Pressure Dependence of Structural and Mechanical Properties of Single-Crystal Tungsten: A Molecular Dynamics Study
Abstract
:1. Introduction
2. Model and Methods
2.1. Simulation Details
2.2. Computational Method of Elastic Modulus and Poisson’s Ratio
3. Results and Discussion
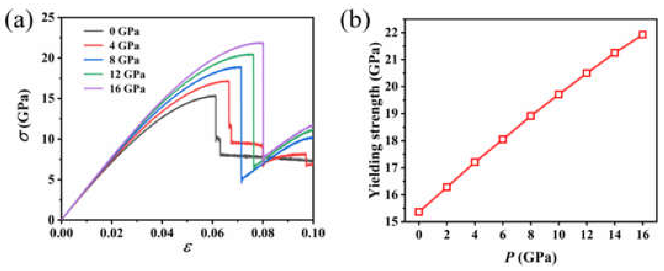
3.1. Dependence of Structural Properties on Pressure
3.2. Role of Pressure in Elastic Properties
3.3. Phase Transition during Tensile Process at Different Pressures
4. Conclusions
Author Contributions
Funding
Institutional Review Board Statement
Informed Consent Statement
Data Availability Statement
Acknowledgments
Conflicts of Interest
References
- Lassner, E.; Schubert, W.D. The Element Tungsten; Springer: New York, NY, USA, 1999; ISBN 978-1-4613-7225-7. [Google Scholar]
- Zhang, T.; Deng, H.W.; Xie, Z.M.; Liu, R.; Xie, Z.M.; Yang, J.F.; Liu, C.S.; Wang, X.P.; Fang, Q.F.; Xiong, Y. Recent progresses on designing and manufacturing of bulk refractory alloys with high performances based on controlling interfaces. J. Mater. Sci. Technol. 2020, 52, 29–62. [Google Scholar] [CrossRef]
- Rieth, M.; Doerner, R.; Hasegawa, A.; Ueda, Y.; Wirtz, M. Behavior of tungsten under irradiation and plasma interaction. J. Nucl. Mater. 2019, 519, 334–368. [Google Scholar] [CrossRef]
- Manikandan, N.; Arulkirubakaran, D.; Palanisamy, D.; Raju, R. Influence of wire-EDM textured conventional tungsten car-bide inserts in machining of aerospace materials (Ti–6Al–4V alloy). Mater. Manuf. Processes 2019, 34, 103–111. [Google Scholar] [CrossRef]
- Sonar, T.; Malarvizhi, S.; Balasubramanian, V. Influence of arc constriction current frequency on tensile properties and microstructural evolution of tungsten inert gas welded thin sheets of aerospace alloy. Trans. Nonferrous Met. Soc. China 2021, 31, 456–474. [Google Scholar] [CrossRef]
- Li, Y.; Niu, J.; Xue, T.; Duan, X.; Tian, Q.; Wen, Y.; Lu, X.; Xu, J.; Lai, L.; Chang, Y.; et al. Multifunctional Porous Nanohybrid Based on Graphene-Like Tungsten Disulfide on Poly(3,4-ethoxylenedioxythiophene) for Supercapacitor and Electrochemical Nanosensing of Quercetin. J. Electrochem. Soc. 2020, 167, 047512. [Google Scholar] [CrossRef]
- Philipps, V. Tungsten as material for plasma-facing components in fusion devices. J. Nucl. Mater. 2011, 415, S2–S9. [Google Scholar] [CrossRef]
- Emmerich, T.; Qu, D.; Vaßen, R.; Aktaa, J. Development of W-coating with functionally graded W/EUROFER-layers for protection of First-Wall materials. Fusion Eng. Des. 2018, 128, 58–67. [Google Scholar] [CrossRef] [Green Version]
- Yang, X.; Qiu, W.; Chen, L.; Tang, J. Tungsten–potassium: A promising plasma-facing material. Tungsten 2019, 1, 141–158. [Google Scholar] [CrossRef] [Green Version]
- Heuer, S.; Coenen, J.W.; Pintsuk, G.; Matějíček, J.; Vilémová, M.; Linsmeier, C. Overview of challenges and developments in joining tungsten and steel for future fusion reactors. Phys. Scr. 2020, T171, 014028. [Google Scholar] [CrossRef]
- Jiang, D.; Zhong, S.; Xiao, W.; Liu, D.; Wu, M.; Liu, S. Structural, mechanical, electronic, and thermodynamic properties of pure tungsten metal under different pressures: A first-principles study. Int. J. Quantum. Chem. 2020, 120, e26231. [Google Scholar] [CrossRef]
- Yan, J.; Doran, A.; MacDowell, A.A.; Kalkan, B. A tungsten external heater for BX90 diamond anvil cells with a range up to 1700 K. Rev. Sci. Instrum. 2021, 92, 013903. [Google Scholar] [CrossRef]
- Dewaele, A.; Loubeyre, P.; Mezouar, M. Equations of state of six metals above94GPa. Phys. Rev. B 2004, 70, 094112. [Google Scholar] [CrossRef] [Green Version]
- Katahara, K.W.; Manghnani, M.H.; Fisher, E.S. Pressure derivatives of the elastic moduli of BCC Ti-V-Cr, Nb-Mo and Ta-W alloys. J. Phys. F Met. Phys. 1979, 9, 773–790. [Google Scholar] [CrossRef]
- Qi, X.; Cai, N.; Chen, T.; Wang, S.; Li, B. Experimental and theoretical studies on the elasticity of tungsten to 13 GPa. J. Appl. Phys. 2018, 124, 075902. [Google Scholar] [CrossRef]
- Koči, L.; Ma, Y.; Oganov, A.R.; Souvatzis, P.; Ahuja, R. Elasticity of the superconducting metals V, Nb, Ta, Mo, and W at high pressure. Phys. Rev. B 2008, 77, 214101. [Google Scholar] [CrossRef] [Green Version]
- Vekilov, Y.K.; Krasilnikov, O.M.; Lugovskoy, A.V.; Lozovik, Y.E. Higher-order elastic constants and megabar pressure effects of bcc tungsten: Ab initio calculations. Phys. Rev. B 2016, 94, 104114. [Google Scholar] [CrossRef]
- Ma, B.; Rao, Q.; He, Y. Molecular dynamics simulation of temperature effect on tensile mechanical properties of single crystal tungsten nanowire. Comput. Mater. Sci. 2016, 117, 40–44. [Google Scholar] [CrossRef]
- Chang, H.; Huang, Z.; Wen, S.; Chen, J.M.; Liu, X.; Pan, M.; Zhao, Y. The influence of crystal defects on the elastic properties of tungsten metals. Fusion Eng. Des. 2016, 109–111, 321–325. [Google Scholar] [CrossRef]
- Kobayashi, R.; Hattori, T.; Tamura, T.; Ogata, S. A molecular dynamics study on bubble growth in tungsten under helium irradiation. J. Nucl. Mater. 2015, 463, 1071–1074. [Google Scholar] [CrossRef]
- Weerasinghe, A.; Wirth, B.D.; Maroudas, D. Elastic Properties of Plasma-Exposed Tungsten Predicted by Molecular-Dynamics Simulations. ACS Appl. Mater. Interfaces 2020, 12, 22287–22297. [Google Scholar] [CrossRef]
- Plimpton, S. Fast Parallel Algorithms for Short-Range Molecular Dynamics. J. Comput. Phys. 1995, 117, 1–19. [Google Scholar] [CrossRef] [Green Version]
- Zhou, X.W.; Wadley, H.N.G.; Johnson, R.A.; Larson, D.J.; Tabat, N.; Cerezo, A.; Petford-Long, A.K.; Smith, G.D.W.; Clifton, P.H.; Martens, R.L.; et al. Atomic scale structure of sputtered metal multilayers. Acta Mater. 2001, 49, 4005–4015. [Google Scholar] [CrossRef]
- Stukowski, A. Visualization and analysis of atomistic simulation data with OVITO–the Open Visualization Tool. Model. Simul. Mater. Sci. Eng. 2010, 18, 015012. [Google Scholar] [CrossRef]
- Nielsen, O.H.; Martin, R.M. Quantum-mechanical theory of stress and force. Phys. Rev. B 1985, 32, 3780–3791. [Google Scholar] [CrossRef] [PubMed]
- Wang, W.H. Correlation between relaxations and plastic deformation, and elastic model of flow in metallic glasses and glass-forming liquids. J. Appl. Phys. 2011, 110, 053521. [Google Scholar]
- Pugh, S.F. XCII. Relations between the elastic moduli and the plastic properties of polycrystalline pure metals. Lond. Edinb. Dublin Philos. Mag. J. Sci. 1954, 45, 823–843. [Google Scholar] [CrossRef]
- Li, W.-B.; Li, K.; Fan, K.-Q.; Zhang, D.-X.; Wang, W.-D. Temperature and pressure dependences of the elastic properties of tantalum single crystals under <100> tensile loading: A molecular dynamics study. Nanoscale Res. Lett. 2018, 13, 118. [Google Scholar] [CrossRef]
- Babicheva, R.I.; Bukreeva, K.A.; Dmitriev, S.V.; Zhou, K. Discontinuous elastic strain observed during stretching of NiAl single crystal nanofilms. Comput. Mater. Sci. 2013, 79, 52–55. [Google Scholar] [CrossRef]
- Sutrakar, V.K.; Mahapatra, D.R. Asymmetry in structural and thermo-mechanical behavior of intermetallic NiAl nanowire under tensile/compressive loading: A molecular dynamics study. Intermetallics 2010, 18, 1565–1571. [Google Scholar] [CrossRef]









| Box Sizes (nm) | Young’s Modulus (GPa) | Shear Modulus (GPa) | Bulk Modulus (GPa) | Poisson’s Ratio |
|---|---|---|---|---|
| 20 a × 20 a × 20 a | 388.86 | 173.02 | 339.52 | 0.3024 |
| 25 a × 25 a × 25 a | 388.78 | 172.85 | 339.73 | 0.3160 |
| 30 a × 30 a × 30 a | 388.65 | 173.02 | 339.10 | 0.3088 |
| 35 a × 35 a × 35 a | 388.70 | 172.50 | 338.94 | 0.3140 |
| Strain Rates (s−1) | Young’s Modulus (GPa) | Shear Modulus (GPa) | Poisson’s Ratio |
|---|---|---|---|
| 1 × 107 | 388.86 | 173.02 | 0.3024 |
| 5 × 107 | 388.68 | 172.51 | 0.3159 |
| 10 × 107 | 388.60 | 173.45 | 0.3079 |
| 15 × 107 | 388.76 | 172.69 | 0.3084 |
Publisher’s Note: MDPI stays neutral with regard to jurisdictional claims in published maps and institutional affiliations. |
© 2021 by the authors. Licensee MDPI, Basel, Switzerland. This article is an open access article distributed under the terms and conditions of the Creative Commons Attribution (CC BY) license (https://creativecommons.org/licenses/by/4.0/).
Share and Cite
Liu, X.; Xu, K.; Zhai, H. Pressure Dependence of Structural and Mechanical Properties of Single-Crystal Tungsten: A Molecular Dynamics Study. Metals 2021, 11, 1898. https://doi.org/10.3390/met11121898
Liu X, Xu K, Zhai H. Pressure Dependence of Structural and Mechanical Properties of Single-Crystal Tungsten: A Molecular Dynamics Study. Metals. 2021; 11(12):1898. https://doi.org/10.3390/met11121898
Chicago/Turabian StyleLiu, Xuepeng, Kezhong Xu, and Hua Zhai. 2021. "Pressure Dependence of Structural and Mechanical Properties of Single-Crystal Tungsten: A Molecular Dynamics Study" Metals 11, no. 12: 1898. https://doi.org/10.3390/met11121898
APA StyleLiu, X., Xu, K., & Zhai, H. (2021). Pressure Dependence of Structural and Mechanical Properties of Single-Crystal Tungsten: A Molecular Dynamics Study. Metals, 11(12), 1898. https://doi.org/10.3390/met11121898

