Effect of Heat Input on Microstructure and Tensile Properties in Simulated CGHAZ of a V-Ti-N Microalloyed Weathering Steel
Abstract
:1. Introduction
2. Materials and Experimental Method
3. Experimental Result
3.1. Microstructural Characteristics
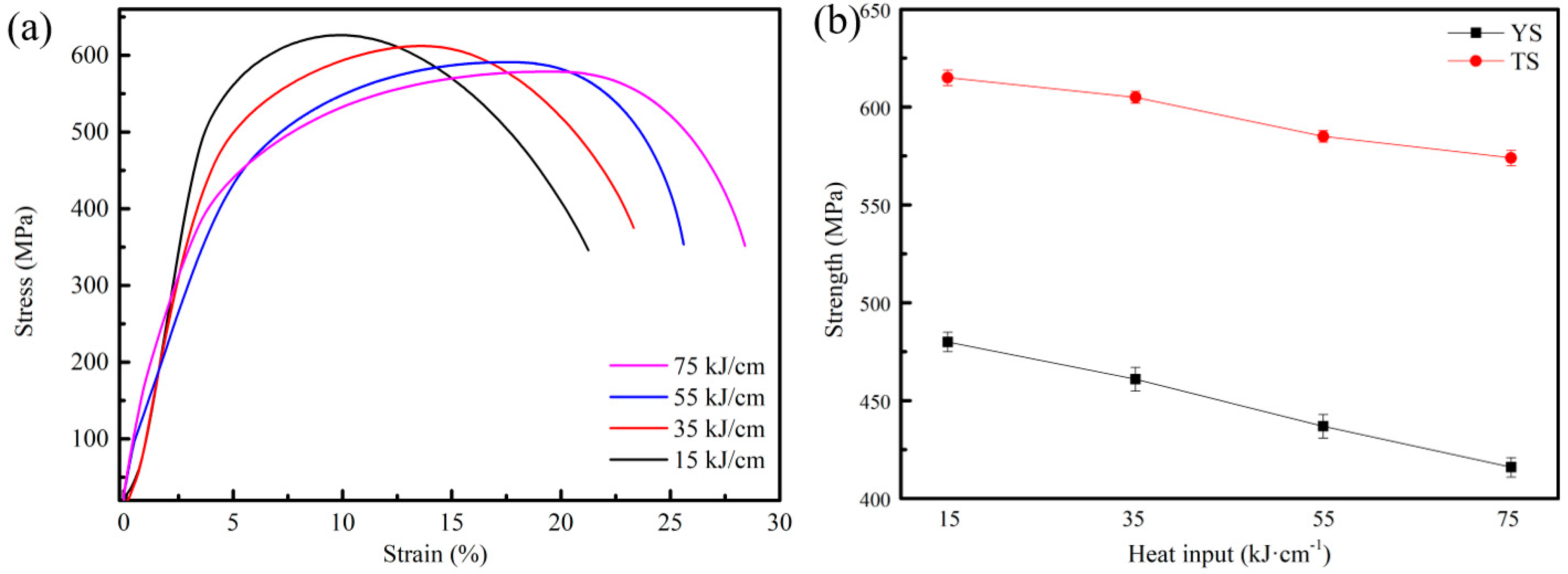
3.2. Mechanical Properties of CGHAZ
4. Discussion
4.1. Effect of Ej on CGHAZ Microstructure
4.2. Effect of Ej on CGHAZ Tensile Properties
5. Conclusions
- With the increase in Ej from 15 kJ/cm to 35 kJ/cm, and 55/75 kJ/cm, the dominant CGHAZ microstructure transforms from LBF to GBF, and then to a mixture of IGAF+PF. The size and area fraction of M/A constituents increase monotonically with the increase in Ej, the dM/A increases from 0.98 μm to 1.81 μm, and the fM/A increases from 3.11% to 4.42%.
- With the increase in Ej, the increase in MED defined by the LAGBs and a reduction in dislocation density led to the decrease in YS. And the MED with MTAs ranging from 2°–6° strongly controlled the YS due to their higher fitting coefficient of the Hall–Petch relationship.
- With the increase in Ej, the decrease in YR was mainly due to the increase in the size and area fraction of M/A constituents, which improved the strain-hardening ability. Meanwhile, the lower density and more uniform dislocation structures improved the uE.
Author Contributions
Funding
Data Availability Statement
Conflicts of Interest
Abbreviations
| Acronyms | Full Names |
| WS | Weathering steel |
| CGHAZ | Coarse-grained heat-affected zone |
| Ej | Heat input |
| YS | Yield strength |
| TS | Tensile strength |
| YR | Yield strength ratio |
| uE | Uniform elongation |
| T8/5 | The time of cooling from 800 °C to 500 °C during the welding thermal cycle cooling stage |
| LAGBs | Low-angle grain boundaries |
| HAGBs | High-angle grain boundaries |
| MED | Mean equivalent diameter |
| MTAs | Misorientation tolerance angles |
| IPP software | Image-Pro Plus software |
| EBSD | Electron backscatter diffraction |
| dM/A | The average size of martensite/austenite constituents |
| fM/A | Area fraction of martensite/austenite constituents |
| SAED | Selected area electron diffraction |
| LBF | Lath bainitic ferrite |
| GBF | Granular bainitic ferrite |
| PF | Polygon ferrite |
| IGAF | Intragranular acicular ferrite |
| IGPF | Intragranular polygon ferrite |
| M/A constituents | Martensite/austenite constituents |
| PAGBs | Prior austenite grain boundaries |
| DTs | Dislocation tangles |
| UDDLs | Uniformly distributed dislocation lines |
| DLs | Dislocation lines |
| GNDs | Geometrically necessary dislocations |
| KAM | Kernel average misorientation |
References
- Wang, Z.; Zhang, X.; Cheng, L. Role of inclusion and microstructure on corrosion initiation and propagation of weathering steels in marine environment. J. Mater. Res. Technol. 2021, 10, 306–321. [Google Scholar] [CrossRef]
- Travassos, S.; Almeida, M.B.D.; Tomachuk, C. Non-destructive thickness measurement as a tool to evaluate the evolution of patina layer formed on weathering steel exposed to the atmosphere. J. Mater. Res. Technol. 2020, 9, 687–699. [Google Scholar] [CrossRef]
- Yamashita, M.; Nagano, H.; Misawa, T. Structure of protective rust layers formed on weathering steels by long-term exposure in the industrial atmospheres of Japan and North America. ISIJ Int. 1998, 38, 285–290. [Google Scholar] [CrossRef]
- Wang, D.; Zhong, Q.; Yang, J. Effects of Cr and Ni on the microstructure and corrosion resistance of high-strength low alloy steel. J. Mater. Res. Technol. 2023, 23, 36–52. [Google Scholar] [CrossRef]
- Morcillo, M.; Diaz, I.; Chico, B.; Cano, H. Weathering steels: From empirical development to scientific design. A review. Corros. Sci. 2014, 83, 6–31. [Google Scholar] [CrossRef]
- Prasad, S.N.; Mediratta, S.R.; Sarma, D.S. Influence of austenitisation temperature on the structure and properties of weather resistant steels. Mater. Sci. Eng. A 2003, 358, 288–297. [Google Scholar] [CrossRef]
- Amer, A.E.; Koo, M.Y.; Lee, K.H. Effect of welding heat input on microstructure and mechanical properties of simulated HAZ in Cu containing microalloyed steel. J. Mater. Sci. 2010, 45, 1248–1254. [Google Scholar] [CrossRef]
- Yang, X.; Di, X.; Liu, X.; Wang, D.; Li, C. Effects of heat input on microstructure and fracture toughness of simulated coarse-grained heat affected zone for HSLA steels. Mater. Charact. 2019, 155, 109818. [Google Scholar] [CrossRef]
- Cao, R.; Chan, Z.S.; Yuan, J.J. The effects of Silicon and Copper on microstructures, tensile and Charpy properties of weld metals by refined X120 wire. Mater. Sci. Eng. A 2018, 718, 350–362. [Google Scholar] [CrossRef]
- Jorge, J.; Souza, L.; Rebello, J. The effect of chromium on the microstructure/toughness relationship of C–Mn weld metal deposits. Mater. Charact. 2001, 47, 195–205. [Google Scholar] [CrossRef]
- Zhou, P.; Wang, B.; Liang, W. Effect of welding heat input on grain boundary evolution and toughness properties in CGHAZ of X90 pipeline steel. Mater. Sci. Eng. A 2018, 722, 112–121. [Google Scholar] [CrossRef]
- Bao, L.; Huang, Y.; Liu, F. Investigation on microstructure and impact toughness of simulated heat affected zone of high strength low alloy steels by laser-arc hybrid welding. Mater. Res. Express 2022, 9, 096519. [Google Scholar] [CrossRef]
- Wang, J.; Shen, Y.F.; Xue, W.Y. The significant impact of introducing nanosize precipitates and decreased effective grain size on retention of high toughness of simulated heat affected zone (HAZ). Mater. Sci. Eng. A 2021, 803, 140484. [Google Scholar] [CrossRef]
- Zhu, Z.; Liu, Y.; Gou, G. Effect of heat input on interfacial characterization of the butter joint of hot-rolling CP-Ti/Q235 bimetallic sheets by Laser+ CMT. Sci. Rep. 2021, 11, 10020. [Google Scholar] [CrossRef]
- Jia, X.; Chen, Y.; Li, H. Study on the mechanism of AF nucleation induced by complex oxide inclusions after LF refining in oxide metallurgical steel. Mater. Charact. 2023, 204, 113239. [Google Scholar] [CrossRef]
- Qi, H.; Pang, Q.; Li, W. In Situ observation of CGHAZ microstructure evolution of hot-rolled ship plate steel containing 0.012 yttrium under high-heat-input welding. Steel Res. Int. 2023, 98, 2200771. [Google Scholar] [CrossRef]
- Fadel, A.; Glisic, D.; Radovic, N.; Drobnjak, D. Intragranular ferrite morphologies in medium carbon vanadium-micro alloyed steel. J. Min. Metall. B 2013, 49, 237–244. [Google Scholar] [CrossRef]
- Medina, S.F.; Gómez, M.; Rancel, L. Grain refinement by intragranular nucleation of ferrite in a high nitrogen content vanadium microalloyed steel. Scr. Mater. 2008, 58, 1110–1113. [Google Scholar] [CrossRef]
- Zhang, J.; Xin, W.; Luo, G. Effect of welding heat input on microstructural evolution, precipitation behavior and resultant properties of the simulated CGHAZ in high-N V-alloyed steel. Mater. Charact. 2020, 162, 110201. [Google Scholar] [CrossRef]
- Hu, J.; Du, L.-X.; Wang, J.-J.; Xie, H.; Gao, C.-R.; Misra, R.D.K. High toughness in the intercritically reheated coarse-grained (ICRCG) heat-affected zone (HAZ) of low carbon microalloyed steel. Mater. Sci. Eng. A 2014, 590, 323–328. [Google Scholar] [CrossRef]
- Shi, Z.; Yang, C.; Wang, R.; Su, H.; Chai, F. Effect of nitrogen on the microstructures and mechanical properties in simulated CGHAZ of vanadium microalloyed steel varied with different heat inputs. Mater. Sci. Eng. A 2016, 651, 184. [Google Scholar] [CrossRef]
- Wang, L.; Fan, H.; Shi, G. Effect of ferritic morphology on yield strength of CGHAZ in a low carbon Mo-V-N-Ti-B steel. Metals 2021, 11, 1863. [Google Scholar] [CrossRef]
- Hu, B.; Shi, G.; Wang, Q. Elucidating the heat input on CGHAZ microstructure and its irregular effect on impact toughness for a novel V–N microalloying weathering steel. J. Mater. Res. Technol. 2023, 25, 5888–5906. [Google Scholar] [CrossRef]
- Wang, B.; Chen, N.; Cai, Y. Effect of crystallographic features on low-temperature fatigue ductile-to-brittle transition for simulated coarse-grained heat-affected zone of bainite steel weld. Int. J. Fatigue 2023, 170, 107523. [Google Scholar] [CrossRef]
- Zhang, X.; Gao, H.; Zhang, X. Effect of volume fraction of bainite on microstructure and mechanical properties of X80 pipeline steel with excellent deformability. Mater. Sci. Eng. A 2012, 531, 84–90. [Google Scholar] [CrossRef]
- Fu, Z.; Yang, B.; Shan, M. Hydrogen embrittlement behavior of SUS301L-MT stainless steel laser-arc hybrid welded joint localized zones. Corros. Sci. 2020, 164, 108337. [Google Scholar] [CrossRef]
- Guo, A.; Misra, R.D.K.; Liu, J. An analysis of the microstructure of the heat-affected zone of an ultra-low carbon and niobium-bearing acicular ferrite steel using EBSD and its relationship to mechanical properties. Mater. Sci. Eng. A 2010, 527, 6440–6448. [Google Scholar] [CrossRef]
- Fan, L.; Zhou, D.; Wang, T. Tensile properties of an acicular ferrite and martensite/austenite constituent steel with varying cooling rates. Mater. Sci. Eng. A 2014, 590, 224–231. [Google Scholar] [CrossRef]
- Zhu, K.; Bouaziz, O.; Oberbillig, C. An approach to define the effective lath size controlling yield strength of bainite. Mater. Sci. Eng. A 2010, 527, 6614–6619. [Google Scholar] [CrossRef]
- Olasolo, M.; Uranga, P.; Rodriguez-Ibabe, J.M. Effect of austenite microstructure and cooling rate on transformation characteristics in a low carbon Nb-V microalloyed steel. Mater. Sci. Eng. A 2011, 528, 2559–2569. [Google Scholar] [CrossRef]
- Li, C.; Duan, R.; Fu, W. Improvement of mechanical properties for low carbon ultra-high strength steel strengthened by Cu-rich multistructured precipitation via modification to bainite. Mater. Sci. Eng. A 2021, 817, 141337. [Google Scholar] [CrossRef]
- Williamson, G.K.; Smallman, R.E.J.P.M., III. Dislocation densities in some annealed and cold-worked metals from measurements on the X-ray debye-scherrer spectrum. Philos. Mag. A 1956, 1, 34–46. [Google Scholar] [CrossRef]
- Hu, J.; Du, X.; Wang, J.; Gao, R. Effect of welding heat input on microstructures and toughness in simulated CGHAZ of V-N high strength steel. Mater. Sci. Eng. A 2013, 577, 161–168. [Google Scholar] [CrossRef]
- Wang, X.L.; Wang, Z.Q.; Ma, X.P. Analysis of impact toughness scatter in simulated coarse-grained HAZ of E550 grade offshore engineering steel from the aspect of crystallographic structure. Mater. Charact. 2018, 140, 312–319. [Google Scholar] [CrossRef]
- Zhang, S.; Yang, M.; Yuan, F. Extraordinary fracture toughness in nickel induced by heterogeneous grain structure. Mater. Sci. Eng. A 2022, 830, 142313. [Google Scholar] [CrossRef]
- Wang, J.; Pan, Z.; Wang, Y. Evolution of crystallographic orientation, precipitation, phase transformation and mechanical properties realized by enhancing deposition current for dual-wire arc additive manufactured Ni-rich NiTi alloy. Addit. Manuf. 2020, 34, 101240. [Google Scholar] [CrossRef]
- Moeinifar, S.; Kokabi, A.H.; Hosseini, H. Influence of peak temperature during simulation and real thermal cycles on microstructure and fracture properties of the reheated zones. Mater. Des. 2010, 31, 2948–2955. [Google Scholar] [CrossRef]
- Baker, T.N. Microalloyed steels. Ironmak. Steelmak. 2016, 43, 264–307. [Google Scholar] [CrossRef]
- Tomita, Y.; Saito, N.; Tsuzuki, T. Improvement in HAZ toughness of steel by TiN-MnS addition. ISIJ Int. 1994, 34, 829–835. [Google Scholar] [CrossRef]
- Yang, L.; Peng, D.; Zhou, J. Effects of TiC on the microstructure and formation of acicular ferrite in ferritic stainless steel. Metall. Mater. 2019, 26, 1385–1395. [Google Scholar]
- Gregg, J.M.; Bhadeshia, H. Solid-state nucleation of acicular ferrite on minerals added to molten steel. Acta Mater. 1997, 45, 739–748. [Google Scholar] [CrossRef]
- Ishikawa, F.; Takahashi, T.; Ochi, T.J.M. Intragranular ferrite nucleation in medium-carbon vanadium steels. Metall. Mater. Trans. A 1994, 25, 929–936. [Google Scholar] [CrossRef]
- Tan, X.; Lu, W.; Guo, N. Effect of tempering and partitioning (T&P) treatment on microstructure and mechanical properties of a low-carbon low-alloy quenched and dynamically partitioned (Q-DP) steel. Mater. Sci. Eng. A 2023, 872, 144968. [Google Scholar]
- Sun, X.; Wang, Y.; Sun, D. Microstructure and mechanical properties of Si-rich H13 steel processed via austempering and tempering. Mater. Sci. Eng. A 2022, 834, 142616. [Google Scholar] [CrossRef]
- Iza-Mendia, A.; Gutierrez, I. Generalization of the existing relations between microstructure and yield stress from ferrite-pearlite to high strength steels. Mater. Sci. Eng. A 2013, 561, 40–51. [Google Scholar] [CrossRef]
- Chen, J.; Shuai, T.; Liu, Z.Y. Microstructural characteristics with various cooling paths and the mechanism of embrittlement and toughening in low-carbon high performance bridge steel. Mater. Sci. Eng. A 2013, 559, 241–249. [Google Scholar] [CrossRef]
- Gutierrez, I. Effect of microstructure on the impact toughness of Nb-microalloyed steel: Generalisation of existing relations from ferrite-pearlite to high strength microstructures. Mater. Sci. Eng. A 2013, 571, 57–67. [Google Scholar] [CrossRef]
- Hüper, T.; Endo, S.; Ishikawa, N. Effect of volume fraction of constituent phases on the stress-strain relationship of dual phase steels. ISIJ Int. 2007, 39, 288–294. [Google Scholar] [CrossRef]
- Li, Z.; Chen, Y.; Yuan, H. Microstructure and properties of low alloy Cr-Mo steel processed with varied isothermal temperatures. Mater. Today Commun. 2023, 35, 106158. [Google Scholar] [CrossRef]
- Sung, H.K.; Lee, D.H.; Lee, S. Correlation between microstructures and tensile properties of strain-based API X60 pipeline steels. Metall. Mater. Trans. A 2016, 47, 2726–2738. [Google Scholar] [CrossRef]
- Bandhu, D.; Vora, J.J.; Das, S. Experimental study on application of gas metal arc welding based regulated metal deposition technique for low alloy steel. Mater. Manuf. Process. 2022, 37, 1727–1745. [Google Scholar] [CrossRef]
- Noell, P.; Carroll, J.; Hattar, K. Do voids nucleate at grain boundaries during ductile rupture? Acta Mater. 2017, 137, 103–114. [Google Scholar] [CrossRef]











| C | Si | Mn | P | S | Cr | Cu | Ni | Mo | Ti | V | N | Fe |
|---|---|---|---|---|---|---|---|---|---|---|---|---|
| 0.046 | 0.19 | 1.30 | 0.009 | 0.005 | 0.45 | 0.32 | 0.37 | 0.05 | 0.015 | 0.024 | 0.0073 | Bal. |
| YS ReL/MPa | TS Rm/MPa | YR ReL/Rm | Elongation A/% | Energy Absorbed at −40 °C AkV/J | Micro-Hardness /HV10 |
|---|---|---|---|---|---|
| 489 | 594 | 0.82 | 26.5 | 238.4 | 226.0 |
| Ej kJ/cm | Type of Element in Square Particles | Type of Element in Circular Particles | |||||||
|---|---|---|---|---|---|---|---|---|---|
| Ti | V | C | N | Fe | V | C | N | Fe | |
| 15 | 23.15% | 0% | 41.81% | 24.15% | 10.89% | / | / | / | / |
| 35 | 23.19% | 0.05% | 42.43% | 24.89% | 10.44% | 0.02% | 60.15% | 5.89% | 33.94% |
| 55 | 24.55% | 0.95% | 43.05% | 26.15% | 5.30% | 0.88% | 61.89% | 10.25% | 26.98% |
| 75 | 25.11% | 1.60% | 43.10% | 27.33% | 2.86% | 1.45% | 62.82% | 12.63% | 23.10% |
| Ej kJ/cm | MEDMTA≥2° /μm | MEDMTA≥4° /μm | MEDMTA≥6° /μm | MEDMTA≥8° /μm | MEDMTA≥10° /μm | MEDMTA≥12° /μm | MEDMTA≥15° /μm |
|---|---|---|---|---|---|---|---|
| 15 | 2.75 | 3.15 | 3.45 | 4.15 | 5.21 | 5.47 | 6.36 |
| 35 | 3.16 | 3.6 | 4.13 | 4.96 | 5.62 | 5.76 | 6.73 |
| 55 | 4.03 | 4.54 | 5.12 | 5.67 | 5.79 | 5.84 | 6.15 |
| 75 | 4.69 | 5.56 | 5.68 | 5.76 | 5.87 | 5.91 | 5.96 |
| Heat Input/kJ·cm−1 | YS/MPa | TS/MPa | YR | uE/% | Micro-Hardness /HV10 |
|---|---|---|---|---|---|
| 15 | 480 ± 5 | 615 ± 4 | 0.78 | 9.5 ± 0.5 | 238.4 ± 3.5 |
| 35 | 461 ± 6 | 605 ± 3 | 0.76 | 13.2 ± 0.7 | 222 ± 5.2 |
| 55 | 437 ± 6 | 585 ± 3 | 0.75 | 16.4 ± 0.7 | 210 ± 4.8 |
| 75 | 416 ± 5 | 574 ± 4 | 0.72 | 18.6 ± 0.6 | 201 ± 3.5 |
Disclaimer/Publisher’s Note: The statements, opinions and data contained in all publications are solely those of the individual author(s) and contributor(s) and not of MDPI and/or the editor(s). MDPI and/or the editor(s) disclaim responsibility for any injury to people or property resulting from any ideas, methods, instructions or products referred to in the content. |
© 2023 by the authors. Licensee MDPI, Basel, Switzerland. This article is an open access article distributed under the terms and conditions of the Creative Commons Attribution (CC BY) license (https://creativecommons.org/licenses/by/4.0/).
Share and Cite
Hu, B.; Wang, Q.; Wang, Q. Effect of Heat Input on Microstructure and Tensile Properties in Simulated CGHAZ of a V-Ti-N Microalloyed Weathering Steel. Metals 2023, 13, 1607. https://doi.org/10.3390/met13091607
Hu B, Wang Q, Wang Q. Effect of Heat Input on Microstructure and Tensile Properties in Simulated CGHAZ of a V-Ti-N Microalloyed Weathering Steel. Metals. 2023; 13(9):1607. https://doi.org/10.3390/met13091607
Chicago/Turabian StyleHu, Bing, Qiuming Wang, and Qingfeng Wang. 2023. "Effect of Heat Input on Microstructure and Tensile Properties in Simulated CGHAZ of a V-Ti-N Microalloyed Weathering Steel" Metals 13, no. 9: 1607. https://doi.org/10.3390/met13091607
APA StyleHu, B., Wang, Q., & Wang, Q. (2023). Effect of Heat Input on Microstructure and Tensile Properties in Simulated CGHAZ of a V-Ti-N Microalloyed Weathering Steel. Metals, 13(9), 1607. https://doi.org/10.3390/met13091607
