Next Article in Journal
Modeling Yield Strength of Austenitic Stainless Steel Welds Using Multiple Regression Analysis and Machine Learning
Next Article in Special Issue
Hot Rolling on Microstructure and Properties of NbHfTiVC0.1 Refractory High-Entropy Alloy
Previous Article in Journal
Rapid Prediction of Hot-Air Temperature of Kalugin Top Combustion Hot Blast Stove by Means of Computational Fluid Dynamics Numerical Simulation
Previous Article in Special Issue
Fatigue Behavior of Cu-Zr Metallic Glasses under Cyclic Loading
 
 
Font Type:
Arial Georgia Verdana
Font Size:
Aa Aa Aa
Line Spacing:
Column Width:
Background:
Article

Tuning Non-Isothermal Crystallization Kinetics between Fe20Co20Ni20Cr20(P0.45B0.2C0.35)20 High-Entropy Metallic Glass and the Predecessor Fe75Cr5P9B4C7 Metallic Glass

1
School of Materials and Chemical Engineering, Xi’an Technological University, Xi’an 710021, China
2
AECC Beijing Institute of Aeronautical Materials, Beijing 100095, China
3
School of Materials Science and Engineering, Xi’an University of Technology, Xi’an 710048, China
*
Authors to whom correspondence should be addressed.
These authors contributed equally to this work.
Metals 2023, 13(9), 1624; https://doi.org/10.3390/met13091624
Submission received: 12 July 2023 / Revised: 22 August 2023 / Accepted: 4 September 2023 / Published: 20 September 2023
(This article belongs to the Special Issue Feature Papers in Entropic Alloys and Meta-Metals)

Abstract

:
In the present work, comparisons of non-isothermal crystallization kinetics between Fe20Co20Ni20Cr20(P0.45B0.2C0.35)20 high-entropy metallic glass (HEMG) and the predecessor Fe75Cr5P9B4C7 metallic glass (MG) were performed with X-ray diffraction and differential scanning calorimetry approaches. The HEMG possesses a harsher crystallization process compared with the predecessor MG, deriving from a higher triggering energy for all the characteristic transitions and local activation energy along with a smaller local Avrami exponent and a growth with pre-existing nuclei. Meanwhile, the glass transition is the easiest process, but the nucleation of the second crystallization case is the hardest transition for the HEMG. However, the predecessor MG possesses distinctly different crystallization features of a moderate difficulty for the glass transition, the harshest process for the growth transition of the second crystallization case, and a crystallization of growth with a diverse nucleation rate. These results conclusively prove that the non-isothermal crystallization kinetics can be significantly changed after the present high-entropy alloying with the substitution of similar solvent elements Co, Ni, and Cr with Fe in Fe75Cr5P9B4C7 MG. Moreover, the two alloys possess a strong glassy formation melt with high thermal stability and diverse crystallized products after non-isothermal crystallization.

1. Introduction

As typical metastable alloys, the metal–metalloid-type alloys of Fe-P-based high-entropy metallic glasses (HEMGs) and the predecessor metallic glasses (MGs) normally possess superior merits of excellent soft-magnetic properties, visible plasticity, outstanding corrosion resistance, along with high strength and hardness, which are beneficial for the flourishing of theoretical and engineered explorations of the alloys [1,2,3,4,5,6,7]. Nevertheless, it is worth noting that the metastable alloys of HEMGs and MGs will natively change to the stable crystalline counterparts, and it becomes less resistant at elevated temperatures, ineluctably affecting the structures and performances of the alloys [1,2,8,9,10,11,12,13,14,15,16,17]. Consequently, it is greatly imperative to research the crystallization behaviors or kinetics of HEMGs and the predecessor MGs using different annealing strategies, as this can provide key evidence for dissecting the formation of the alloys as well as the corresponding correlations, controlling the structures and performances of the alloys and fabricating glassy crystalline composites with prominent prospects [8,9,10,11,12,13,14,15,16,17].
Generally, research on the non-isothermal crystallization behaviors or kinetics for various MGs is attracting more interest [1,8,9,10,11,12,13,14,15,16,17]. During the research, the alloys were continuously heated to a certain temperature until the completion of crystallization under different heating rates, which was executed by differential scanning calorimetry (DSC). Meanwhile, features of the crystallization behaviors are also evaluated by means of phase characterization, Kissinger, Ozawa, Kissinger–Akahira–Sunose (KAS), Ozawa–Flynn–Wall (OFW), and Vogel–Fulcher–Tammann (VFT). Accordingly, the crystallized phases and typical parameters of energy (E) for triggering diverse transitions at typical temperatures, the local activation energy, the local Avrami exponent, and the kinetic fragility parameter for characterizing the non−isothermal processes can be obtained. However, the difference of the non-isothermal crystallization kinetics between the Fe-P-based HEMGs and the predecessor MGs are excessively disregarded. More importantly, the high-entropy alloying effect through the substitution of similar solvent elements with Fe on the non-isothermal crystallization kinetics is also lacking, which fails to do justice to the impressive properties of these alloys.
In our recent research, a Fe-P-based HEMG Fe20Co20Ni20Cr20(P0.45B0.2C0.35)20 (at.%) was synthetized from the predecessor Fe75Cr5P9B4C7 (at.%) MG by high-entropy alloying with the substitution of similar solvent elements Co, Ni, and Cr with Fe. In comparison with the predecessor Fe75Cr5P9B4C7 MG, the Fe20Co20Ni20Cr20(P0.45B0.2C0.35)20 alloy possesses superior merits, including a wider supercooled liquid region of about 58 K, more outstanding corrosion resistance of undetectable weight loss in 1M HCl solution, and good plasticity, with no fracture when bent 180°, which makes it preferred as a novel advanced HEMG. Therefore, the Fe20Co20Ni20Cr20(P0.45B0.2C0.35)20 HEMG (denoted as FeP−HEMG in the following text) and the predecessor Fe75Cr5P9B4C7 MG (denoted as FeP−MG in the following text) were separately studied as the Fe-P-based HEMG and the predecessor MG in this work. Accordingly, the non-isothermal crystallization kinetics of the two alloys were comprehensively researched by means of phase characterization, Kissinger, Ozawa, KAS, OFW, local Avrami exponent, and VFT through X-ray diffraction (XRD) and DSC, in order to reveal the features of the non-isothermal crystallization processes of the Fe-P-based HEMG and the predecessor MG as well as the high-entropy alloying effects of the substitution of similar solvent elements Co, Ni, and Cr with Fe on the properties.

2. Experimental Methods

The Fe20Co20Ni20Cr20(P0.45B0.2C0.35)20 and Fe75Cr5P9B4C7 master ingots were fused from the combinations of pure metals (Fe, Co, Ni, Cr, C), FeP alloy (P: 24.98 and Fe: balance, wt.%), and FeB alloy (B: 20.85, Si: 0.34, C: 0.079, P: 0.023, Al: 0.054 and Fe: balance, wt.%) in a vacuum induction furnace. Ribbons were produced by melt spinning with a Cu-wheel rotating at about 3200 r min−1; the wheel was about 2 mm wide and 20 μm thick. Structures for the as-cast and the non-isothermal devitrified ribbons were characterized using XRD (D2 PHASER Gen2, Cu−Kα radiation) under room temperature. The non-isothermal crystallizations for the FeP−HEMG and the predecessor FeP−MG were performed by DSC (METTLER−TOLEDO TGA/DSC1) in an argon atmosphere with similar experimental procedures. In detail, the alloys were annealed until the completion of the crystallization by continuous heat with rates from 0.167 K s−1 to 0.833 K s−1, separately. Meanwhile, the starting and final temperatures for non-isothermal cases are, respectively, about 200 °C or 473 K and 800 °C or 1073 K, and the temperature increases once every second.

3. Results and Discussion

3.1. Structure Characterization

Figure 1a,b separately display the XRD curves for the as-cast and non-isothermal annealed ribbons of FeP−HEMG and the predecessor FeP−MG. It exhibits a broad halo rather than sharp diffraction peaks of crystalline phases on the XRD pattern for both of the as-cast ribbons, which indicates an amorphous structure. It also displays in Figure 1a that the XRD patterns of the non-isothermal crystallized FeP−HEMG under heating rates from 0.167 K s−1 to 0.833 K s−1 possess similar sharp diffraction peaks, which can be generally characterized as crystalline phases of (Fe,Co,Ni,Cr)23(C,B)6, (Fe,Co,Ni,Cr)3P and some unknown phases. Additionally, it depicts in Figure 1b that the XRD patterns of the non-isothermal crystallized FeP−MG under heating rates from 0.167 K s−1 to 0.833 K s−1 show similar sharp diffraction peaks as well, and the corresponding phases can be mainly established as α−(Fe,Cr), (Fe,Cr)23(C,B)6, (Fe,Cr)3P, (Fe,Cr)3C and some unknown phases. Accordingly, it can be deduced that the variety of the crystalline products for the FeP−HEMG after the present non-isothermal crystallization is reduced in comparison with that of the predecessor FeP−MG, corresponding to the reduced diversity of the crystalline phases after the present high-entropy alloying.

3.2. Non−Isothermal Crystallization Behaviors

Figure 2a,b separately exhibit the non-isothermal crystallization DSC curves of FeP−HEMG and the predecessor FeP−MG under the heating rates from 0.167 K s−1 to 0.833 K s−1. It exhibits that all the five curves for each alloy possess typical characteristics for MGs, such as glass transition, supercooled liquid region and the following crystallization exothermic processes. Meanwhile, it can be clearly seen that the typical temperatures (for instance, the glass transition temperature (Tg), the crystallization temperature (Tx), the peak temperature (Tp) and the supercooled liquid region (ΔTx = TxTg)) change to high values as the heating rates elevate from 0.167 to 0.833 K s−1 for both the two MGs, which coincides with the typical feature of the glass transition and crystallization process dependence on the heating rate. Moreover, it exhibits that the five DSC curves for both the alloys mainly comprise two crystallization peaks, which correspond to two crystallization processes, and all the first crystallization peaks split into two parts. Furthermore, the Tx1, Tx2, Tp1 and Tp2 on the curves separately represent the crystallization onset temperature and the peak temperature of the first and the second crystallization case for the two MGs. It is noted that values for present typical temperatures were mainly determined by the well-known tangent method, which along with value of ΔTx for the two MGs are concluded in Table 1.
It is also shown in Figure 2a,b that one more inflection between Tx1 and Tp1 can be clearly observed before the main crystallization peak on each DSC curve, which was marked by a black short dash line. As is well known for FeP-based MGs or amorphous alloys that shoulders, overlaps or superpositions (similar with the present inflections) on the crystallization exothermic peaks of DSC curves are generally the primary crystallization exothermic peaks before the main crystallization peaks, which usually corresponds to primary crystallization of the α−Fe phase, Fe3(P,C) phase, Fe23C6 phase or other phases. Therefore, it can be deduced that the present inflections are also primary crystallization exothermic peaks before the main crystallization peaks, which potentially corresponds to the primary crystallization of the (Fe,Co,Ni,Cr)23(C,B)6 phase or (Fe,Co,Ni,Cr)3P phase for present HEMG and the α−(Fe,Cr) phase, (Fe,Cr)3P phase, (Fe,Cr)3C phase or (Fe,Cr)23(C,B)6 phase for present HEMG based on the above descriptions and the XRD results of the non-isothermal crystallization in present Figure 1.
It is commonly accepted that the energy (E) for triggering the characteristic transitions (for instance, Eg for the glass transition, Ex for the onset of the crystallization and Ep for the transition at the peak temperature) can be employed to characterize features of the non-isothermal crystallization, which are generally obtained by Kissinger [18] and Ozawa [19] methods. For the Kissinger method, it is usually used as [18]
ln ( T 2 φ ) = E R T + c 1   ,
where φ, c1, T and E separately denote the heating rate, a constant, the typical temperatures (for instance, Tg, Tx and Tp) and the energy (E) for triggering the characteristic transitions (for instance, Eg, Ex and Ep). Obviously, values of various E can be derived from the plots between ln(T2/φ) and 1000/T by linear fitting. Figure 3a,b separately depict the fitted lines for 1000/T − ln(T2/φ) of FeP−HEMG and the predecessor FeP−MG. It exhibits that all the fitted plots possess a high degree of linearity. Thus, values of the Eg, Ex1, Ex2, Ep1 and Ep2 for triggering the transitions at typical temperatures of Tg, Tx1, Tx2, Tp1 and Tp2 for the present MGs can be estimated according to the slopes of the matched lines, which are summarized in Table 2.
Additionally, the Eg, Ex and Ep for both of the present alloys were also characterized through the Ozawa method based on the following form [19]:
ln ( φ ) =   1.0516 E R T + c 2   ,  
where c2 represents a constant. Correspondingly, values of various E can also be derived from the plots between ln(φ) and 1000/T by linear fitting, which are separately depicted in Figure 4a (FeP−HEMG) and b (FeP−MG). It exhibits that there are also good linear relations between the present ln(φ) and 1000/T for the two MGs. Hence, values of Eg, Ex1, Ex2, Ep1 and Ep2 for the present MGs can be derived from the slopes of the matched lines as well, which are also summarized in Table 2.
It exhibits that values of Eg, Ex and Ep derived from the above two methods are comparable with each other for each alloy. Meanwhile, it exhibits that values of various E for FeP−HEMG are all much higher than that for the predecessor FeP−MG, suggesting that a much higher energy is required for triggering all the characteristic transitions of the FeP−HEMG in comparison with that for the predecessor FeP−MG. As is known, a higher value of E always corresponds to a harsher transition of the process. Meanwhile, it is generally accepted that Ex and Ep also denote the energy for triggering the crystallization transition of nucleation and growth, separately [20]. Consequently, it reveals that the glass transition, the transition for nucleation and growth stage of the two crystallization cases for the FeP−HEMG are all much harsher than those of the predecessor FeP−MG, inferring that all the characteristic transitions of the non-isothermal crystallization become much severer after the present high-entropy alloying with the substitution of similar solvent elements Co, Ni, and Cr with Fe in FeP−MG.
For the FeP−HEMG, it also exhibits that all values of Ex1, Ex2, Ep1 and Ep2 are much higher than the value of Eg, meaning that all the typical transitions of the present two crystallization processes are much harder than the glass transition, since Eg, Ex1, Ex2, Ep1 and Ep2 separately denote the energy for triggering the glass transition, the transition for nucleation and growth stage of the two crystallization processes. Meanwhile, it displays that the value of Ex2 is higher than that of other typical transitions, inferring that the transition of nucleation for the second crystallization case is the hardest process. Additionally, it shows that the value of Ep1 is much higher than that of Ex1, which points out that the transition for growth is much harsher than the transition for nucleation of the first crystallization case. In comparison, the value of Ex2 is much higher than that of Ep2, which indicates that the transition for nucleation is much harsher than the transition for growth for the second crystallization case, possessing nearly an opposite feature in comparison with that of the first crystallization case.
For the predecessor FeP−MG, it can be seen that the value of Eg is higher than that of Ex1 and Ep1, but a little lower than that of Ex2 and Ep2, which means that the glass transition is more difficult than the transitions of nucleation and growth of the first crystallization case, but a little easier than the transitions of nucleation and growth for the second crystallization case. In the meantime, it can be concluded that the typical transitions of the second crystallization are harder than the glass transition and the typical transitions of the first crystallization. It is worth noting that Ep2 possesses the highest value, indicating that the growth for the second crystallization is the harshest transition. Moreover, it also displays that the value of Ex1 is a little lower than that of Ep1 and the value of Ex2 is a little lower than that of Ep2 as well, which implies that the transition of nucleation is a little easier than the transition of growth for each crystallization. These features of the various E for the predecessor FeP−MG are evidently different from that of the FeP−HEMG, which demonstrates that the non-isothermal crystallization kinetics can be visibly affected after the present high-entropy alloying with the substitution of similar solvent elements Co, Ni, and Cr with Fe in FeP−MG.
Noticeably, the above E denotes the energy for triggering the whole characteristic transition of the non-isothermal crystallization. Accordingly, the energy for triggering the transition at crystallized volume fraction (x) during non-isothermal crystallization was proposed, which was named local activation energy (E(x)). Correspondingly, it can be employed to characterize the feature during the non-isothermal crystallization. Generally, E(x) can be evaluated by the KAS approach [21,22] and OFW approach [19,23,24] with the following forms:
ln ( T ( x ) 2 φ ) = E ( x ) R T ( x ) + constant ,   ( KAS   approach )  
ln ( φ ) = 1.0516 E ( x ) R T ( x ) + constant ,   ( OFW   approach )  
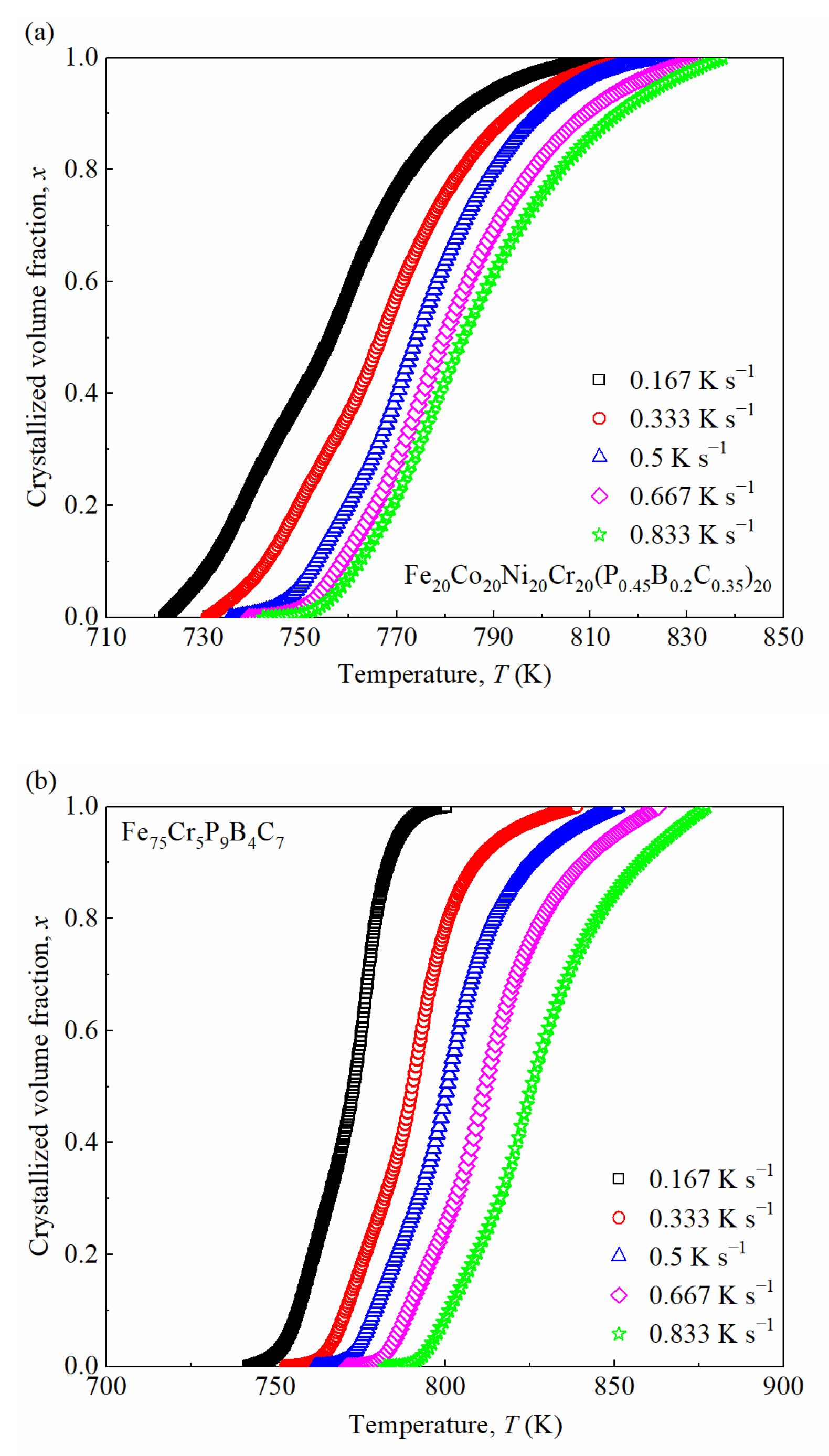
where T(x) denotes the temperature at crystallized volume fraction x. Generally, the crystallization volume fraction is proportionally relevant with the area of the crystallization peak on the DSC curve. Thus, values of x can be mathematically characterized by integrating the crystallization peak. Correspondingly, values of x in this work can be derived from the crystallization peaks in Figure 2. Noticeably, the crystallized volume fraction of the first crystallization peak for each MG was only employed in the present work, and the corresponding plots between the present x and the T under diverse heating rates are depicted in Figure 5a,b. It depicts that all the plots can be characterized as the typical “s” form plot, exhibiting the x with a change tendency of a slow increase at first, then a steep increase and slow increase again in the end with the increment of the temperature, which is similar to that in other HEMGs and MGs [8,9,10,11,13,14,15,16].
Similarly, values of E(x) can be also obtained from the slopes of the linear fitted lines using the KAS method (ln(T(x)2/φ) against 1000/T(x)) or OFW method (ln(φ) against 1000/T(x)). The plots for characterizing E(x) of the present two alloys using the KAS and OFW methods are separately displayed in Figure 6a,b and Figure 7a,b. Noticeably, data for 0.2 ≤ x ≤ 0.8 of each alloy are employed for the advantage of lower experimental error compared to the preliminary (x in 0~0.2) and final (x in 0.8~1.0) crystallization regions. It presents that all the plots of the two MGs match very well with the linear fitting lines. Consequently, values of the present E(x) for each alloy can be derived by the KAS and OFW methods, and the corresponding plots between E(x) and x are separately displayed in Figure 8a,b. It exhibits that E(x) derived from the KAS method is similar to that derived from OFW for both of the present alloys. Noticeably, all the E(x) values for the FeP−HEMG keep in the range of about 228~276 kJ mol−1, which are much higher than that for the predecessor FeP−MG with a range of about 123~161 kJ mol−1. As is mentioned above that a higher value of E generally means a higher energy for triggering the corresponding transition, indicating a harsher transition. Therefore, it can be inferred that the process for the FeP−HEMG is much harsher than that for the predecessor FeP−MG during the present non-isothermal crystallization process. These results further imply that the non-isothermal crystallization become much severer after the present high-entropy alloying with the substitution of similar solvent elements Co, Ni, and Cr with Fe in FeP−MG.
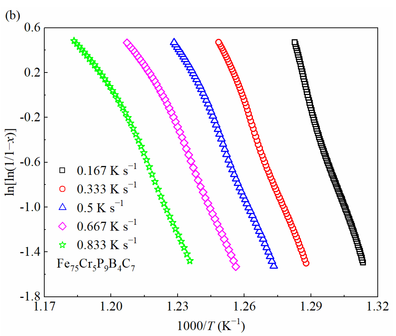
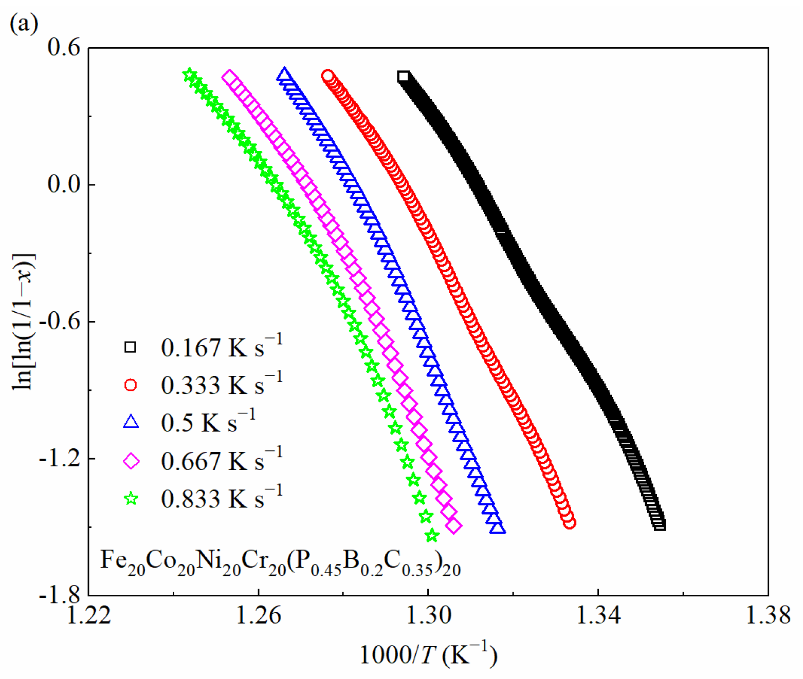
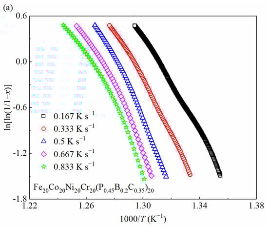
Moreover, it has been widely accepted that the details of the crystallization process for HEMGs and MGs during the non-isothermal annealing can be characterized by another typical parameter of local Avrami exponent n(x), denoting values of Avrami exponent (n) at crystallized volume fraction x during the process. Noticeably, n is a typical parameter to characterize the nucleation and growth features of the MGs during crystallization. Generally, n(x) is employed as the following equation, which was derived from the equation (n(x) = dln[−ln(1 − x)]/dln(tτ)), where d, t and τ, respectively, denote the differentiation operation, isothermal crystallization time and the incubation time during the isothermal crystallization) for evaluating the local Avrami exponent during the isothermal crystallization [25]:
n ( x ) = R d ln [ ln ( 1 / 1     x ) ] E ( x ) d ( 1 / T )   ,  
where T denotes the temperature T(x). It exhibits that n(x) can be mathematically estimated from the plots of ln[ln(1/1 − x)] versus 1000/T by differentiation. The corresponding plots under various heating rates for the present two alloys are separately displayed in Figure 9a,b. It is noteworthy that data in 0.2 ≤ x ≤ 0.8 for both the two alloys are used because of the advantage of lower experimental error compared to the preliminary (x in 0~0.2) and final (x in 0.8~1.0) crystallization regions as well. Additionally, values of present E(x) established from the KAS approach are chosen for calculating values of n(x) for the present two alloys. Consequently, values of n(x) under divers heating rates for present two alloys are obtained on the basis of the E(x) and the plots in Figure 9a,b, and the plots for n(x) against x are, respectively, drawn in Figure 10a,b. It presents that n(x) at each heating rate for the FeP−HEMG mainly shows a reduced trend with the increment of the x, and values of the n(x) generally range in about 0.70~2.07. In comparison, it shows that n(x) at each heating rate for the predecessor FeP−MG mainly displays a changeable tendency of reduction at first, then an increase and finally reduction again with the increasing x, which is visibly different from that for the FeP−HEMG. Moreover, it also shows that values of the corresponding n(x) generally belong to the range of about 1.50~5.21, the majority of which are larger than that for the FeP−HEMG. It is worth mentioning that a higher value of n usually corresponds to an intensified nucleation rate and an easier transition of the crystallization. Accordingly, it exhibits that the nucleation rate and the transition probability for the FeP−HEMG is lower than that for the predecessor FeP−MG during the present non-isothermal crystallization, inferring a retarded non-isothermal crystallization after the present high-entropy alloying with the substitution of similar solvent elements Co, Ni, and Cr with Fe in FeP−MG.
For the FeP−HEMG, the n(x) exhibits a changeable tendency of gradual reduction at first, then a slight increase and finally gradual reduction again with the increasing x for heating rates of 0.167 K s−1 and 0.333 K s−1, the major process of which is gradual reduction. For these two heating rates, n(x) firstly decreases from about 1.97 and 1.83 at x of about 0.2 to about 0.89 and 1.16 at x of about 0.4, then it increases to about 1.03 at x of about 0.6 and about 1.19 at x of about 0.5, and finally it reduces to about 0.76 and 0.78 at x of about 0.8, separately. However, all the n(x) for heating rates of 0.5 K s−1, 0.667 K s−1 and 0.833 K s−1 gradually decrease during the whole process. The values of n(x) for heating rates of 0.5 K s−1, 0.667 K s−1 and 0.833 K s−1 gradually reduce from about 1.84, 1.89 and 2.07 to about 0.86, 0.76 and 0.70 as the x increases from about 0.2 to 0.8, separately. Furthermore, it also displays that most of the n(x) ranges in n < 1.5, some of which are lower than 1.
For the predecessor FeP−MG, it depicts that the n(x) preliminarily decreases from about 3.76 to about 2.81 with x increasing from about 0.2 to 0.4, then it increases to about 5.21 with x further increasing to about 0.7, and finally it reduces to about 4.52 at x of about 0.8 for heating rate of 0.167 K s−1, the total of which fixes in n > 2.5. Meanwhile, it depicts that the n(x) firstly reduces from about 3.03 to about 2.42 with the x increasing from about 0.2 to 0.3, then it increases to about 3.42 with x further increasing to about 0.6, and finally it decreases to about 2.41 at x of about 0.8 for heating rate of 0.333 K s−1, the most n(x) keeps value in n > 2.5 and others possess a value in 1.5 < n < 2.5. Additionally, the n(x) preliminarily decreases from about 2.77 to about 2.30 with x increasing from about 0.2 to 0.3, then it increases to about 3.08 with x further increasing to about 0.5, and finally it reduces to about 1.85 at x of about 0.8 for heating rate of 0.5 K s−1. It is noted that values for half of the n(x) lie in n > 2.5 and values for the other half locate in 1.5 < n < 2.5. Moreover, values of the n(x) firstly reduce from about 2.60 and 2.41 to about 2.31 and 2.37 with x increasing from about 0.2 to 0.3, then it increases to about 2.78 and 2.72 with x further increasing to about 0.4, and finally it decreases to about 1.60 and 1.50 at x of about 0.8 for heating rates of 0.667 K s−1 and 0.833 K s−1, separately. Values of the major n(x) are locating in about 1.5 < n < 2.5 and others lie in n > 2.5. Furthermore, it exhibits that values for all the n(x) approximately locate in n ≥ 1.5, which further confirms that the majority of values of the n(x) for the predecessor FeP−MG are larger than those for the FeP−HEMG. These characteristics of the n(x) for the predecessor FeP−MG are visibly distinct from that for the FeP−HEMG, which further exhibits that the non-isothermal crystallization kinetics can be remarkably influenced after the present high-entropy alloying with the substitution of similar solvent elements Co, Ni, and Cr with Fe in FeP−MG.
It is widely recognized that the crystallization can be mainly categorized as several types from the values of n in HEMGs and MGs [9,16,26,27]. In detail, it separately denotes a crystallization with the feature of growth with pre-existing nuclei, approximate zero nucleation rate, decreasing nucleation rate, constant nucleation rate and improving the nucleation rate for 0 < n < 1.5, n = 1.5, 1.5 < n < 2.5, n = 2.5 and n > 2.5.
Hence, it can be decided that the non-isothermal crystallization for the FeP−HEMG mainly possesses features of growth with pre-existing nuclei as the major values of n(x) fix in 0 < n < 1.5. For comparison, the non-isothermal crystallization for the predecessor FeP−MG generally possesses characteristics of approximate zero nucleation rate, decreasing nucleation rate, constant nucleation rate or improving nucleation rate as values of all the n(x) approximately located in the range of n ≥ 1.5. For the FeP−HEMG, it also can be pronounced that it is sequentially conducted a non-isothermal crystallization with characteristics of growth with a reducing nucleation rate, approximate zero nucleation rate and pre-existing nuclei during the whole process under all the present five heating rates. For the predecessor FeP−MG, it also can be declared that it is sequentially performed a non-isothermal crystallization with characteristics of growth with an improving nucleation rate among most of the process for a heating rate of 0.167 K s−1, growth with an improving nucleation rate, constant nucleation rate, decreasing nucleation rate, constant nucleation rate, improving nucleation rate, constant nucleation rate and decreasing nucleation rate during the whole process for heating rates of 0.333 K s−1, 0.5 K s−1 and 0.667 K s−1, growth with reducing nucleation rate, constant nucleation rate, improving nucleation rate, constant nucleation rate, decreasing nucleation rate and approximate zero nucleation rate during the whole process for heating rate of 0.833 K s−1, separately. It further exhibits that the features during the present non-isothermal crystallization are evidently different between the FeP−HEMG and the predecessor FeP−MG, which conclusively proves that the non-isothermal crystallization kinetics can be significantly changed after the present high-entropy alloying with the substitution of similar solvent elements Co, Ni, and Cr with Fe in FeP−MG.
Additionally, it is worth noting that the kinetic fragility parameter m for HEMGs and MGs can be captured from the non-isothermal crystallization results [9,27,28,29,30], which is commonly employed to characterize the thermal stability of the glassy formation melts of the alloys based on the following formula [31]:
m = D T 0 T g ( T g T 0 ) 2 ln 10   ,  
where D and T0 separately represent the strength parameter and the Tg under extraordinarily low cooling or heating rates. It is noted that values of Tg under 0.333 K s−1 are employed to evaluate values of m in the present paper. Meanwhile, D and T0 are generally established through the Vogel−Fulcher−Tammann (VFT) approach based on the famous form as follows [32]:
ln ( φ ) = ln ( B ) D T 0 T   T 0   ,  
where B and T separately denote a constant and values of Tg under diverse heating rates. Thus, D and T0 can be mathematically pinpointed from the plots for ln(φ) against T by non-linear fitting, which are, respectively, shown in Figure 11a,b for present FeP−HEMG and the predecessor FeP−MG. It exhibits that the data and the fitted plot for each alloy are matched well. Accordingly, values of m are, respectively, about 20 and 18 for present FeP−HEMG and the predecessor FeP−MG, which are listed in Table 1 as well. It is mainly recognized that it is a sort of strong glassy formation melt with high thermal stability for a MG with m < 30 [9,27,28,29,30,33]. Therefore, the glassy formation melts for both of the present alloys are the sort of strong glassy formation melts with high thermal stability.

4. Conclusions

In this work, comparisons of non-isothermal crystallization kinetics for FeP−HEMG and the predecessor FeP−MG along with the influences of high-entropy alloying with the substitution of similar solvent elements Co, Ni, and Cr with Fe on the crystallization kinetics between the two alloys were characterized by XRD and DSC approaches. For the FeP−HEMG, it separately shows that the crystallization processes are much harder than the glass transition, the transition for nucleation of the second crystallization process is the hardest transition, the transition for growth is much harder than the transition of nucleation for the first crystallization case, and it mainly possesses a crystallization feature of growth with pre-existing nuclei during the process. For the predecessor FeP−MG, it separately exhibits that the glass transition is more difficult than the first crystallization process, but a little less difficult than the second crystallization process, the transition for growth of the second crystallization case is the harshest transition, the transition for nucleation is a little easier than that for growth for both the two crystallization cases. Meanwhile, it generally possesses the crystallization characteristics of an approximate zero nucleation rate, decreasing nucleation rate, constant nucleation rate and improving nucleation rate during the process for the predecessor FeP−MG, which is evidently different with that for the FeP−HEMG, conclusively demonstrating that the non-isothermal crystallization kinetics can be significantly changed after the present high-entropy alloying with the substitution of similar solvent elements Co, Ni, and Cr with Fe in FeP−MG. In addition, the non-isothermal crystallization kinetics are retarded after high−entropy alloying with the substitution of similar solvent elements Co, Ni, and Cr with Fe in FeP−MG, deriving from the improved energy for triggering all the characteristic transitions of the whole process and the crystallization transition during the crystallization process along with the reduced local Avrami exponent. Moreover, both of the alloys possess similar crystallization features of diverse crystallization products and comparable values of the kinetic fragility parameter as well as strong glassy formation melt with high thermal stability.

Author Contributions

T.X.: conceptualization, data curation, methodology, investigation, writing—original draft. J.Y.: data curation, methodology, investigation, writing—review and editing. L.Z.: writing—review and editing. Z.J.: writing—review and editing. All authors have read and agreed to the published version of the manuscript.

Funding

This research was funded by the open funding of State Key Laboratory of Metastable Materials Science and Technology (Grant No. 202108).

Data Availability Statement

The data that support the findings of this study are available from the corresponding author upon reasonable request.

Acknowledgments

We appreciate the support from the open funding of State Key Laboratory of Metastable Materials Science and Technology (Grant No. 202108), National Natural Science Foundation of China (Grant No. 51904218 and 51971166). Meanwhile, we also thank you the contribution on the data curation, formal analysis, validation, writing—review and editing, supervision by Yuxuan Tu, Zhenghong Zhou, Xiaorong Huang, Tianyu Ma and Zengyun Jian.

Conflicts of Interest

The authors declare no conflict of interest.

References

  1. Chen, Y.; Dai, Z.-W.; Jiang, J.-Z. High entropy metallic glasses: Glass formation, crystallization and properties. J. Alloys Compd. 2021, 866, 158852. [Google Scholar] [CrossRef]
  2. Zhang, W.; Meng, Y.; Wang, J.; Guan, S.; Zhang, T. Effect of continuous rapid annealing on the microstructure and properties of Fe85P11C2B2 amorphous alloy. Mater. Lett. 2022, 315, 131984. [Google Scholar] [CrossRef]
  3. Duan, X.; Ju, S.; Li, Y.; Zhu, Z.; Zhang, H.; Zhang, W. Effects of B/P and Co/Fe substitutions on glass-forming ability and soft magnetic properties of a Fe80P13C7 metallic glass. J. Non-Cryst. Solids 2023, 616, 122480. [Google Scholar] [CrossRef]
  4. Zhang, R.; Zhang, C.; Xie, L.; Zhang, G.; Li, Q.; Chang, C.; Li, H.; Ma, X. Effect of Cr/Mo content on the properties of transition-metal based high entropy bulk metallic glasses. J. Non-Cryst. Solids 2022, 593, 121754. [Google Scholar] [CrossRef]
  5. Li, M.C.; Guan, H.M.; Yang, S.; Ma, X.; Li, Q. Minor Cr alloyed Fe-Co-Ni-P-B high entropy bulk metallic glass with excellent mechanical properties. Mater. Sci. Eng. A 2021, 805, 140542. [Google Scholar] [CrossRef]
  6. Yüce, E.; Sarac, B.; Ketov, S.; Reissner, M.; Eckert, J. Effects of Ni and Co alloying on thermal, magnetic and structural properties of Fe-(Ni,Co)-P-C metallic glass ribbons. J. Alloys Compd. 2021, 872, 159620. [Google Scholar] [CrossRef]
  7. Li, J.; Ma, Y.; Li, Q.; Shen, J.; Liu, H.; Zhao, Y.; Yang, W. Fe-based bulk metallic glass with unprecedented plasticity at room temperature. Intermetallics 2021, 139, 107377. [Google Scholar] [CrossRef]
  8. Yang, K.; Li, B.; Fan, X.-H.; Wang, X. Investigation of crystallization behavior of Hf26Be18Ti18Zr18Cu7.5Ni12.5 high mixing entropy amorphous alloys. J. Therm. Anal. Calorim. 2023, 148, 689–696. [Google Scholar] [CrossRef]
  9. Jin, J.; Li, F.; Yin, G.; Wang, X.; Gong, P. Influence of substitution of Cu by Ni on the crystallization kinetics of TiZrHfBeCu high entropy bulk metallic glass. Thermochim. Acta 2020, 690, 178650. [Google Scholar] [CrossRef]
  10. Li, X.; Yang, K.; Li, B.; Wang, X.; Li, Y.; Fan, X. Crystallization kinetics of Hf28Be18Ti17Zr17Cu7.5Ni12.5 high-entropy bulk metallic glass. Thermochim. Acta 2023, 724, 179497. [Google Scholar] [CrossRef]
  11. Xie, C.; Li, W.; Zheng, D.; Wang, K.; Yang, Y.; Shen, F.; Xie, L.; Liao, Z.; Zhong, S. Study of crystallization behavior and kinetics of magnetic FeCoCrNiZr high entropy amorphous alloy. J. Non-Cryst. Solids 2019, 514, 20–24. [Google Scholar] [CrossRef]
  12. Chen, Q.-X.; Li, D.-M.; Wu, Y.; Tang, B.-Z.; Dai, Q.-W.; Peng, J.-X.; Bai, C.; Guo, X.-L.; Lan, S.; Xia, L.; et al. Preparation and properties of a bulk metallic glass and high-entropy alloy composite. Mater. Sci. Eng. A 2022, 831, 142342. [Google Scholar] [CrossRef]
  13. Vasiliev, S.V.; Kovalenko, O.V.; Svyrydova, K.A.; Limanovskii, A.I.; Tkatch, V.I. Crystallization kinetics of the Fe40Ni40P14B6 metallic glass in an extended range of heating rates. J. Mater. Sci. 2019, 54, 5788–5801. [Google Scholar] [CrossRef]
  14. Jaafari, Z.; Seifoddini, A.; Hasani, S.; Rezaei-Shahreza, P. Kinetic analysis of crystallization process in [(Fe0.9Ni0.1)77Mo5P9C7.5B1.5]100−xCux (x = 0.1 at.%) BMG. J. Therm. Anal. Calorim. 2018, 134, 1565–1574. [Google Scholar] [CrossRef]
  15. Rezaei-Shahreza, P.; Seifoddini, A.; Hasani, S. Non-isothermal kinetic analysis of nano-crystallization process in (Fe41Co7Cr15Mo14Y2C15)94B6 amorphous alloy. Thermochim. Acta 2017, 652, 119–125. [Google Scholar] [CrossRef]
  16. Wang, Y.; Zhai, H.; Li, Q.; Liu, J.; Fan, J.; Li, Y.; Zhou, X. Effect of Co substitution for Fe on the non-isothermal crystallization kinetics of Fe80P13C7 bulk metallic glasses. Thermochim. Acta 2019, 675, 107–112. [Google Scholar] [CrossRef]
  17. Han, M.; Sun, C.; Meng, Y.; Liu, C.; Zhang, W.; Li, H.; Xu, H.; Zhang, T. Effect of miscible and immiscible element microalloying on crystallization behavior and soft magnetic properties of Fe-P-C-B amorphous alloy. J. Non-Cryst. Solids 2023, 611, 122352. [Google Scholar] [CrossRef]
  18. Kissinger, H.E. Reaction Kinetics in Differential Thermal Analysis. Anal. Chem. 1957, 29, 1702–1706. [Google Scholar] [CrossRef]
  19. Ozawa, T. A New Method of Analyzing Thermogravimetric Data. Bull. Chem. Soc. Jpn. 1965, 38, 1881–1886. [Google Scholar] [CrossRef]
  20. Wang, H.-R.; Gao, Y.-L.; Min, G.-H.; Hui, X.-D.; Ye, Y.-F. Primary crystallization in rapidly solidified Zr70Cu20Ni10 alloy from a supercooled liquid region. Phys. Lett. A 2003, 314, 81–87. [Google Scholar] [CrossRef]
  21. Patel, A.T.; Pratap, A. Kinetics of crystallization of Zr52Cu18Ni14Al10Ti6 metallic glass. J. Therm. Anal. Calorim. 2011, 107, 159–165. [Google Scholar] [CrossRef]
  22. Kong, L.; Gao, Y.; Song, T.; Wang, G.; Zhai, Q. Non-isothermal crystallization kinetics of FeZrB amorphous alloy. Thermochim. Acta 2012, 522, 166–172. [Google Scholar] [CrossRef]
  23. Rezaei-Shahreza, P.; Seifoddini, A.; Hasani, S. Thermal stability and crystallization process in a Fe-based bulk amorphous alloy: The kinetic analysis. J. Non-Cryst. Solids 2017, 471, 286–294. [Google Scholar] [CrossRef]
  24. Doyle, C.D. Series Approximations to the Equation of Thermogravimetric Data. Nature 1965, 207, 290–291. [Google Scholar] [CrossRef]
  25. Lu, W.; Yan, B.; Huang, W.-H. Complex primary crystallization kinetics of amorphous Finemet alloy. J. Non-Cryst. Solids 2005, 351, 3320–3324. [Google Scholar] [CrossRef]
  26. Yao, Z.; Qiao, J.; Zhang, C.; Pelletier, J.; Yao, Y. Non-isothermal crystallization transformation kinetics analysis and isothermal crystallization kinetics in super-cooled liquid region (SLR) of (Ce0.72Cu0.28)90−xAl10Fex (x = 0, 5 or 10) bulk metallic glasses. J. Non-Cryst. Solids 2015, 415, 42–50. [Google Scholar] [CrossRef]
  27. Gong, P.; Zhao, S.F.; Ding, H.Y.; Yao, K.F.; Wang, X. Nonisothermal crystallization kinetics, fragility and thermodynamics of Ti20Zr20Cu20Ni20Be20 high entropy bulk metallic glass. J. Mater. Res. 2015, 30, 2772–2782. [Google Scholar] [CrossRef]
  28. Sohrabi, S.; Ri, M.; Jiang, H.; Gu, L.; Wen, P.; Sun, Y.; Wang, W. Prominent role of chemical heterogeneity on cryogenic rejuvenation and thermomechanical properties of La–Al–Ni metallic glass. Intermetallics 2019, 111, 106497. [Google Scholar] [CrossRef]
  29. Ke, H.B.; Xu, H.; Huang, H.; Liu, T.; Wu, M.; Zhang, P.; Wang, Y. Non-isothermal crystallization behavior of U-based amorphous alloy. J. Alloys Compd. 2017, 691, 436–441. [Google Scholar] [CrossRef]
  30. Bizhanova, G.; Li, F.; Ma, Y.; Gong, P.; Wang, X. Development and crystallization kinetics of novel near-equiatomic high-entropy bulk metallic glasses. J. Alloys Compd. 2019, 779, 474–486. [Google Scholar] [CrossRef]
  31. Böhmer, R.; Ngai, K.L.; Angell, C.A.; Plazek, D.J. Nonexponential elaxations in strong and fragile glass formers. J. Chem. Phys. 1993, 99, 4201–4209. [Google Scholar] [CrossRef]
  32. Brüning, R.; Samwer, K. Glass transition on long time scales. Phys. Rev. B 1992, 46, 11318–11322. [Google Scholar] [CrossRef] [PubMed]
  33. Angell, C.A. Formation of glasses from liquids and biopolymers. Science 1995, 267, 1924–1935. [Google Scholar] [CrossRef] [PubMed]
Figure 1. XRD patterns for as-cast ribbon and ribbons non-isothermal crystallization under diverse heating rates, (a) Fe20Co20Ni20Cr20(P0.45B0.2C0.35)20 HEMG and (b) the predecessor Fe75Cr5P9B4C7 MG, separately. (Color on the web only).
Figure 1. XRD patterns for as-cast ribbon and ribbons non-isothermal crystallization under diverse heating rates, (a) Fe20Co20Ni20Cr20(P0.45B0.2C0.35)20 HEMG and (b) the predecessor Fe75Cr5P9B4C7 MG, separately. (Color on the web only).
Metals 13 01624 g001
Figure 2. Non−isothermal crystallization DSC curves under different heating rates, (a) Fe20Co20Ni20Cr20(P0.45B0.2C0.35)20 HEMG and (b) the predecessor Fe75Cr5P9B4C7 MG, separately. (Color on the web only).
Figure 2. Non−isothermal crystallization DSC curves under different heating rates, (a) Fe20Co20Ni20Cr20(P0.45B0.2C0.35)20 HEMG and (b) the predecessor Fe75Cr5P9B4C7 MG, separately. (Color on the web only).
Metals 13 01624 g002
Figure 3. Plots for characterizing the energy E for triggering various characteristic transitions by Kissinger approach, (a) Fe20Co20Ni20Cr20(P0.45B0.2C0.35)20 HEMG and (b) the predecessor Fe75Cr5P9B4C7 MG, separately. (Color on the web only).
Figure 3. Plots for characterizing the energy E for triggering various characteristic transitions by Kissinger approach, (a) Fe20Co20Ni20Cr20(P0.45B0.2C0.35)20 HEMG and (b) the predecessor Fe75Cr5P9B4C7 MG, separately. (Color on the web only).
Metals 13 01624 g003aMetals 13 01624 g003b
Figure 4. Plots for characterizing the energy E for triggering various characteristic transitions by Ozawa approach, (a) Fe20Co20Ni20Cr20(P0.45B0.2C0.35)20 HEMG and (b) the predecessor Fe75Cr5P9B4C7 MG, separately. (Color on the web only).
Figure 4. Plots for characterizing the energy E for triggering various characteristic transitions by Ozawa approach, (a) Fe20Co20Ni20Cr20(P0.45B0.2C0.35)20 HEMG and (b) the predecessor Fe75Cr5P9B4C7 MG, separately. (Color on the web only).
Metals 13 01624 g004
Figure 5. Plots between non-isothermal crystallization volume fraction x and crystallization temperature T under various heating rates, (a) Fe20Co20Ni20Cr20(P0.45B0.2C0.35)20 HEMG and (b) the predecessor Fe75Cr5P9B4C7 MG, separately. (Color on the web only).
Figure 5. Plots between non-isothermal crystallization volume fraction x and crystallization temperature T under various heating rates, (a) Fe20Co20Ni20Cr20(P0.45B0.2C0.35)20 HEMG and (b) the predecessor Fe75Cr5P9B4C7 MG, separately. (Color on the web only).
Metals 13 01624 g005
Figure 6. Plots for characterizing local activation energy for various crystallization volume fraction x (0.2 ≤ x ≤ 0.8) by KAS approach, (a) Fe20Co20Ni20Cr20(P0.45B0.2C0.35)20 HEMG and (b) the predecessor Fe75Cr5P9B4C7 MG, separately. Red solid lines are obtained by linear fit using KAS approach. (Color on the web only).
Figure 6. Plots for characterizing local activation energy for various crystallization volume fraction x (0.2 ≤ x ≤ 0.8) by KAS approach, (a) Fe20Co20Ni20Cr20(P0.45B0.2C0.35)20 HEMG and (b) the predecessor Fe75Cr5P9B4C7 MG, separately. Red solid lines are obtained by linear fit using KAS approach. (Color on the web only).
Metals 13 01624 g006
Figure 7. Plots for characterizing local activation energy for various crystallization volume fraction x (0.2 ≤ x ≤ 0.8) by OFW approach, (a) Fe20Co20Ni20Cr20(P0.45B0.2C0.35)20 HEMG and (b) the predecessor Fe75Cr5P9B4C7 MG, separately. Red solid lines are obtained by linear fit using OFW approach. (Color on the web only).
Figure 7. Plots for characterizing local activation energy for various crystallization volume fraction x (0.2 ≤ x ≤ 0.8) by OFW approach, (a) Fe20Co20Ni20Cr20(P0.45B0.2C0.35)20 HEMG and (b) the predecessor Fe75Cr5P9B4C7 MG, separately. Red solid lines are obtained by linear fit using OFW approach. (Color on the web only).
Metals 13 01624 g007aMetals 13 01624 g007b
Figure 8. Plots between local activation energy E(x) characterized by KAS and OFW methods and crystallization volume fraction x (0.2 ≤ x ≤ 0.8), (a) Fe20Co20Ni20Cr20(P0.45B0.2C0.35)20 HEMG and (b) the predecessor Fe75Cr5P9B4C7 MG, separately. (Color on the web only).
Figure 8. Plots between local activation energy E(x) characterized by KAS and OFW methods and crystallization volume fraction x (0.2 ≤ x ≤ 0.8), (a) Fe20Co20Ni20Cr20(P0.45B0.2C0.35)20 HEMG and (b) the predecessor Fe75Cr5P9B4C7 MG, separately. (Color on the web only).
Metals 13 01624 g008
Figure 9. Plots for characterizing the local Avrami exponent of 0.2 ≤ x ≤ 0.8 for different heating rates, (a) Fe20Co20Ni20Cr20(P0.45B0.2C0.35)20 HEMG and (b) the predecessor Fe75Cr5P9B4C7 MG, separately. (Color on the web only).
Figure 9. Plots for characterizing the local Avrami exponent of 0.2 ≤ x ≤ 0.8 for different heating rates, (a) Fe20Co20Ni20Cr20(P0.45B0.2C0.35)20 HEMG and (b) the predecessor Fe75Cr5P9B4C7 MG, separately. (Color on the web only).
Metals 13 01624 g009aMetals 13 01624 g009b
Figure 10. Plots between local Avrami exponent n(x) and crystallization volume fraction x (0.2 ≤ x ≤ 0.8) under various heating rates, (a) Fe20Co20Ni20Cr20(P0.45B0.2C0.35)20 HEMG and (b) the predecessor Fe75Cr5P9B4C7 MG, separately. (Color on the web only).
Figure 10. Plots between local Avrami exponent n(x) and crystallization volume fraction x (0.2 ≤ x ≤ 0.8) under various heating rates, (a) Fe20Co20Ni20Cr20(P0.45B0.2C0.35)20 HEMG and (b) the predecessor Fe75Cr5P9B4C7 MG, separately. (Color on the web only).
Metals 13 01624 g010
Figure 11. The VFT relation between glass transition temperature (Tg) and heating rate φ, (a) Fe20Co20Ni20Cr20(P0.45B0.2C0.35)20 HEMG and (b) the predecessor Fe75Cr5P9B4C7 MG, separately. Red solid lines are obtained by non−linear fit. (Color on the web only).
Figure 11. The VFT relation between glass transition temperature (Tg) and heating rate φ, (a) Fe20Co20Ni20Cr20(P0.45B0.2C0.35)20 HEMG and (b) the predecessor Fe75Cr5P9B4C7 MG, separately. Red solid lines are obtained by non−linear fit. (Color on the web only).
Metals 13 01624 g011aMetals 13 01624 g011b
Table 1. Values for thermal performances at different heating rates for Fe20Co20Ni20Cr20(P0.45B0.2C0.35)20 HEMG and the predecessor Fe75Cr5P9B4C7 MG. Tg, Tx1, Tp1, Tx2, Tp2, ΔTx and m separately denote the glass transition temperature, the onset crystallization temperature for the first crystallization case, the peak temperature for the first crystallization case, the onset crystallization temperature for the second crystallization case, the peak temperature for the second crystallization case, the supercooled liquid region and the kinetic fragility parameter.
Table 1. Values for thermal performances at different heating rates for Fe20Co20Ni20Cr20(P0.45B0.2C0.35)20 HEMG and the predecessor Fe75Cr5P9B4C7 MG. Tg, Tx1, Tp1, Tx2, Tp2, ΔTx and m separately denote the glass transition temperature, the onset crystallization temperature for the first crystallization case, the peak temperature for the first crystallization case, the onset crystallization temperature for the second crystallization case, the peak temperature for the second crystallization case, the supercooled liquid region and the kinetic fragility parameter.
AlloysHeating Rates
/K s−1
Tg/KTx1/KTp1/KTx2/KTp2/KΔTx/Km
FeP−HEMG0.1676697277598188335820
0.33367873676782984858
0.568574277183385657
0.66768974677583685957
0.83369374977783886256
FeP−MG0.1677127477778348553518
0.33372276079284787238
0.573077080085688240
0.66773778081086689543
0.83374679082288090144
Table 2. Energy (E) for triggering the typical transition during the non−isothermal crystallization processes for Fe20Co20Ni20Cr20(P0.45B0.2C0.35)20 HEMG and the predecessor Fe75Cr5P9B4C7 MG. Eg, Ex1, Ep1, Ex2 and Ep2 are, respectively, the energy for triggering the transition at the glass transition temperature, the onset crystallization temperature of the first crystallization case, the peak temperature of the first crystallization case, the onset crystallization temperature of the second crystallization case, the peak temperature of the second crystallization case.
Table 2. Energy (E) for triggering the typical transition during the non−isothermal crystallization processes for Fe20Co20Ni20Cr20(P0.45B0.2C0.35)20 HEMG and the predecessor Fe75Cr5P9B4C7 MG. Eg, Ex1, Ep1, Ex2 and Ep2 are, respectively, the energy for triggering the transition at the glass transition temperature, the onset crystallization temperature of the first crystallization case, the peak temperature of the first crystallization case, the onset crystallization temperature of the second crystallization case, the peak temperature of the second crystallization case.
AlloysMethodsEg/
kJ mol−1
Ex1/
kJ mol−1
Ep1/
kJ mol−1
Ex2/
kJ mol−1
Ep2/
kJ mol−1
FeP−HEMGKissinger246317422439309
Ozawa245313414431307
FeP−MGKissinger198171180200206
Ozawa200174184204209
Disclaimer/Publisher’s Note: The statements, opinions and data contained in all publications are solely those of the individual author(s) and contributor(s) and not of MDPI and/or the editor(s). MDPI and/or the editor(s) disclaim responsibility for any injury to people or property resulting from any ideas, methods, instructions or products referred to in the content.

Share and Cite

MDPI and ACS Style

Xu, T.; Yao, J.; Zhuo, L.; Jie, Z. Tuning Non-Isothermal Crystallization Kinetics between Fe20Co20Ni20Cr20(P0.45B0.2C0.35)20 High-Entropy Metallic Glass and the Predecessor Fe75Cr5P9B4C7 Metallic Glass. Metals 2023, 13, 1624. https://doi.org/10.3390/met13091624

AMA Style

Xu T, Yao J, Zhuo L, Jie Z. Tuning Non-Isothermal Crystallization Kinetics between Fe20Co20Ni20Cr20(P0.45B0.2C0.35)20 High-Entropy Metallic Glass and the Predecessor Fe75Cr5P9B4C7 Metallic Glass. Metals. 2023; 13(9):1624. https://doi.org/10.3390/met13091624

Chicago/Turabian Style

Xu, Tao, Jiansheng Yao, Longchao Zhuo, and Ziqi Jie. 2023. "Tuning Non-Isothermal Crystallization Kinetics between Fe20Co20Ni20Cr20(P0.45B0.2C0.35)20 High-Entropy Metallic Glass and the Predecessor Fe75Cr5P9B4C7 Metallic Glass" Metals 13, no. 9: 1624. https://doi.org/10.3390/met13091624

APA Style

Xu, T., Yao, J., Zhuo, L., & Jie, Z. (2023). Tuning Non-Isothermal Crystallization Kinetics between Fe20Co20Ni20Cr20(P0.45B0.2C0.35)20 High-Entropy Metallic Glass and the Predecessor Fe75Cr5P9B4C7 Metallic Glass. Metals, 13(9), 1624. https://doi.org/10.3390/met13091624

Note that from the first issue of 2016, this journal uses article numbers instead of page numbers. See further details here.

Article Metrics

Back to TopTop