Modeling Yield Strength of Austenitic Stainless Steel Welds Using Multiple Regression Analysis and Machine Learning
Abstract
:1. Introduction
2. Materials and Methods
2.1. Data Preparation
2.2. Multiple Regression Analysis
2.3. Machine Learning Prediction Models
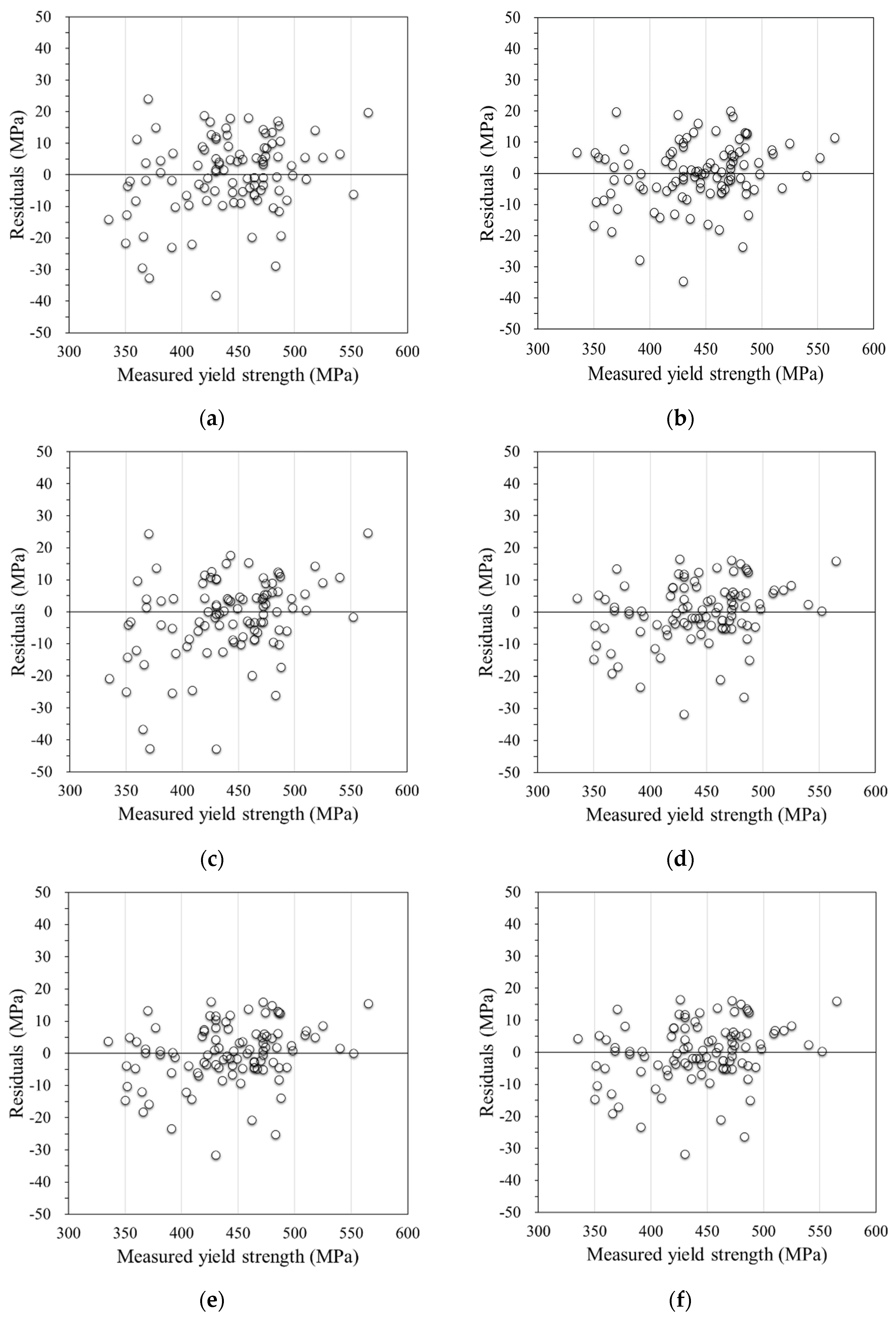
3. Results
3.1. Correlation Analysis
3.2. Multiple Regression Analysis
3.3. Machine Learning Models
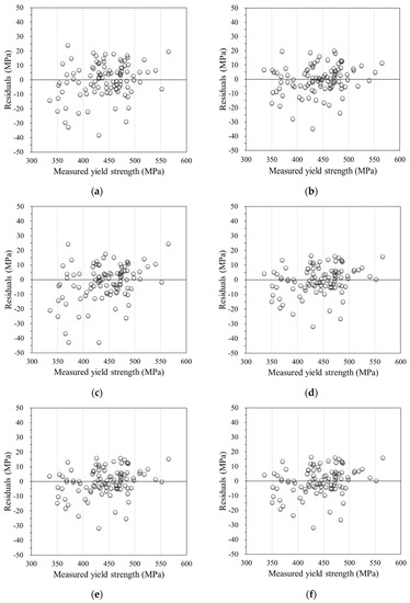
3.4. Model Verification Results Using Additional Data Points
4. Discussion
4.1. Dilution and Yield Strength of Stainless-Steel-Based Weld Metal in High-Mn Steel
4.2. Establishment of Main Chemical Composition Content of Austenitic Stainless-Steel-Based Welding Consumables for High-Mn Steel
4.3. Prediction of Microstructure According to Dilution of Stainless-Steel-Based Welding Consumable in High-Mn Steel
5. Conclusions
- Through multiple regression analysis, a model with high accuracy was developed with five input variables satisfying a significance level of 0.05, and conventional multiple regression models showed excellent prediction performance with an MAPE of 2.2%.
- Among the prediction models developed using machine learning, the stepwise linear regression model was identified as the best, with the highest R2 and a practical advantage.
- Comparing the prediction models developed based on the multiple regression analysis and machine learning, the multiple regression model showed a higher R2 than the machine learning models used in this study. In the model validation, the multiple regression model showed an R2 of 0.8642 and an MAPE of 3.75%.
Author Contributions
Funding
Data Availability Statement
Conflicts of Interest
References
- Kim, J.-H.; Kim, B.K.; Kim, D.-I.; Choi, P.-P.; Raabe, D.; Yi, K.-W. The role of grain boundaries in the initial oxidation behavior of austenitic stainless steel containing alloyed Cu at 700 °C for advanced thermal power plant applications. Corros. Sci. 2015, 96, 52–66. [Google Scholar] [CrossRef]
- Switzner, N.; Yu, Z. Austenitic Stainless Steel Cladding Interface Microstructures Evaluated for Petrochemical Applications. Weld. J. 2019, 98, 50–61. [Google Scholar] [CrossRef]
- Park, W.S.; Yoo, S.W.; Kim, M.H.; Lee, J.M. Strain-rate effects on the mechanical behavior of the AISI 300 series of austenitic stainless steel under cryogenic environments. Mater. Des. 2010, 31, 3630–3640. [Google Scholar] [CrossRef]
- Baek, J.H.; Kim, Y.P.; Kim, W.S.; Kho, Y.T. Effect of Temperature on the Charpy Impact and CTOD Values of Type 304 Stainless Steel Pipeline for LNG Transmission. KSME Int. J. 2002, 16, 1064–1071. [Google Scholar] [CrossRef]
- Kim, J.-H.; Choi, S.-W.; Park, D.-H.; Lee, J.-M. Charpy impact properties of stainless steel weldment in liquefied natural gas pipelines: Effect of low temperatures. Mater. Des. 2015, 65, 914–922. [Google Scholar] [CrossRef]
- Li, L.C.; Chai, M.Y.; Li, Y.Q.; Bai, W.J.; Duan, Q. Effect of Welding Heat Input on Grain Size and Microstructure of 316L Stainless Steel Welded Joint. Appl. Mech. Mater. 2013, 331, 578–582. [Google Scholar] [CrossRef]
- Kim, Y.H.; Kim, D.G.; Sung, J.H.; Kim, I.S.; Ko, D.E.; Kang, N.H.; Hong, H.U.; Park, J.H.; Lee, H.W. Influences of Cr/Ni equivalent ratios of filler wires on pitting corrosion and ductility-dip cracking of AISI 316L weld metals. Met. Mater. Int. 2011, 17, 151–155. [Google Scholar] [CrossRef]
- Park, T.-U.; Jeong, Y.-C.; Im, H.-D.; Choi, C.-H.; Kil, W. Development and Evaluation of Stainless Steel-Base Flux-Cored Wires for 9% Nickel Steel. JWJ 2022, 40, 367–376. [Google Scholar] [CrossRef]
- Kim, B.E.; Park, J.Y.; Lee, J.S.; Lee, J.I.; Kim, M.H. Effects of the welding process and consumables on the fracture behavior of 9 wt.% nickel steel. Exp. Tech. 2019, 44, 175–186. [Google Scholar] [CrossRef]
- Choi, M.; Lee, J.; Nam, H.; Kang, N.; Kim, M.; Cho, D. Tensile and Microstructural Characteristics of Fe-24Mn Steel Welds for Cryogenic Applications. Met. Mater. Int. 2020, 26, 240–247. [Google Scholar] [CrossRef]
- Park, T.U.; Jung, D.H.; Park, J.H.; Kim, J.H.; Han, I.W. Changes in the mechanical properties and microstructure of high manganese steel by high heat input welding and general welding processes. JWJ 2022, 40, 33–39. [Google Scholar] [CrossRef]
- Park, G.; Jeong, S.; Lee, C. Fusion weldabilities of advanced high manganese steels: A review. Met. Mater. Int. 2020, 27, 2046–2058. [Google Scholar] [CrossRef]
- Yoo, J.; Kim, B.; Park, Y.; Lee, C. Microstructural evolution and solidification cracking susceptibility of Fe-18Mn-0.6C-xAl steel welds. J. Mater. Sci. 2015, 50, 279–286. [Google Scholar] [CrossRef]
- Avery, R.E.; Parsons, D. Welding stainless and 9% nickel steel cryogenic vessels. Weld. J. 1995, 74, 45–50. [Google Scholar]
- Banovic, S.W.; Dupont, J.N.; Marder, A.R. Dilution and microsegregation in dissimilar metal welds between super austenitic stainless steel and nickel base alloys. Sci. Technol. Weld. Join. 2013, 7, 374–383. [Google Scholar] [CrossRef]
- Dupont, J.N.; Banovic, S.W.; Marder, A.R. Microstructural Evolution and Weldability of Dissimilar Welds between a Super Austenitic Stainless Steel and Nickel-Based Alloys. Weld. J. 2003, 82, 125. [Google Scholar]
- Mishra, R.R.; Tiwari, V.K.; Rajesha, S. A Study of Tensile Strength of MIG And TIG Welded Dissimilar Joints of Mild Steel and Stainless Steel. Int. J. Adv. Mater. Sci. Eng. 2014, 3, 23–32. [Google Scholar] [CrossRef]
- Kaçar, R.; Baylan, O. An investigation of microstructure/property relationships in dissimilar welds between martensitic and austenitic stainless steels. Mater. Des. 2004, 25, 317–329. [Google Scholar] [CrossRef]
- Ohkubo, N.; Miyakusu, K.; Uematsu, Y.K. Hiroshi Effect of alloying elements on the mechanical properties of the stable austenitic stainless steel. ISIJ Int. 1994, 34, 764–772. [Google Scholar] [CrossRef]
- Sieurin, H.; Zander, J.; Sandström, R. Modelling solid solution hardening in stainless steels. Mater. Sci. Eng. A 2006, 415, 66–71. [Google Scholar] [CrossRef]
- Booker, M.K.; Sikka, V.K. Effects of Composition Variables on the Tensile Properties of Type 304 Stainless Steel; Oak Ridge National Lab: Oak Ridge, TN, USA, 1977. [Google Scholar]
- Xie, Q.; Suvarna, M.; Li, J.; Zhu, X.; Cai, J.; Wang, X. Online prediction of mechanical properties of hot rolled steel plate using machine learning. Mater. Des. 2021, 197, 109201. [Google Scholar] [CrossRef]
- Narayana, P.L.; Lee, S.W.; Park, C.H.; Yeom, J.-T.; Hong, J.-K.; Maurya, A.K.; Reddy, N.S. Modeling high-temperature mechanical properties of austenitic stainless steels by neural networks. Comput. Mater. Sci. 2020, 179, 109617. [Google Scholar] [CrossRef]
- Stoll, A.; Benner, P. Machine learning for material characterization with an application for predicting mechanical properties. GAMM-Mitteilungen 2021, 44, e202100003. [Google Scholar] [CrossRef]
- Guo, S.; Yu, J.; Liu, X.; Wang, C.; Jiang, Q. A predicting model for properties of steel using the industrial big data based on machine learning. Comput. Mater. Sci. 2019, 160, 95–104. [Google Scholar] [CrossRef]
- Verma, S.; Misra, J.P.; Singh, J.; Batra, U.; Kumar, Y. Prediction of tensile behavior of FS welded AA7039 using machine learning. Mater. Today Commun. 2021, 26, 101933. [Google Scholar] [CrossRef]
- Kim, T.-W.; Ju, W.-H.; Jeon, S.-H.; Kim, Y.-C. A Study on Mechanical Properties of Austenitic Stainless Steel Welds Using ArcTig Welding. JWJ 2022, 40, 343–351. [Google Scholar] [CrossRef]
- Cui, Y.; Lundin, C.D.; Hariharan, V. Mechanical behavior of austenitic stainless steel weld metals with microfissures. J. Mater. Proc. Technol. 2006, 171, 150–155. [Google Scholar] [CrossRef]
- Piatti, G.; Vedani, M. Relation between tensile properties and microstructure in type 316 stainless steel SA weld metal. J. Mater. Sci. 1990, 25, 4285–4297. [Google Scholar] [CrossRef]
- Ward, A.L.; Blackburn, L.D. Elevated Temperature Tensile Properties of Weld-Deposited Austenitic Stainless Steels. J. Eng. Mater. Technol. 1976, 98, 213–220. [Google Scholar] [CrossRef]
- Moteshakker, A.; Danaee, I.; Moeinifar, S.; Ashrafi, A. Hardness and tensile properties of dissimilar welds joints between SAF 2205 and AISI 316L. Sci. Technol. Weld. Join. 2016, 21, 1–10. [Google Scholar] [CrossRef]
- Lee, K.; Kang, S.; Kang, M.; Yi, S.; Hyun, S.; Kim, C. Modeling of Laser Welds Using Machine Learning Algorithm Part I: Penetration Depth for Laser Overlap Al/Cu Dissimilar Metal Welds. JWJ 2021, 39, 27–35. [Google Scholar] [CrossRef]
- You, H.; Kang, M.; Yi, S.; Hyun, S.; Kim, C. Modeling of Laser Welds Using Machine Learning Algorithm Part II: Geometry and Mechanical Behaviors of Laser Overlap Welded High Strength Steel Sheets. JWJ 2021, 39, 36–44. [Google Scholar] [CrossRef]
- Newbold, P. Statistics for Business and Economics; Pearson: Singapore, 2013. [Google Scholar]
- Ott, R.L.; Longnecker, M.T. An Introduction to Statistical Methods and Data Analysis; Cengage Learning: Boston, MA, USA, 2015. [Google Scholar]
- Berns, H.; Gavriljuk, V.; Shanina, B. Intensive Interstitial Strengthening of Stainless Steels. Adv. Eng. Mater. 2008, 10, 1083–1093. [Google Scholar] [CrossRef]
- Zhao, L.; Wei, S.; Wu, D.; Gao, D.; Lu, S. δ-ferrite transformation mechanism and its effect on mechanical properties of 316H weld metal. J. Mater. Sci. Technol. 2020, 57, 33–42. [Google Scholar] [CrossRef]
- Baker, I. Interstitial strengthening in f.c.c. metals and alloys. Adv. Powder Mater. 2022, 1, 100034. [Google Scholar] [CrossRef]
- Di, X.; Deng, S.; Wang, B. Effect of pulse current on mechanical properties and dendritic morphology of modified medium manganese steel welds metal. Mater. Des. 2015, 66, 169–175. [Google Scholar] [CrossRef]
- Valiente Bermejo, M.A.; Karlsson, L.; Svensson, L.E.; Hurtig, K.; Rasmuson, H.; Frodigh, M.; Bengtsson, P. Effect of welding position on properties of duplex and superduplex stainless steel circumferential welds. Weld. World 2015, 59, 693–703. [Google Scholar] [CrossRef]
- Mousavi, M.G.; Cross, C.E.; Grong, Ø.; Hval, M. Controlling weld metal dilution for optimised weld performance in aluminium. Sci. Technol. Weld. Join. 1997, 2, 275–278. [Google Scholar] [CrossRef]
- Nouri, M.; Amir, A.-Z.; Malek, F. Effect of welding parameters on dilution and weld bead geometry in cladding. J. Mater. Sci. Technol. 2007, 23, 817. [Google Scholar]
- ASTM A1106/A1106M; Standard Specification for Pressure Vessel Plate, Alloy Steel, Austenitic High Manganese for Cryogenic Application. ASTM: West Conshohocken, PA, USA, 2017. [CrossRef]
- Kim, Y.M.; Lim, Y.J.; Kim, N.J. Effect of microstructure on the yield ratio and low temperature toughness of linepipe steels. ISIJ Int. 2002, 42, 1571–1577. [Google Scholar] [CrossRef]
- KS D 7143; Flux Cored Arc Welding Wire for High Manganese Steel Plate. Korea Standard Association: Seoul, Republic of Korea, 2019.
- Böllinghaus, T.; Herold, H. Hot Cracking Phenomena in Weld; Springer: Berlin/Heidelberg, Germany, 2005. [Google Scholar]








| No. | Variable (Unit) | Min. | Max. | Mean | Std. Dev |
|---|---|---|---|---|---|
| 1 | C (wt%) | 0.014 | 0.45 | 0.14 | 0.11 |
| 2 | Si (wt%) | 0.15 | 0.99 | 0.49 | 0.18 |
| 3 | Mn (wt%) | 1.01 | 22 | 4.19 | 4.52 |
| 4 | P (wt%) | 0.001 | 0.026 | 0.013 | 0.004 |
| 5 | S (wt%) | 0.001 | 0.015 | 0.004 | 0.003 |
| 6 | Ni (wt%) | 0.014 | 20.4 | 13.2 | 4.28 |
| 7 | Cr (wt%) | 1.21 | 25.4 | 15.6 | 6.26 |
| 8 | Mo (wt%) | 0 | 3.66 | 2.10 | 1.24 |
| 9 | Cu (wt%) | 0 | 0.3 | 0.04 | 0.05 |
| 10 | Heat Input (kJ/cm) | 9 | 37.4 | 11.8 | 3.63 |
| 11 | Yield Strength (MPa) | 335 | 565 | 442 | 47.56 |
| No. | Variable (Unit) | Min. | Max. | Mean | Std. Dev |
|---|---|---|---|---|---|
| 1 | C (wt%) | 0.02 | 0.19 | 0.05 | 0.04 |
| 2 | Si (wt%) | 0.3 | 0.96 | 0.59 | 0.17 |
| 3 | Mn (wt%) | 0.61 | 2.09 | 1.36 | 0.41 |
| 4 | P (wt%) | 0.011 | 0.043 | 0.024 | 0.010 |
| 5 | S (wt%) | 0.001 | 0.032 | 0.012 | 0.008 |
| 6 | Ni (wt%) | 8.32 | 18.04 | 11.54 | 2.82 |
| 7 | Cr (wt%) | 15.8 | 21.06 | 18.5 | 1.26 |
| 8 | Mo (wt%) | 0.03 | 3.41 | 1.28 | 1.29 |
| 9 | Cu (wt%) | 0.012 | 0.29 | 0.11 | 0.08 |
| 10 | Heat Input (kJ/cm) | 7 | 28 | 13.4 | 5.42 |
| 11 | Yield Strength (MPa) | 339 | 510 | 419 | 47.70 |
| C | Si | Mn | P | S | Ni | Cr | Mo | Cu | Heat Input | |
|---|---|---|---|---|---|---|---|---|---|---|
| Pearson correlation coefficient (r) | 0.4341 | −0.4445 | −0.0209 | −0.1743 | −0.4003 | 0.3170 | −0.1294 | 0.7032 | 0.2173 | −0.0413 |
| p-value | 0.0000 | 0.0000 | 0.8360 | 0.0830 | 0.0000 | 0.0010 | 0.1990 | 0.0000 | 0.3000 | 0.6840 |
| Variable | Coefficient | p-Value |
|---|---|---|
| Constant | 346 | 0.000 |
| C | 369 | 0.000 |
| Si | −0.91 | 0.941 |
| Mn | −1.40 | 0.058 |
| P | −754 | 0.182 |
| S | −837 | 0.160 |
| Ni | −1.11 | 0.066 |
| Cr | 3.01 | 0.000 |
| Mo | 25.8 | 0.000 |
| Cu | 487 | 0.000 |
| Heat input | −3.68 | 0.000 |
| Model | MAPE (%) | R2 | Remark |
|---|---|---|---|
| Equation (1) | 2.1 | 0.9294 | All input variables |
| Equation (2) | 2.2 | 0.9273 | α = 0.1 |
| Equation (3) | 2.2 | 0.9278 | α = 0.05 |
| Model | MAPE (%) | R2 |
|---|---|---|
| Linear Regression | 2.15 | 0.92 |
| Stepwise Linear Regression | 1.72 | 0.93 |
| Linear SVM | 2.11 | 0.91 |
| Squared Exponential GPR | 1.62 | 0.92 |
| Matern 5/2 GPR | 1.57 | 0.92 |
| Rational Quadratic GPR | 1.62 | 0.92 |
| Model | MAPE (%) | R2 |
|---|---|---|
| Multiple Regression using Equation (3) | 3.75 | 0.8462 |
| Stepwise Linear Regression | 8.07 | 0.6383 |
| Matern 5/2 GPR | 5.24 | 0.7596 |
| Linear SVM | 4.25 | 0.8164 |
| C | Si | Mn | P | S | Ni | Cr | Mo | Cu | |
|---|---|---|---|---|---|---|---|---|---|
| Base metal | 0.42 | 0.27 | 23.84 | 0.014 | 0.002 | 0.027 | 3.16 | 0.01 | 0.43 |
| Welding consumable Type 308L | 0.03 | 0.62 | 1.31 | 0.014 | 0.011 | 9.68 | 18.16 | 0.03 | 0.01 |
| Welding consumable Type 316L | 0.03 | 0.6 | 1.35 | 0.013 | 0.01 | 11.59 | 17.48 | 2.73 | 0.02 |
| Welding consumable Fully austenitic | 0.19 | 0.3 | 1.05 | 0.011 | 0.004 | 18.04 | 16.86 | 3.33 | 0 |
| Models | C | Mn | Ni | Cr | Mo | Cu | Heat Input (kJ/cm) | Remark |
|---|---|---|---|---|---|---|---|---|
| - | 0.21 | 3.35 | 15.06 | 16.21 | 3.23 | 0.04 | 14 | Referred data point |
| Equation (2) | 0.014–0.45 | 3.35 | 15.06 | 16.21 | 0–3.66 | 0.04 | 14 | |
| Equation (3) | 0.014–0.45 | - | - | 16.21 | 0–3.66 | 0.04 | 14 |
| Welding Consumable | C | Si | Mn | P | S | Ni | Cr | Mo | Cu |
|---|---|---|---|---|---|---|---|---|---|
| Fully austenitic | 0.19 | 0.3 | 1.05 | 0.011 | 0.004 | 18.04 | 16.86 | 3.33 | 0 |
| Modified fully austenitic Case 1 | 0.19 | 0.3 | 1.05 | 0.011 | 0.004 | 10.00 | 16.86 | 3.33 | 0 |
| Modified fully austenitic Case 2 | 0.19 | 0.3 | 1.05 | 0.011 | 0.004 | 10.00 | 10.00 | 3.33 | 0 |
| Modified fully austenitic Case 3 | 0.19 | 0.3 | 1.05 | 0.011 | 0.004 | 5.00 | 10.00 | 3.33 | 0 |
| Dilution Rate (%) | Predicted Yield Strength (MPa) | |||
|---|---|---|---|---|
| Equation (3) | Stepwise Linear Regression | Matern 5/2 GPR | Linear SVM | |
| 0 | 462 | 465 | 461 | 470 |
| 10 | 479 | 480 | 479 | 485 |
| 20 | 496 | 496 | 497 | 499 |
| 30 | 513 | 512 | 517 | 514 |
| 40 | 530 | 527 | 536 | 529 |
| 50 | 547 | 543 | 554 | 543 |
| 60 | 564 | 559 | 571 | 558 |
| 70 | 581 | 574 | 587 | 573 |
| 80 | 598 | 590 | 602 | 588 |
| 90 | 615 | 606 | 614 | 602 |
| 100 | 632 | 621 | 625 | 617 |
Disclaimer/Publisher’s Note: The statements, opinions and data contained in all publications are solely those of the individual author(s) and contributor(s) and not of MDPI and/or the editor(s). MDPI and/or the editor(s) disclaim responsibility for any injury to people or property resulting from any ideas, methods, instructions or products referred to in the content. |
© 2023 by the authors. Licensee MDPI, Basel, Switzerland. This article is an open access article distributed under the terms and conditions of the Creative Commons Attribution (CC BY) license (https://creativecommons.org/licenses/by/4.0/).
Share and Cite
Park, S.; Choi, M.; Kim, D.; Kim, C.; Kang, N. Modeling Yield Strength of Austenitic Stainless Steel Welds Using Multiple Regression Analysis and Machine Learning. Metals 2023, 13, 1625. https://doi.org/10.3390/met13091625
Park S, Choi M, Kim D, Kim C, Kang N. Modeling Yield Strength of Austenitic Stainless Steel Welds Using Multiple Regression Analysis and Machine Learning. Metals. 2023; 13(9):1625. https://doi.org/10.3390/met13091625
Chicago/Turabian StylePark, Sukil, Myeonghwan Choi, Dongyoon Kim, Cheolhee Kim, and Namhyun Kang. 2023. "Modeling Yield Strength of Austenitic Stainless Steel Welds Using Multiple Regression Analysis and Machine Learning" Metals 13, no. 9: 1625. https://doi.org/10.3390/met13091625
APA StylePark, S., Choi, M., Kim, D., Kim, C., & Kang, N. (2023). Modeling Yield Strength of Austenitic Stainless Steel Welds Using Multiple Regression Analysis and Machine Learning. Metals, 13(9), 1625. https://doi.org/10.3390/met13091625

