disclaimer/Publisher’s Note: The statements, opinions and data contained in all publications are solely those of the individual author(s) and contributor(s) and not of MDPI and/or the editor(s). MDPI and/or the editor(s) disclaim responsibility for any injury to people or property resulting from any ideas, methods, instructions or products referred to in the content. |
© 2024 by the authors. Licensee MDPI, Basel, Switzerland. This article is an open access article distributed under the terms and conditions of the Creative Commons Attribution (CC BY) license (https://creativecommons.org/licenses/by/4.0/).
Share and Cite
Alves, R.M.N.; Silva, P.C.S.; Cavalcante, D.G.L.; Oliveira, D.F.; De Araújo, C.J.; Delgado, J.M.P.Q.; Lima, A.G.B. Thermomechanical Behavior of CuAlMn SMA Cellular Structures Obtained by Rapid Investment Casting. Metals 2024, 14, 738. https://doi.org/10.3390/met14070738
Alves RMN, Silva PCS, Cavalcante DGL, Oliveira DF, De Araújo CJ, Delgado JMPQ, Lima AGB. Thermomechanical Behavior of CuAlMn SMA Cellular Structures Obtained by Rapid Investment Casting. Metals. 2024; 14(7):738. https://doi.org/10.3390/met14070738
Chicago/Turabian StyleAlves, Railson M. N., Paulo C. S. Silva, Danielle G. L. Cavalcante, Danniel F. Oliveira, Carlos J. De Araújo, João M. P. Q. Delgado, and Antonio G. B. Lima. 2024. "Thermomechanical Behavior of CuAlMn SMA Cellular Structures Obtained by Rapid Investment Casting" Metals 14, no. 7: 738. https://doi.org/10.3390/met14070738
APA StyleAlves, R. M. N., Silva, P. C. S., Cavalcante, D. G. L., Oliveira, D. F., De Araújo, C. J., Delgado, J. M. P. Q., & Lima, A. G. B. (2024). Thermomechanical Behavior of CuAlMn SMA Cellular Structures Obtained by Rapid Investment Casting. Metals, 14(7), 738. https://doi.org/10.3390/met14070738

