Effect of Cobalt on the Microstructure of Fe-B-Sn Amorphous Metallic Alloys
Abstract
1. Introduction
2. Materials and Methods
3. Results
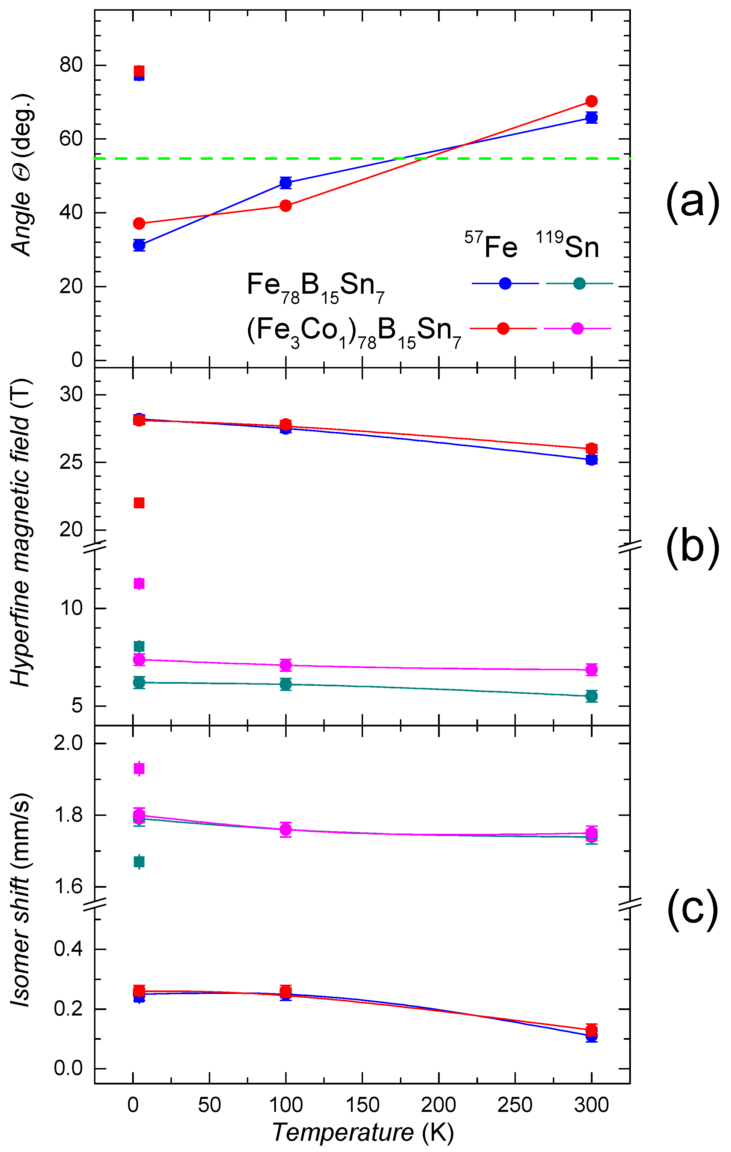
3.1. 57Fe Mössbauer Spectrometry
3.2. 119Sn Mössbauer Spectrometry
3.3. External Magnetic Field
4. Discussion
5. Conclusions
Author Contributions
Funding
Data Availability Statement
Acknowledgments
Conflicts of Interest
References
- Nasu, S. General Introduction to Mössbauer Spectroscopy. In Mössbauer Spectroscopy, 1st ed.; Yoshida, Y., Langouche, G., Eds.; Springer: Berlin/Heidelberg, Germany, 2013; pp. 1–22. [Google Scholar] [CrossRef]
- Miglierini, M.; Matúš, P. Structural modifications of metallic glasses followed by techniques of nuclear resonances. Pure Appl. Chem. 2017, 89, 405–417. [Google Scholar] [CrossRef]
- Herzer, G. Modern soft magnets: Amorphous and nanocrystalline materials. Acta Mater. 2013, 61, 718–734. [Google Scholar] [CrossRef]
- Jez, B.; Postawa, P.; Nabiałek, M. Structure and properties of magnetic composites based on amorphous Fe alloys. Bul. Pol. Acad. Sci. 2023, 71, e144608. [Google Scholar] [CrossRef]
- Yang, Z.Z.; Zhu, L.; Jiang, S.S.; Zhu, C.; Xu, Q.H.; Lin, Y.; Chen, F.G.; Wang, Y.G. Nanoscale structural heterogeneity and magnetic properties of Fe-based amorphous alloys via Co and Ni additions. J. Alloys Compd. 2022, 904, 164067. [Google Scholar] [CrossRef]
- Panahi, S.L.; Garcia-Ramón, M.; Pineda, E.; Bruna, P. New (FeCoCrNi)-(B,Si) high-entropy metallic glasses, study of the crystallization processes by X-ray diffraction and Mössbauer spectroscopy. J. Non-Cryst. Solids 2020, 547, 120301. [Google Scholar] [CrossRef]
- Li, T.; Li, Y.; Wu, L.; Qi, L.; Zhang, W. Improvement of soft magnetic properties of a Fe84Nb7B9 nanocrystalline alloy by synergistic substitution of P and Hf. J. Alloys Compd. 2022, 918, 165735. [Google Scholar] [CrossRef]
- Yang, Z.Z.; Jiang, S.S.; Ye, L.X.; Zhu, C.; Gao, X.; Yang, H.; Wang, Y.G. Nanoscale structural heterogeneity perspective on the ameliorated magnetic properties of a Fe-based amorphous alloy with decreasing cooling rate. J. Non-Cryst. Solids 2022, 581, 121433. [Google Scholar] [CrossRef]
- Sünbül, S.E.; Akyol, S.; İçin, K.; Umićević, A.; Ivanovski, V.; Batalović, K. Investigating oxidation behavior of Fe38Co38Mo8B15Cu1 alloy ribbons—Structural, magnetic and Mössbauer study. J. Non-Cryst. Solids 2024, 627, 122836. [Google Scholar] [CrossRef]
- Zamora, J.; Betancourt, I.; García Hinojosa, J.A. The Influence of Boron on Microstructural Evolution, Mechanical and Magnetic Behavior of Amorphous Fe91−xZr5Nb4Bx Melt-Spun Alloys. Metals 2022, 12, 994. [Google Scholar] [CrossRef]
- Xu, T.; Yao, J.; Zhuo, L.; Jie, Z. Tuning Non-Isothermal Crystallization Kinetics between Fe20Co20Ni20Cr20(P0.45B0.2C0.35)20 High-Entropy Metallic Glass and the Predecessor Fe75Cr5P9B4C7 Metallic Glass. Metals 2023, 13, 1624. [Google Scholar] [CrossRef]
- Huang, X.; Ding, S.; Wang, Z.; Wang, L.; Liu, M.; Wang, Z.; Liang, X.; Liu, W. Effects of annealing temperature on the structure characteristics of Fe83Si6B6Cu1Nb1P1.5C1.5 amorphous ribbons. J. Non-Cryst. Solids 2022, 580, 121388. [Google Scholar] [CrossRef]
- Zhang, H.; Bai, F.; Dong, Y.; Xie, L.; Li, Q.; He, A.; Li, J. Effect of Ge Addition on Magnetic Properties and Crystallization Mechanism of FeSiBPNbCu Nanocrystalline Alloy with High Fe Content. Metals 2022, 12, 640. [Google Scholar] [CrossRef]
- Butvinová, B.; Švec Sr., P.; Janotová, I.G.; Dias, L.V.; Janičkovič, D.; Maťko, I. Magnetic properties and structure of short-term annealed FeCuBPSi nanocrystalline alloys. J. Magn. Magn. Mater. 2024, 590, 171662. [Google Scholar] [CrossRef]
- Miglierini, M.B.; Dekan, J.; Cesnek, M.; Janotová, I.; Švec, P.; Bujdoš, M.; Kohout, J. Hyperfine interactions in Fe/Co-B-Sn amorphous alloys by Mössbauer spectrometry. J. Magn. Magn. Mater. 2020, 500, 166417. [Google Scholar] [CrossRef]
- Butvinová, B.; Švec Sr., P.; Janotová, I.; Fos, A.; Maťko, I.; Janičkovič, D. Magnetic and structural properties of (Fe-Co)83(Sn-P)5B12 alloys with high saturation. J. Magn. Magn. Mater. 2021, 535, 168069. [Google Scholar] [CrossRef]
- Fos, A.; Švec Sr., P.; Janotová, I.; Janičkovič, D.; Butvinová, B.; Búran, M.; Kyritsi, A.; Konstantinidis, N.; Novák, P. Effect of Cu and Co addition on non-isothermal crystallization kinetics of rapidly quenched Fe-Sn-B based alloys. J. Non-Cryst. Solids 2022, 593, 121785. [Google Scholar] [CrossRef]
- Maťko, I.; Illeková, E.; Švec Sr., P.; Švec, P.; Janičkovič, D.; Vodárek, V. Microstructural study of the crystallization of amorphous Fe–Sn–B ribbons. J. Alloys Compd. 2014, 615, S462–S466. [Google Scholar] [CrossRef]
- Li, X.; Liu, J.; Qu, C.; Song, K.; Hu, L.; Wang, L. Preparation and properties of Fe-B-P-Sn soft magnetic amorphous alloys with Fe contents higher than 83%. J. Non-Cryst. Solids 2017, 469, 27–30. [Google Scholar] [CrossRef]
- Dunlap, R.A. Sn and Fe hyperfine field distributions in the amorphous ferromagnet Fe80−xSnxB20. Solid State Commun. 1982, 43, 57–60. [Google Scholar] [CrossRef]
- Miglierini, M.; Rusakov, V.S. 57Fe and 119Sn Mössbauer Effect Study of Fe-Sn-B Amorphous Alloys. AIP Conf. Proc. 2010, 1258, 29–38. [Google Scholar] [CrossRef]
- Costa, B.F.O.; Le Caër, G.; Amado, M.M.; Sousa, J.B.; Ayres de Campos, N. Magnetic properties of coarse-grained and nanocrystalline Fe–Cr–Sn alloys. J. Alloys Compd. 2000, 308, 49–55. [Google Scholar] [CrossRef]
- Yelsukov, E.P.; Voronina, E.V.; Konygin, G.N.; Barinov, V.A.; Godovikov, S.K.; Dorofeev, G.A.; Zagainov, A.V. Structure and magnetic properties of Fe100−xSnx (3.2 < x < 62) alloys obtained by mechanical milling. J. Magn. Magn. Mater. 1997, 166, 334–348. [Google Scholar] [CrossRef]
- Kuzmann, E.; Sziráki, L.; Stichleutner, S.; Homonnay, Z.; Lak, G.B.; El-Sharif, M.; Chisholm, C.U. Mössbauer and XRD study of novel quaternary Sn-Fe-Co-Ni electroplated alloy. Hyperfine Int. 2017, 238, 97. [Google Scholar] [CrossRef]
- Stichleuter, S.; Lak, G.B.; Kuzmann, E.; Chisholm, C.U.; El-Sharif, M.; Homonnay, Z.; Sziráki, L. Mössbauer and XRD study of pulse plated Sn-Fe, Sn-Ni and Sn-Ni-Fe electrodeposited alloys. Hyperfine Int. 2014, 226, 15–25. [Google Scholar] [CrossRef]
- Drago, V.; Baggio Saitovitch, E. Short range order in vapor quenched amorphous MnxSn1−x alloys using in situ 119Sn Mössbauer spectroscopy. Solid State Commun. 1987, 64, 153–155. [Google Scholar] [CrossRef]
- Unzueta, I.; López-García, J.; Sánchez-Alarcos, V.; Recarte, V.; Pérez-Landazábal, J.I.; Rodríguez-Velamazán, J.A.; Garitaonandia, J.S.; García, J.A.; Plazaola, F. Testing the Applicability of 119Sn Mössbauer Spectroscopy for the Internal Stress Study in Ternary and Co-Doped Ni-Mn-Sn Metamagnetic Alloys. Metals 2021, 11, 450. [Google Scholar] [CrossRef]
- Brand, R.A. Improving the validity of hyperfine field distributions from magnetic alloys: Part I: Unpolarized source. Nucl. Instrum. Methods Phys. Res. B Beam Interact. Mater. At. 1987, 28, 398–416. [Google Scholar] [CrossRef]
- Giefers, H.; Nicol, M. High pressure X-ray diffraction study of all Fe-Sn intermetallic compounds and one Fe-Sn solid solution. J. Alloys Compd. 2006, 422, 132–144. [Google Scholar] [CrossRef]
- Delyagin, N.N.; Kornienko, E.N. Magnetic hyperfine interaction for tin atoms in metallic ferro- and antiferromagnets with bcc structure. Sov. Phys. JETP 1972, 34, 1036–1041. [Google Scholar]
- Balabanov, A.E.; Delyagin, N.N. Temperature dependence of the magnetic hyperfine interaction for impurity atoms in metallic ferromagnets. Sov. Phys. JETP 1970, 30, 1054–1058. [Google Scholar]
- Huffman, G.P.; Dunmyre, G.R. Hyperfine fields at 119Sn nuclei in ordered Fe-Co and γ-Fe-Mn. AIP Conf. Proc. 1973, 10, 1361–1364. [Google Scholar] [CrossRef]
- Kulshreshtha, S.K.; Raj, P. Transferred hyperfine fields at 119Sn in Fe1−xMxSn [M = Mn, Co and Ni]. Solid State Commun. 1978, 28, 787–791. [Google Scholar] [CrossRef]
- Jain, A.P.; Cranshaw, T.E. Anomalous temperature dependence of the hyperfine fields at Sn in cobalt. Phys. Lett. A 1967, 25, 421–422. [Google Scholar] [CrossRef]
- Boyle, A.J.F.; Bunbury, D.S.P.; Edwards, C. Polarization of the conduction electrons in the ferromagnetic metals. Phys. Rev. Lett. 1960, 5, 553–556. [Google Scholar] [CrossRef]






| Sample | Fe | Co | B | Sn | |
|---|---|---|---|---|---|
| Fe78B15Sn7 | wt. % | 80.0 | - | 2.85 | 15.0 |
| at. % | 78.3 | - | 14.7 | 7.04 | |
| (Fe3Co1)78B15Sn7 | wt. % | 59.6 | 20.6 | 2.86 | 15.0 |
| at. % | 58.6 | 19.6 | 14.8 | 7.06 |
| Sample | Condition | Parameters | ||||
|---|---|---|---|---|---|---|
| Θ (deg) | 57Fe MS | 119Sn MS | ||||
| <B> (T) | <δ> (mm/s) | <B> (T) | <δ> (mm/s) | |||
| Fe78B15Sn7 | RT | 65.8 | 25.2 | 0.11 | 5.50 | 1.74 |
| 100 K | 48.1 | 27.5 | 0.25 | 6.11 | 1.76 | |
| 4.2 K | 31.2 | 28.2 | 0.25 | 6.20 | 1.79 | |
| 4.2 K/6 T | 77.3 | 22.0 | 0.24 | 8.04 | 1.67 | |
| (Fe3Co1)78B15Sn7 | RT | 70.2 | 26.0 | 0.13 | 6.86 | 1.75 |
| 100 K | 41.9 | 27.8 | 0.26 | 7.09 | 1.76 | |
| 4.2 K | 37.1 | 28.1 | 0.26 | 7.37 | 1.80 | |
| 4.2 K/6 T | 78.4 | 22.0 | 0.26 | 11.26 | 1.93 | |
Disclaimer/Publisher’s Note: The statements, opinions and data contained in all publications are solely those of the individual author(s) and contributor(s) and not of MDPI and/or the editor(s). MDPI and/or the editor(s) disclaim responsibility for any injury to people or property resulting from any ideas, methods, instructions or products referred to in the content. |
© 2024 by the authors. Licensee MDPI, Basel, Switzerland. This article is an open access article distributed under the terms and conditions of the Creative Commons Attribution (CC BY) license (https://creativecommons.org/licenses/by/4.0/).
Share and Cite
Grey, D.G.; Cesnek, M.; Bujdoš, M.; Miglierini, M.B. Effect of Cobalt on the Microstructure of Fe-B-Sn Amorphous Metallic Alloys. Metals 2024, 14, 712. https://doi.org/10.3390/met14060712
Grey DG, Cesnek M, Bujdoš M, Miglierini MB. Effect of Cobalt on the Microstructure of Fe-B-Sn Amorphous Metallic Alloys. Metals. 2024; 14(6):712. https://doi.org/10.3390/met14060712
Chicago/Turabian StyleGrey, Daniel G., Martin Cesnek, Marek Bujdoš, and Marcel B. Miglierini. 2024. "Effect of Cobalt on the Microstructure of Fe-B-Sn Amorphous Metallic Alloys" Metals 14, no. 6: 712. https://doi.org/10.3390/met14060712
APA StyleGrey, D. G., Cesnek, M., Bujdoš, M., & Miglierini, M. B. (2024). Effect of Cobalt on the Microstructure of Fe-B-Sn Amorphous Metallic Alloys. Metals, 14(6), 712. https://doi.org/10.3390/met14060712

