Fatigue Behavior of Cu-Zr Metallic Glasses under Cyclic Loading
Abstract
:1. Introduction
2. MD Simulations
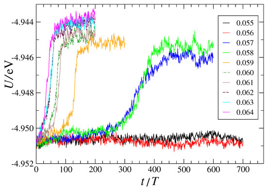
3. Results
4. Conclusions
Funding
Data Availability Statement
Acknowledgments
Conflicts of Interest
References
- Kruzic, J.J. Bulk metallic glasses as structural materials: A review. Adv. Eng. Mater. 2016, 18, 1308. [Google Scholar] [CrossRef]
- Qiao, J.C.; Wang, Q.; Pelletier, J.M.; Kato, H.; Casalini, R.; Crespo, D.; Pineda, E.; Yao, Y.; Yang, Y. Structural heterogeneities and mechanical behavior of amorphous alloys. Prog. Mater. Sci. 2019, 104, 250. [Google Scholar] [CrossRef]
- Jia, H.; Wang, G.; Chen, S.; Gao, Y.; Li, W.; Liaw, P.K. Fatigue and fracture behavior of bulk metallic glasses and their composites. Prog. Mater. Sci. 2018, 98, 168. [Google Scholar] [CrossRef]
- Menzel, B.C.; Dauskardt, R.H. Stress-life fatigue behavior of a Zr-based bulk metallic glass. Acta Mater. 2006, 54, 935. [Google Scholar] [CrossRef]
- Sha, Z.; Lin, W.; Poh, L.H.; Xing, G.; Liu, Z.; Wang, T.; Gao, H. Fatigue of metallic glasses. Appl. Mech. Rev. 2020, 72, 050801. [Google Scholar] [CrossRef]
- Spaepen, F. A microscopic mechanism for steady state inhomogeneous flow in metallic glasses. Acta Metall. 1977, 25, 407. [Google Scholar] [CrossRef]
- Argon, A.S. Plastic deformation in metallic glasses. Acta Metall. 1979, 27, 47. [Google Scholar] [CrossRef]
- Parley, J.T.; Sastry, S.; Sollich, P. Mean-field theory of yielding under oscillatory shear. Phys. Rev. Lett. 2022, 128, 198001. [Google Scholar] [CrossRef]
- Cochran, J.O.; Callaghan, G.L.; Fielding, S.M. Slow fatigue and highly delayed yielding via shear banding in oscillatory shear. arXiv 2022, arXiv:2211.11677. [Google Scholar]
- Priezjev, N.V. Heterogeneous relaxation dynamics in amorphous materials under cyclic loading. Phys. Rev. E 2013, 87, 052302. [Google Scholar] [CrossRef]
- Regev, I.; Lookman, T.; Reichhardt, C. Onset of irreversibility and chaos in amorphous solids under periodic shear. Phys. Rev. E 2013, 88, 062401. [Google Scholar] [CrossRef] [PubMed]
- Fiocco, D.; Foffi, G.; Sastry, S. Oscillatory athermal quasistatic deformation of a model glass. Phys. Rev. E 2013, 88, 020301(R). [Google Scholar] [CrossRef]
- Regev, I.; Weber, J.; Reichhardt, C.; Dahmen, K.A.; Lookman, T. Reversibility and criticality in amorphous solids. Nat. Commun. 2015, 6, 8805. [Google Scholar] [CrossRef] [PubMed]
- Luo, J.; Dahmen, K.; Liaw, P.K.; Shi, Y. Low-cycle fatigue of metallic glass nanowires. Acta Mater. 2015, 87, 225. [Google Scholar] [CrossRef]
- Sha, Z.D.; Qu, S.X.; Liu, Z.S.; Wang, T.J.; Gao, H. Cyclic deformation in metallic glasses. Nano Lett. 2015, 15, 7010. [Google Scholar] [CrossRef] [PubMed]
- Priezjev, N.V. Reversible plastic events during oscillatory deformation of amorphous solids. Phys. Rev. E 2016, 93, 013001. [Google Scholar] [CrossRef]
- Kawasaki, T.; Berthier, L. Macroscopic yielding in jammed solids is accompanied by a non-equilibrium first-order transition in particle trajectories. Phys. Rev. E 2016, 94, 022615. [Google Scholar] [CrossRef]
- Priezjev, N.V. Nonaffine rearrangements of atoms in deformed and quiescent binary glasses. Phys. Rev. E 2016, 94, 023004. [Google Scholar] [CrossRef] [PubMed]
- Ranganathan, R.; Shi, Y.; Keblinski, P. Commonalities in frequency-dependent viscoelastic damping in glasses in the MHz to THz regime. J. Appl. Phys. 2017, 122, 145103. [Google Scholar] [CrossRef]
- Leishangthem, P.; Parmar, A.D.S.; Sastry, S. The yielding transition in amorphous solids under oscillatory shear deformation. Nat. Commun. 2017, 8, 14653. [Google Scholar] [CrossRef]
- Priezjev, N.V. Collective nonaffine displacements in amorphous materials during large-amplitude oscillatory shear. Phys. Rev. E 2017, 95, 023002. [Google Scholar] [CrossRef]
- Priezjev, N.V. Molecular dynamics simulations of the mechanical annealing process in metallic glasses: Effects of strain amplitude and temperature. J. Non-Cryst. Solids 2018, 479, 42. [Google Scholar] [CrossRef]
- Priezjev, N.V. The yielding transition in periodically sheared binary glasses at finite temperature. Comput. Mater. Sci. 2018, 150, 162. [Google Scholar] [CrossRef]
- Parmar, A.D.S.; Kumar, S.; Sastry, S. Strain localization above the yielding point in cyclically deformed glasses. Phys. Rev. X 2019, 9, 021018. [Google Scholar] [CrossRef]
- Priezjev, N.V. Slow relaxation dynamics in binary glasses during stress-controlled, tension-compression cyclic loading. Comput. Mater. Sci. 2018, 153, 235. [Google Scholar] [CrossRef]
- Bai, Y.; She, C. Atomic structure evolution in metallic glasses under cyclic deformation. Comput. Mater. Sci. 2019, 169, 109094. [Google Scholar] [CrossRef]
- Priezjev, N.V. Accelerated relaxation in disordered solids under cyclic loading with alternating shear orientation. J. Non-Cryst. Solids 2019, 525, 119683. [Google Scholar] [CrossRef]
- Priezjev, N.V. Shear band formation in amorphous materials under oscillatory shear deformation. Metals 2020, 10, 300. [Google Scholar] [CrossRef]
- Yeh, W.T.; Ozawa, M.; Miyazaki, K.; Kawasaki, T.; Berthier, L. Glass stability changes the nature of yielding under oscillatory shear. Phys. Rev. Lett. 2020, 124, 225502. [Google Scholar] [CrossRef]
- Priezjev, N.V. Alternating shear orientation during cyclic loading facilitates yielding in amorphous materials. J. Mater. Eng. Perform. 2020, 29, 7328. [Google Scholar] [CrossRef]
- Tang, L.; Ma, G.; Liu, H.; Zhou, W.; Bauchy, M. Bulk metallic glasses’ response to oscillatory stress is governed by the topography of the energy landscape. J. Phys. Chem. B 2020, 124, 11294. [Google Scholar] [CrossRef] [PubMed]
- Wang, P.; Yang, X. Atomistic investigation of aging and rejuvenation in CuZr metallic glass under cyclic loading. Comput. Mater. Sci. 2020, 185, 109965. [Google Scholar] [CrossRef]
- Priezjev, N.V. A delayed yielding transition in mechanically annealed binary glasses at finite temperature. J. Non-Cryst. Solids 2020, 548, 120324. [Google Scholar] [CrossRef]
- Bhaumik, H.; Foffi, G.; Sastry, S. The role of annealing in determining the yielding behavior of glasses under cyclic shear deformation. PNAS 2021, 118, 2100227118. [Google Scholar] [CrossRef]
- Priezjev, N.V. Accessing a broader range of energy states in metallic glasses by variable-amplitude oscillatory shear. J. Non-Cryst. Solids 2021, 560, 120746. [Google Scholar] [CrossRef]
- Yang, Y.; Li, H.; Yang, Z.; Liu, J.; Kateye, E.K.; Zhao, J. Notch fatigue of Cu50Zr50 metallic glasses under cyclic loading: Molecular dynamics simulations. Commun. Theor. Phys. 2021, 73, 065501. [Google Scholar] [CrossRef]
- Priezjev, N.V. Yielding transition in stable glasses periodically deformed at finite temperature. Comput. Mater. Sci. 2021, 200, 110831. [Google Scholar] [CrossRef]
- Cui, S.; Liu, H.; Peng, H. Anisotropic correlations of plasticity on the yielding of metallic glasses. Phys. Rev. E 2022, 106, 014607. [Google Scholar] [CrossRef]
- Zhao, L.; Ouyang, D.; Wang, Y.; Chan, K. Improving fatigue performance of metallic glasses with crystalline metal coating revealed by atomistic simulations. J. Non-Cryst. Solids 2022, 586, 121559. [Google Scholar] [CrossRef]
- Priezjev, N.V. Mechanical annealing and yielding transition in cyclically sheared binary glasses. J. Non-Cryst. Solids 2022, 590, 121697. [Google Scholar] [CrossRef]
- Shang, B.; Jakse, N.; Guan, P.; Wang, W.; Barrat, J.-L. Influence of oscillatory shear on nucleation in metallic glasses: A molecular dynamics study. Acta Mater. 2023, 246, 118668. [Google Scholar] [CrossRef]
- Priezjev, N.V. Fatigue failure of amorphous alloys under cyclic shear deformation. Comput. Mater. Sci. 2023, 226, 112230. [Google Scholar] [CrossRef]
- Cheng, Y.Q.; Ma, E.; Sheng, H.W. Atomic level structure in multicomponent bulk metallic glass. Phys. Rev. Lett. 2009, 102, 245501. [Google Scholar] [CrossRef]
- Cheng, Y.Q.; Ma, E. Atomic-level structure and structure-property relationship in metallic glasses. Prog. Mater. Sci. 2011, 56, 379. [Google Scholar] [CrossRef]
- Fan, Z.; Ma, E. Predicting orientation-dependent plastic susceptibility from static structure in amorphous solids via deep learning. Nat. Commun. 2021, 12, 1506. [Google Scholar] [CrossRef]
- Plimpton, S.J. Fast parallel algorithms for short-range molecular dynamics. J. Comp. Phys. 1995, 117, 1. [Google Scholar] [CrossRef]
- Tecplot 360 Version 2015r2. 2015. Available online: https://www.tecplot.com/products/tecplot-360/ (accessed on 16 September 2023).
- Egami, T.; Iwashita, T.; Dmowski, W. Mechanical properties of metallic glasses. Metals 2013, 3, 77. [Google Scholar] [CrossRef]
- Sun, Y.; Concustell, A.; Greer, A.L. Thermomechanical processing of metallic glasses: Extending the range of the glassy state. Nat. Rev. Mater. 2016, 1, 16039. [Google Scholar] [CrossRef]
- Hufnagel, T.C.; Schuh, C.A.; Falk, M.L. Deformation of metallic glasses: Recent developments in theory, simulations, and experiments. Acta Mater. 2016, 109, 375. [Google Scholar] [CrossRef]
- Falk, M.L.; Langer, J.S. Dynamics of viscoplastic deformation in amorphous solids. Phys. Rev. E 1998, 57, 7192. [Google Scholar] [CrossRef]
- Wang, X.; Xu, W.-S.; Zhang, H.; Douglas, J.F. Universal nature of dynamic heterogeneity in glass-forming liquids: A comparative study of metallic and polymeric glass-forming liquids. J. Chem. Phys. 2019, 151, 184503. [Google Scholar] [CrossRef] [PubMed]








Disclaimer/Publisher’s Note: The statements, opinions and data contained in all publications are solely those of the individual author(s) and contributor(s) and not of MDPI and/or the editor(s). MDPI and/or the editor(s) disclaim responsibility for any injury to people or property resulting from any ideas, methods, instructions or products referred to in the content. |
© 2023 by the author. Licensee MDPI, Basel, Switzerland. This article is an open access article distributed under the terms and conditions of the Creative Commons Attribution (CC BY) license (https://creativecommons.org/licenses/by/4.0/).
Share and Cite
Priezjev, N.V. Fatigue Behavior of Cu-Zr Metallic Glasses under Cyclic Loading. Metals 2023, 13, 1606. https://doi.org/10.3390/met13091606
Priezjev NV. Fatigue Behavior of Cu-Zr Metallic Glasses under Cyclic Loading. Metals. 2023; 13(9):1606. https://doi.org/10.3390/met13091606
Chicago/Turabian StylePriezjev, Nikolai V. 2023. "Fatigue Behavior of Cu-Zr Metallic Glasses under Cyclic Loading" Metals 13, no. 9: 1606. https://doi.org/10.3390/met13091606
APA StylePriezjev, N. V. (2023). Fatigue Behavior of Cu-Zr Metallic Glasses under Cyclic Loading. Metals, 13(9), 1606. https://doi.org/10.3390/met13091606
