Formation and Properties of Nitrocarburizing S-Phase on AISI 316L Stainless Steel-Based WC Composite Layers by Low-Temperature Plasma Nitriding
Abstract
:1. Introduction
2. Experiments
3. Results and Discussion
3.1. Carbide Formation of AISI 316 L Stainless Steel with WC Particles during Laser Cladding
3.2. Formation Mechanism of Nitrocarburizing S-Phase by Plasma Nitriding
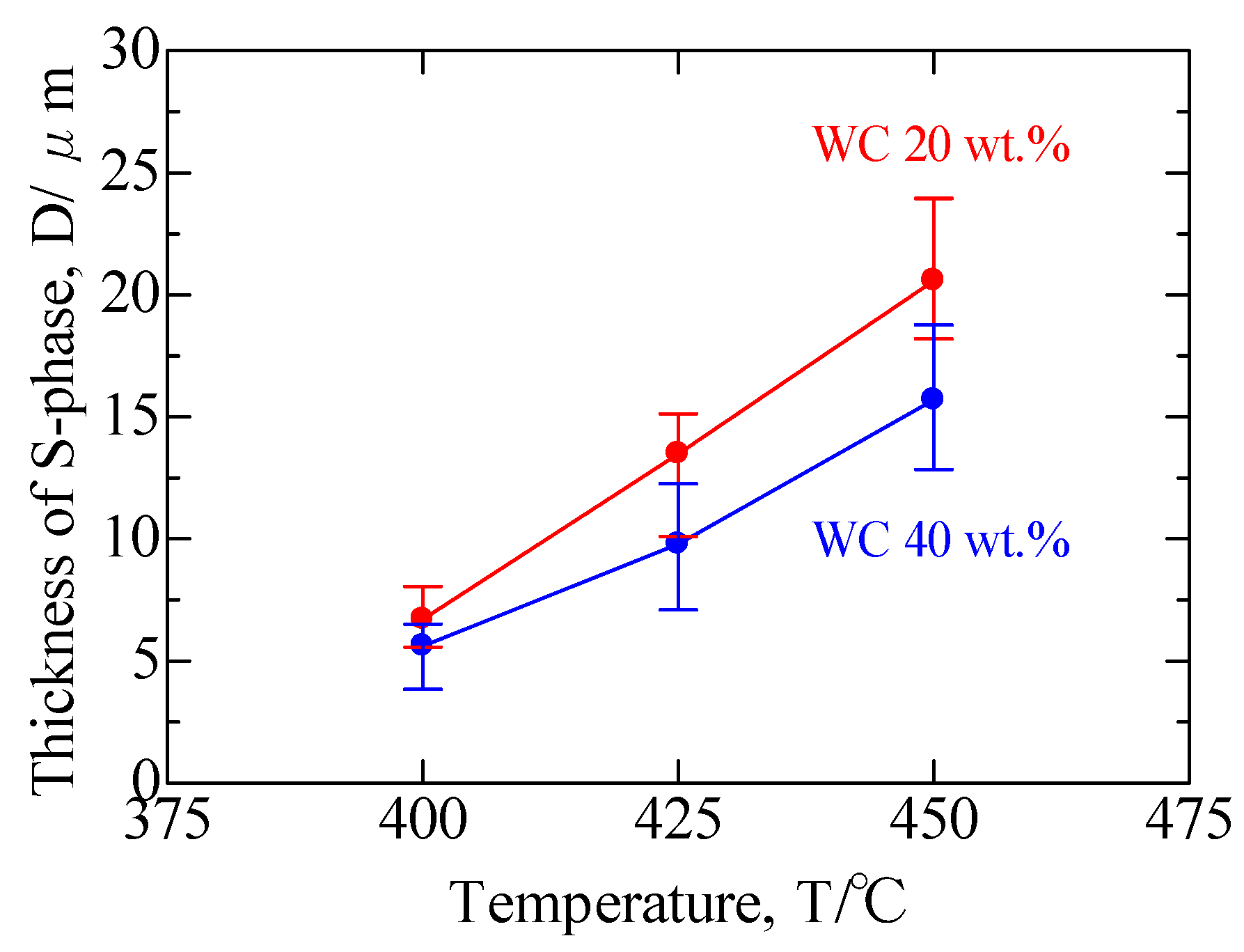
3.3. Effects of WC Content on Thickness of Nitrocarburizing S-Phase
3.4. Hardness Depth Profiles and Vickers Hardness of Nitrocarburizing S-Phase
3.5. Corrosion Resistance of Nitrocarburizing S-Phase
3.6. Summary and Perspectives
4. Conclusions
- W2C, M6C, and M12C were synthesized in the as-deposited layers during the laser cladding process because the WC particles decomposed and reacted with the AISI 316 L steel matrix. The AISI 316 L steel matrix became a dendritic structure, and secondary carbides were distributed in a network. In addition, tungsten was dissolved in the austenite of the steel matrix;
- Free carbon was also produced during the laser cladding process. By low-temperature plasma nitriding, this free carbon was pushed inward by the diffused nitrogen, forming a carburizing S-phase. Consequently, the S-phase became a dual layer, the nitriding layer sited at the outside, and the carburizing layer at the inside;
- Owing to the nitrocarburizing, the thickness of the S-phase was greater than that of the single AISI 316 L steel layer without WC. In the WC 40 wt.% layers, secondary carbides densely precipitated, and the grain size was small, which would prevent the nitrogen diffusion. As a result, the WC 20 wt.% layers had thick S-phase compared with the WC 40 wt.% layers;
- The Vickers hardness of the surfaces was improved to the range of 1200 to 1400 HV by low-temperature plasma nitriding. This hardness was almost the same as that of the S-phase on the single AISI 316 L steel layer without WC. The WC 40 wt.% layers were of a low hardness compared with the WC 20 wt.% layers, because the many secondary carbides with a low hardness were present. Meanwhile, the hardness depth profiles were improved to gradually decrease in the depth direction by the nitrocarburizing S-phase. This is expected to enhance the wear resistance and prevent the delamination of the S-phase layer from the substrate;
- The corrosion resistance of the as-deposited layers was degraded due to the WC particle composite. In contrast, the nitrided layers exhibited a low current density, and those surfaces after the anodic polarization measurements showed a slight color change, with no major damage such as pitting corrosion. Accordingly, low-temperature plasma nitriding of the WC composite layers improved the corrosion resistance to a generally excellent degree. The corrosion current density of the 40 wt.% layers was higher than that of the WC 20 wt.% layers because containing more secondary carbides and CrN.
Author Contributions
Funding
Conflicts of Interest
References
- Desale, G.R.; Paul, C.P.; Gandhi, B.K.; Jain, S.C. Erosion wear behavior of laser clad surfaces of low carbon austenitic steel. Wear 2009, 266, 975–987. [Google Scholar] [CrossRef]
- Bandyopadhyay, A.; Zhang, Y.; Bose, S. Recent developments in metal additive manufacturing. Curr. Opin. Chem. Eng. 2020, 28, 96–104. [Google Scholar] [CrossRef] [PubMed]
- DebRoy, T.; Wei, H.L.; Zuback, J.S.; Mukherjee, T.; Elmer, J.W.; Milewski, J.O.; Beese, A.M.; Wilson-Heid, A.; De, A.; Zhang, W. Additive manufacturing of metallic components—Process, structure and properties. Prog. Mater. Sci. 2018, 92, 112–224. [Google Scholar] [CrossRef]
- Smelov, V.G.; Sotov, A.V.; Murzin, S.P. Particularly selective sintering of metal powders by pulsed laser radiation. Key Eng. Mater. 2016, 685, 403–407. [Google Scholar] [CrossRef]
- Toyserkani, E.; Khajepour, A.; Corbin, S. 3-D finite element modeling of laser cladding by powder injection: Effects of laser pulse shaping on the process. Opt. Lasers Eng. 2004, 41, 849–867. [Google Scholar] [CrossRef]
- El Cheikh, H.; Courant, B.; Branchu, S.; Huang, X.; Hascot, J.Y.; Guillen, R. Direct Laser Fabrication process with coaxial powder projection of 316L steel. Geometrical characteristics and microstructure characterization of wall structure. Opt. Lasers Eng. 2012, 50, 1779–1784. [Google Scholar] [CrossRef] [Green Version]
- Thompson, S.M.; Bian, L.; Shamsaei, N.; Yadollahi, A. An overview of Direct Laser Deposition for additive manufacturing; Part I: Transport phenomena, modeling and diagnostics. Addit. Manuf. 2015, 8, 36–62. [Google Scholar] [CrossRef]
- Moradi, M.; Ashoori, A.; Hasani, A. Additive manufacturing of stellite 6 superalloy by direct laser metal deposition—Part 1: Effects of laser power and focal plane position. Opt. Laser Technol. 2020, 131, 106328. [Google Scholar] [CrossRef]
- Zhu, L.; Xue, P.; Lan, Q.; Meng, G.; Ren, Y.; Yang, Z.; Xu, P.; Liu, Z. Recent research and development status of laser cladding: A review. Opt. Laser Technol. 2021, 138, 106915. [Google Scholar] [CrossRef]
- Majumdar, J.D.; Pinkerton, A.; Liu, Z.; Manna, I.; Li, L. Mechanical and electrochemical properties of multiple-layer diode laser cladding of 316L stainless steel. Appl. Surf. Sci. 2005, 247, 373–377. [Google Scholar] [CrossRef] [Green Version]
- Bartkowski, D.; Młynarczak, A.; Piasecki, A.; Dudziak, B.; Gościański, M.; Bartkowska, A. Microstructure, microhardness and corrosion resistance of Stellite-6 coatings reinforced with WC particles using laser cladding. Opt. Laser Technol. 2015, 68, 191–201. [Google Scholar] [CrossRef]
- Guo, C.; Zhou, J.; Chen, J.; Zhao, J.; Yu, Y.; Zhou, H. High temperature wear resistance of laser cladding NiCrBSi and NiCrBSi/WC-Ni composite coating. Wear 2011, 270, 492–498. [Google Scholar] [CrossRef]
- Zhou, S.; Dai, X.; Zheng, H. Microstructure and wear resistance of Fe-based WC coating by multi-track over lapping laser induction hybrid rapid cladding. Opt. Laser Technol. 2012, 44, 190–197. [Google Scholar] [CrossRef]
- Mertens, A.; L’Hoest, T.; Magnien, J.; Carrus, R.; Lecomte-Beckers, J. On the elaboration of metal-ceramic composite coatings by laser cladding. Mater. Sci. Forum 2017, 879, 1288–1293. [Google Scholar] [CrossRef]
- Mertens, A.I.; Lecomte-Beckers, J. On the role of interfacial reactions, dissolution and secondary precipitation during the laser additive manufacturing of metal matrix composites: A review. New Trends 3D Print. 2016, 187–213. [Google Scholar] [CrossRef] [Green Version]
- Wang, Z.; Tan, M.; Wang, J.; Zeng, J.; Zhao, F.; Xiao, X.; Xu, S.; Liu, B.; Gong, L.; Sui, Q.; et al. Core-shell structural iron based metal matrix composite powder for laser cladding. J. Alloys Compd. 2021, 878, 160127. [Google Scholar] [CrossRef]
- Xiao, Q.; Sun, W.; Yang, K.; Xing, X.; Chen, Z.; Zhou, H.; Lu, J. Wear mechanisms and micro-evaluation on WC particles investigation of WC-Fe composite coatings fabricated by laser cladding. Surf. Coat. Technol. 2021, 420, 127341. [Google Scholar] [CrossRef]
- Majumdar, J.D.; Kumar, A.; Li, L. Direct laser cladding of SiC dispersed AISI 316L stainless steel. Tribol. Int. 2009, 42, 750–753. [Google Scholar] [CrossRef]
- Wu, C.L.; Zhang, S.; Zhang, C.H.; Zhang, J.B.; Liu, Y. Formation mechanism and phase evolution of in situ synthesizing TiC-reinforced 316L stainless steel matrix composites by laser melting deposition. Mater. Lett. 2018, 217, 304–307. [Google Scholar] [CrossRef]
- Pejakovic, V.; Berger, L.M.; Thiele, S.; Rojacz, H.; Ripoll, M.R. Fine grained titanium carbonitride reinforcements for laser deposition processes of 316L boost tribocorrosion resistance in marine environments. Mater. Des. 2021, 207, 109847. [Google Scholar] [CrossRef]
- Fetni, S.; Enrici, T.M.; Niccolini, T.; Tran, S.H.; Dedry, O.; Jardin, R.; Duchene, L.; Mertens, A.; Habraken, A.M. 2D thermal finite element analysis of laser cladding of 316L + WC composite coatings. Procedia Manuf. 2020, 50, 86–92. [Google Scholar] [CrossRef]
- Enrici, T.M.; Dedry, O.; Boschini, F.; Tchuindjang, J.T.; Mertens, A. Microstructural and thermal characterization of 316L + WC composite coatings obtained by laser cladding. Adv. Eng. Mater. 2020, 22, 2000291. [Google Scholar] [CrossRef]
- Fetni, S.; Enrici, T.M.; Niccolini, T. Thermal model for the directed energy deposition of composite coatings of 316L stainless steel enriched with tungsten carbides. Mater. Des. 2021, 204, 109661. [Google Scholar] [CrossRef]
- Lu, J.Z.; Caa, J.; Lu, H.F.; Zhang, L.Y.; Luo, K.Y. Wear properties and microstructural analyses of Fe-based coatings with various WC contents on H13 die steel by laser cladding. Surf. Coat. Technol. 2019, 369, 228–237. [Google Scholar] [CrossRef]
- Bartkowski, D.; Bartkowska, A.; Jurci, P. Laser cladding process of Fe/WC metal matrix composite coatings on low carbon steel using Yb: YAG disk laser. Opt. Laser Technol. 2021, 136, 106784. [Google Scholar] [CrossRef]
- Wang, J.; Li, L.; Tao, W. Crack initiation and propagation behavior of WC particles reinforced Fe-based metal matrix composite produced by laser melting deposition. Opt. Laser Technol. 2016, 82, 170–182. [Google Scholar] [CrossRef]
- Adachi, S.; Ueda, N. Formation of S-phase layer on plasma sprayed AISI 316L stainless steel coating by plasma nitriding at low temperature. Thin Solid Films 2012, 523, 11–14. [Google Scholar] [CrossRef]
- Adachi, S.; Ueda, N. Surface hardness improvement of plasma-sprayed AISI 316L stainless steel coating by low-temperature plasma carburizing. Adv. Powder Technol. 2013, 24, 818–823. [Google Scholar] [CrossRef]
- Adachi, S.; Ueda, N. Formation of expanded austenite on a cold-sprayed AISI 316L coating by low-temperature plasma nitriding. J. Therm. Spray Technol. 2015, 24, 1399–1407. [Google Scholar] [CrossRef]
- Adachi, S.; Egawa, M.; Yamaguchi, T.; Ueda, N. Low-temperature plasma nitriding for austenitic stainless steel layers with various nickel contents fabricated via direct laser metal deposition. Coatings 2020, 10, 365. [Google Scholar] [CrossRef] [Green Version]
- Borgioli, F. From austenitic stainless steel to expanded austenite-S phase: Formation, characteristics and properties of an elusive metastable phase. Metals 2020, 10, 187. [Google Scholar] [CrossRef] [Green Version]
- Borgioli, F.; Galvanetto, E.; Bacci, T. Corrosion behaviour of low temperature nitrided nickel-free, AISI 200 and AISI 300 series austenitic stainless steels in NaCl solution. Corros. Sci. 2018, 136, 352–365. [Google Scholar] [CrossRef]
- Huang, Z.; Guo, Z.X.; Liu, L.; Guo, Y.Y.; Chen, J.; Zhang, Z.; Li, J.L.; Li, Y.; Zhou, Y.W.; Liang, Y.S. Structure and corrosion behavior of ultra-thick nitrided layer produced by plasma nitriding of austenitic stainless steel. Surf. Coat. Technol. 2021, 405, 126689. [Google Scholar] [CrossRef]
- Liu, H.Y.; Che, H.L.; Li, G.B.; Lei, M.K. Low-pressure hollow cathode plasma source carburizing technique at low temperature. Surf. Coat. Technol. 2021, 422, 127511. [Google Scholar] [CrossRef]
- Li, L.; Yan, J.; Xiao, J.; Sun, L.; Fan, H.; Wang, J. A comparative study of corrosion behavior of S-phase with AISI 304 austenitic stainless steel in H2S/CO2/Cl- media. Corros. Sci. 2021, 187, 109472. [Google Scholar] [CrossRef]
- Sun, Y. Hybrid plasma surface alloying of austenitic stainless steels with nitrogen and carbon. Mater. Sci. Eng. A 2005, 404, 124–129. [Google Scholar] [CrossRef]
- Adachi, S.; Ueda, N. Combined plasma carburizing and nitriding of sprayed AISI 316L steel coating for improved wear resistance. Surf. Coat. Technol. 2014, 259, 44–49. [Google Scholar] [CrossRef]
- Adachi, S.; Ueda, N. Wear and corrosion properties of cold-sprayed AISI 316L coatings treated by combined plasma carburizing and nitriding at low temperature. Coatings 2018, 8, 456. [Google Scholar] [CrossRef] [Green Version]
- Fernandes, F.A.P.; Casteletti, L.C.; Gallego, J. Microstructure of nitrided and nitrocarburized layers produced on a superaustenitic stainless steel. J. Mater. Res. Technol. 2013, 2, 158–164. [Google Scholar] [CrossRef] [Green Version]
- Menthe, E.; Rie, K.-T.; Schultze, J.W.; Simson, S. Structure and properties of plasma-nitrided stainless steel. Surf. Coat. Technol. 1995, 74, 412–416. [Google Scholar] [CrossRef]
- Buhagiar, J.; Li, X.; Dong, H. Formation and microstructural characterisation of S-phase layers in Ni-free austenitic stainless steels by low-temperature plasma surface alloying. Surf. Coat. Technol. 2009, 204, 330–335. [Google Scholar] [CrossRef]
- Wydorska, K.M.; Kabulska, F.I.; Flis, J. Corrosion of low-temperature nitrided molybdenum-bearing stainless steels. Corros. Sci. 2011, 53, 1762–1769. [Google Scholar] [CrossRef]
- Lee, E.S.; Park, W.J.; Jung, J.Y.; Ahn, S. Solidification microstructure and M2C carbide decomposition in a spray-formed high-speed steel. Metall. Mater. Trans. A 1998, 29, 1395–1404. [Google Scholar] [CrossRef]
- Zhou, S.; Xu, T.; Hu, C.; Wu, H.; Liu, H.; Ma, X. A comparative study of tungsten carbide and carbon nanotubes reinforced Inconel 625 composite coatings fabricated by laser cladding. Opt. Laser Technol. 2021, 140, 106967. [Google Scholar] [CrossRef]
- Bergstrom, M. The eta-carbides in the quaternary system Fe-W-C-Cr at 1250 °C. Mater. Sci. Eng. 1977, 27, 271–286. [Google Scholar] [CrossRef]
- Moller, W.; Parascandola, S.; Telbizova, T.; Gunzel, R.; Richter, E. Surface processes and diffusion mechanisms of ion nitriding of stainless steel and aluminium. Surf. Coat. Technol. 2001, 136, 73–79. [Google Scholar] [CrossRef]
- Riviere, J.P.; Meheust, P.; Villain, J.P.; Templier, C.; Cahoreau, M.; Abrasonis, G.; Pranevicius, L. High current density nitrogen implantation of an austenitic stainless steel. Surf. Coat. Technol. 2002, 158–159, 99–104. [Google Scholar] [CrossRef]
- Czerwiec, T.; Andrieux, A.; Marcos, G.; Michel, H.; Bauer, P. Is “expanded austenite” really a solid solution? Mossbauer observation of an annealed AISI 316L nitrided sample. J. Alloys Compd. 2019, 811, 151972–151983. [Google Scholar] [CrossRef]
- Martínez, S.; Lamikiz, A.; Ukar, E.; Calleja, A.; Arrizubieta, J.A.; Lopez de Lacalle, L.N. Analysis of the regimes in the scanner-based laser hardening process. Opt Lasers Eng. 2017, 90, 72–80. [Google Scholar] [CrossRef]
- Sun, Y.; Haruman, E. Effect of carbon addition on low-temperature plasma nitriding characteristics of austenitic stainless steel. Vacuum 2006, 81, 114–119. [Google Scholar] [CrossRef]
- Okamoto, H. The effect of tungsten and molybdenum on the perfomance of super duplex stainless steels. In Proceedings of the Applications of Stainless Steel ’92 Conference, Stockholm, Sweden, 9–11 June 1992; Volume 1, pp. 360–369. [Google Scholar]
- Langberg, M.; Ornek, C.; Zhang, F.; Cheng, J.; Liu, M.; Granas, E.; Wiemann, C.; Gloskovskii, A.; Matveyev, Y.; Kulkarni, S. Characterization of native oxide and passive film on Austenite/Ferrite phases of duplex stainless steel using synchrotron HAXPEEM. J. Electrochem. Soc. 2019, 166, C3336–C3340. [Google Scholar] [CrossRef]
- Godec, M.; Donik, Č.; Kocijan, A.; Podgornik, B.; Skobir Balantič, D.A. Effect of post-treated low-temperature plasma nitriding on the wear and corrosion resistance of 316L stainless steel manufactured by laser powder-bed fusion. Addit. Manuf. 2020, 32, 101000–101008. [Google Scholar] [CrossRef]
- Dai, S.; Zuo, D.; Fang, C.; Zhu, L.; Cheng, H.; Gao, Y.-X.; Li, W.-W. Characteration of laser cladded Fe-Mn-Cr alloy coat ings modied by plasma nitriding. Mater. Trans. 2016, 57, 539–543. [Google Scholar] [CrossRef] [Green Version]
- Hong, Y.; Dong, D.D.; Lin, S.S.; Wang, W.C.; Tang, M.; Kuang, T.C.; Dai, M.J. Improving surface mechanical properties of the selective laser melted 18Ni300 maraging steel via plasma nitriding. Surf. Coat. Technol. 2021, 406, 126675. [Google Scholar] [CrossRef]
- Li, B.; Zhu, H.; Qiu, C.; Gong, X. Laser cladding and in-situ nitriding of martensitic stainless steel coating with striking performance. Mater. Lett. 2020, 259, 126829. [Google Scholar] [CrossRef]










Publisher’s Note: MDPI stays neutral with regard to jurisdictional claims in published maps and institutional affiliations. |
© 2021 by the authors. Licensee MDPI, Basel, Switzerland. This article is an open access article distributed under the terms and conditions of the Creative Commons Attribution (CC BY) license (https://creativecommons.org/licenses/by/4.0/).
Share and Cite
Adachi, S.; Yamaguchi, T.; Ueda, N. Formation and Properties of Nitrocarburizing S-Phase on AISI 316L Stainless Steel-Based WC Composite Layers by Low-Temperature Plasma Nitriding. Metals 2021, 11, 1538. https://doi.org/10.3390/met11101538
Adachi S, Yamaguchi T, Ueda N. Formation and Properties of Nitrocarburizing S-Phase on AISI 316L Stainless Steel-Based WC Composite Layers by Low-Temperature Plasma Nitriding. Metals. 2021; 11(10):1538. https://doi.org/10.3390/met11101538
Chicago/Turabian StyleAdachi, Shinichiro, Takuto Yamaguchi, and Nobuhiro Ueda. 2021. "Formation and Properties of Nitrocarburizing S-Phase on AISI 316L Stainless Steel-Based WC Composite Layers by Low-Temperature Plasma Nitriding" Metals 11, no. 10: 1538. https://doi.org/10.3390/met11101538
APA StyleAdachi, S., Yamaguchi, T., & Ueda, N. (2021). Formation and Properties of Nitrocarburizing S-Phase on AISI 316L Stainless Steel-Based WC Composite Layers by Low-Temperature Plasma Nitriding. Metals, 11(10), 1538. https://doi.org/10.3390/met11101538

