Influence of 0.5% Ag Addition on Low-Cycle Fatigue Behavior of Hot-Extruded Al-5Cu-0.8Mg-0.15Zr-0.2Sc Alloy Subjected to Peak-Aging Treatment
Abstract
:1. Introduction
2. Experimental Procedures
3. Experimental Results
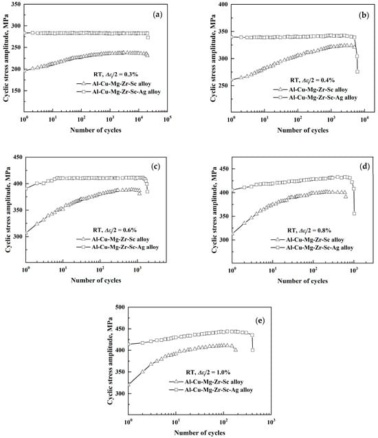
3.1. Cyclic Stress Response
3.2. Fatigue Life
3.3. Cyclic Stress–Strain Behavior
3.4. Fatigue Crack Initiation and Propagation
4. Discussion
5. Conclusions
- (1)
- The peak-aged Al-5Cu-0.8Mg-0.15Zr-0.2Sc alloy exhibits cyclic hardening followed by cyclic stability or cyclic hardening during low-cycle fatigue deformation at room temperature and different total strain amplitudes, whereas the peak-aged Al-5Cu-0.8Mg-0.15Zr-0.2Sc-0.5Ag alloy exhibits cyclic hardening followed by cyclic stability or cyclic hardening.
- (2)
- The peak-aged Al-5Cu-0.8Mg-0.15Zr-0.2Sc-0.2Sc-0.5Ag alloy exhibits the cyclic stability or the cyclic hardening during the low-cycle fatigue deformation at 200 °C and different total strain amplitudes, in contrast to the peak-aged Al-5Cu-0.8Mg-0.15Zr-0.2Sc-0.2Sc alloy.
- (3)
- The peak-aged Al-5Cu-0.8Mg-0.15Zr-0.2Sc-0.5Ag alloy has a stronger cyclic deformation resistance than the peak-aged Al-5Cu-0.8Mg-0.15Zr-0.2Sc alloy at temperatures of both room temperature and 200 °C. The low-cycle fatigue life is significantly increased with the addition of 0.5% Ag.
- (4)
- Fatigue cracks begin and spread trans granularly for peak-aged Al-5Cu-0.8Mg-0.15Zr-0.2Sc(-0.5Ag) alloys exposed to low-cycle fatigue deformation at room temperature and 200 °C. The 0.5% Ag addition has no effect on the low-cycle fatigue crack’s beginning or propagating mode.
Author Contributions
Funding
Data Availability Statement
Conflicts of Interest
References
- Jiang, F.; Wen, K.; Jian, H.-G.; Jiang, C.-L.; Zhao, J.; Jiang, L. Existing form and action mechanism of minor scandium and zirconium in Al-Cu-Mg alloy. J. Cent. South Univ. 2010, 17, 19–23. [Google Scholar] [CrossRef]
- Cavaliere, P. Effect of minor Sc and Zr addition on the mechanical properties of friction stir processed 2024 aluminium alloy. J. Mater. Sci. 2006, 41, 4299–4302. [Google Scholar] [CrossRef]
- Yu, K.; Li, W.; Li, S.; Zhao, J. Mechanical properties and microstructure of aluminum alloy 2618 with Al3(Sc. Zr) phases. Mater. Sci. Eng. A 2004, 368, 88–93. [Google Scholar] [CrossRef]
- Xiao, D.H.; Song, M.; Huang, B.Y.; Yi, J.H.; He, Y.H.; Li, Y.M. Effect of Sc addition on microstructure and mechanical properties of Al-Cu-Mg-Ag-Zr alloy. Mater. Sci. Technol. 2009, 25, 747–752. [Google Scholar] [CrossRef]
- Fan, J.C.; Yang, B.W.; Wang, Y.; Gao, M.; Guan, R. Enhancing the tensile strength and heat resistance induced by high-density ω phases in an Al-Cu-Mg-Ag alloy. J. Mater. Res. Technol. 2022, 18, 3347–3357. [Google Scholar] [CrossRef]
- Al-Obaisi, A.M.; El-Danaf, E.A.; Ragab, A.E.; Soliman, M.S. Precipitation hardening and statistical modeling of the aging parameters and alloy compositions in Al-Cu-Mg-Ag alloys. J. Mater. Eng. Perform. 2016, 25, 2432–2444. [Google Scholar] [CrossRef]
- Liu, X.Y.; Pan, Q.L.; Zheng, L.Y.; Fu, Q.R.; Gao, F.; Li, M.X.; Bai, Y.M. Effect of aging temper on the thermal stability of Al-Cu-Mg-Ag heat-resistant alloy. Mater. Design 2013, 46, 360–365. [Google Scholar] [CrossRef]
- Gu, Y.; Liu, Z.; Yu, D.; Liu, B.; Lin, M.; Zeng, S. Growth of Ω plates and its effect on mechanical properties in Al-Cu-Mg-Ag alloy with high content of silver. J. Mater. Eng. Perform. 2013, 22, 1708–1715. [Google Scholar] [CrossRef]
- Yu, Z.; Li, H.; Cai, P.; Fu, X.; Feng, Z.; Zhang, L.; Wang, J.; Xiao, N. Effect of aging route on the precipitation behavior and thermal stability of Al-Cu-Mg-Ag alloy. J. Mater. Res. Technol. 2023, 23, 2010–2019. [Google Scholar] [CrossRef]
- Song, M.; Chen, K.H.; Huang, L.P. Effects of Ag addition on mechanical properties and microstructures of Al-8Cu-0.5Mg alloy. Trans. Nonferrous Met. Soc. 2006, 16, 766–771. [Google Scholar] [CrossRef]
- Zhou, X.; Liu, Z.; Bai, S.; Liu, M.; Ying, P. The influence of various Ag additions on the nucleation and thermal stability of Ω phase in Al-Cu-Mg alloys. Mat. Sci. Eng. A 2013, 564, 186–191. [Google Scholar] [CrossRef]
- Ma, F.Y.; Liu, Z.Y.; Hou, Y.H.; Xia, Q.K.; Bai, S.; Luo, H. Effect of Ag content on evaluated-temperature mechanical properties and thermal stability of Al-Cu-Mg-Ag alloys. Rare Metal Mat. Eng. 2010, 39, 482–485. [Google Scholar]
- Wang, J.; Xie, J.; Mao, Z.; Liang, T.; Wang, A.; Wang, W.; Hao, S. Microstructure evolution and mechanical properties of the Al-Cu-Mg-Ag alloy during non-isothermal aging. J. Alloy Compd. 2023, 942, 169031. [Google Scholar] [CrossRef]
- Gazizov, M.; Kaibyshev, R. Low-cyclic fatigue behaviour of an Al-Cu-Mg-Ag alloy under T6 and T840 conditions. J. Mater. Sci. Technol. 2017, 33, 688–698. [Google Scholar] [CrossRef]
- Gazizov, M.; Kaibyshev, R. High cyclic fatigue performance of Al-Cu-Mg-Ag alloy under T6 and T840 conditions. Trans. Nonferrous Met. Soc. 2017, 27, 1215–1223. [Google Scholar] [CrossRef]
- Wang, J.; Liu, Z.; Bai, S.; Cao, J.; Zhao, J.; Zeng, D. Microstructure and three-point bending fatigue behavior of Al-Cu-Mg-Ag alloys with various Mg contents. J. Mater. Eng. Perform. 2019, 28, 6614–6625. [Google Scholar] [CrossRef]
- Burba, M.E.; Caton, M.J.; Jha, S.K.; Szczepanski, C.J. Effect of aging treatment on fatigue behavior of an Al-Cu-Mg-Ag alloy. Metall. Mater. Trans. 2013, 44, 4954–4967. [Google Scholar] [CrossRef]
- Bai, S.; Liu, Z.; Gu, Y.; Zhou, X.; Zeng, S. Microstructures and fatigue fracture behavior of an Al-Cu-Mg-Ag alloy with a low Cu/Mg ratio. Mat. Sci. Eng. A 2011, 530, 473–480. [Google Scholar] [CrossRef]
- Lin, G.; Zhang, H.W.; Li, H.Z.; Guan, L.N.; Huang, L.J. Effect of Mg content on microstructure and mechanical properties of Al-Cu-Mg-Ag alloys. Rare Metal Mater. Eng. 2010, 39, 52–55. [Google Scholar]
- Zhemchuzhnikova, D.A.; Gazizov, M.R.; Kaibyshev, R.O. Crack resistance of an alloy of the Al-Cu-Mg-Ag system. Met. Sci. Heat Treat. 2017, 59, 498–503. [Google Scholar] [CrossRef]
- Bai, S.; Liu, Z.; Li, Y.; Hou, Y.; Chen, X. Microstructures and fatigue fracture behavior of an Al-Cu-Mg-Ag alloy with addition of rare earth Er. Mater. Sci. Eng. A 2010, 527, 1806–1814. [Google Scholar] [CrossRef]
- Lumley, R.N.; O’Donnell, R.G.; Polmear, I.J.; Griffiths, J.R. Enhanced fatigue resistance by underageing an Al-Cu-Mg-Ag alloy. Mater. Forum 2005, 29, 256–261. [Google Scholar]
- Hu, Y.; Liu, Z.; Zhao, Q.; Bai, S.; Liu, F. P-texture effect on the fatigue cack propagation resistance in an Al-Cu-Mg alloy bearing a small amount of silver. Materials 2018, 11, 2481. [Google Scholar] [CrossRef] [PubMed]
- Chen, L.J.; Wang, X.; Ma, C.Y.; Che, X. Low cycle fatigue behaviour of hot extruded Al-4Mg-1Nd alloy. Mater. Sci. Technol. 2010, 26, 604–609. [Google Scholar] [CrossRef]
- Ringer, S.P.; Hono, K. NucIeation of precipitates in aged Al-Cu-Mg-(Ag) alloys with high Cu:Mg ratios. Acta Mater. 1996, 44, 1883–1898. [Google Scholar] [CrossRef]
- Bai, S.; Ying, P.; Liu, Z.; Wang, J.; Li, J. Quantitative transmission electron microscopy and atom probe tomography study of Ag-dependent precipitation of Ω phase in Al-Cu-Mg alloys. Mater. Sci. Eng. A 2017, 687, 8–16. [Google Scholar] [CrossRef]
- Ying, P.; Lin, C.; Liu, Z.; Bai, S.; Levchenko, V.; Zhang, P.; Wu, J.; Yang, T.; Huang, M.; Yang, G.; et al. Pre-aging effect on the formation of Ω phase and mechanical properties of the Al-Cu-Mg-Ag alloy. Metals 2022, 12, 1208. [Google Scholar] [CrossRef]









| Alloy | ft (%) | c | σ′f (MPa) | b | K′ (MPa) | n′ |
|---|---|---|---|---|---|---|
| Al-5Cu-0.8Mg-0.15Zr-0.2Sc | 20.89 | −1.426 | 1985.9 | −0.209 | 709.5 | 0.084 |
| Al-5Cu-0.8Mg-0.15Zr-0.2Sc-0.5Ag | 29.43 | −1.732 | 3994.2 | −0.276 | 706.2 | 0.066 |
| Alloy | ε′f (%) | c | σ′f (MPa) | b | K′ (MPa) | n′ |
|---|---|---|---|---|---|---|
| Al-5Cu-0.8Mg-0.15Zr-0.2Sc | 8.59 | −1.421 | 822.5 | −0.147 | 740.3 | 0.099 |
| Al-5Cu-0.8Mg-0.15Zr-0.2Sc-0.5Ag | 7.92 | −1.437 | 1229.3 | −0.181 | 939.8 | 0.108 |
Disclaimer/Publisher’s Note: The statements, opinions and data contained in all publications are solely those of the individual author(s) and contributor(s) and not of MDPI and/or the editor(s). MDPI and/or the editor(s) disclaim responsibility for any injury to people or property resulting from any ideas, methods, instructions or products referred to in the content. |
© 2023 by the authors. Licensee MDPI, Basel, Switzerland. This article is an open access article distributed under the terms and conditions of the Creative Commons Attribution (CC BY) license (https://creativecommons.org/licenses/by/4.0/).
Share and Cite
Wang, Y.; Chen, L.; Zhou, G.; Liu, R.; Zhang, S. Influence of 0.5% Ag Addition on Low-Cycle Fatigue Behavior of Hot-Extruded Al-5Cu-0.8Mg-0.15Zr-0.2Sc Alloy Subjected to Peak-Aging Treatment. Metals 2023, 13, 1734. https://doi.org/10.3390/met13101734
Wang Y, Chen L, Zhou G, Liu R, Zhang S. Influence of 0.5% Ag Addition on Low-Cycle Fatigue Behavior of Hot-Extruded Al-5Cu-0.8Mg-0.15Zr-0.2Sc Alloy Subjected to Peak-Aging Treatment. Metals. 2023; 13(10):1734. https://doi.org/10.3390/met13101734
Chicago/Turabian StyleWang, Ying, Lijia Chen, Ge Zhou, Ruochong Liu, and Siqian Zhang. 2023. "Influence of 0.5% Ag Addition on Low-Cycle Fatigue Behavior of Hot-Extruded Al-5Cu-0.8Mg-0.15Zr-0.2Sc Alloy Subjected to Peak-Aging Treatment" Metals 13, no. 10: 1734. https://doi.org/10.3390/met13101734
APA StyleWang, Y., Chen, L., Zhou, G., Liu, R., & Zhang, S. (2023). Influence of 0.5% Ag Addition on Low-Cycle Fatigue Behavior of Hot-Extruded Al-5Cu-0.8Mg-0.15Zr-0.2Sc Alloy Subjected to Peak-Aging Treatment. Metals, 13(10), 1734. https://doi.org/10.3390/met13101734
