Bidirectional Response of Weak-Axis End-plate Moment Connections: Numerical Approach
Abstract
1. Introduction
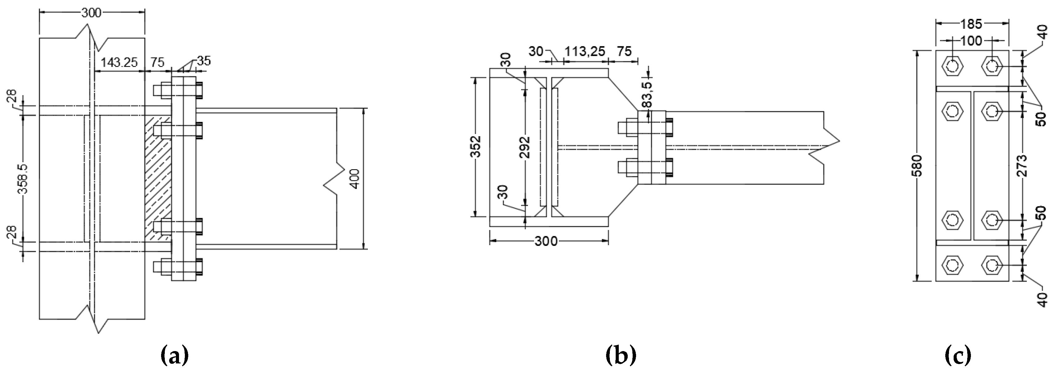
2. Weak-Axis Moment Connection Design
3. Numerical Study
4. Analysis of Results
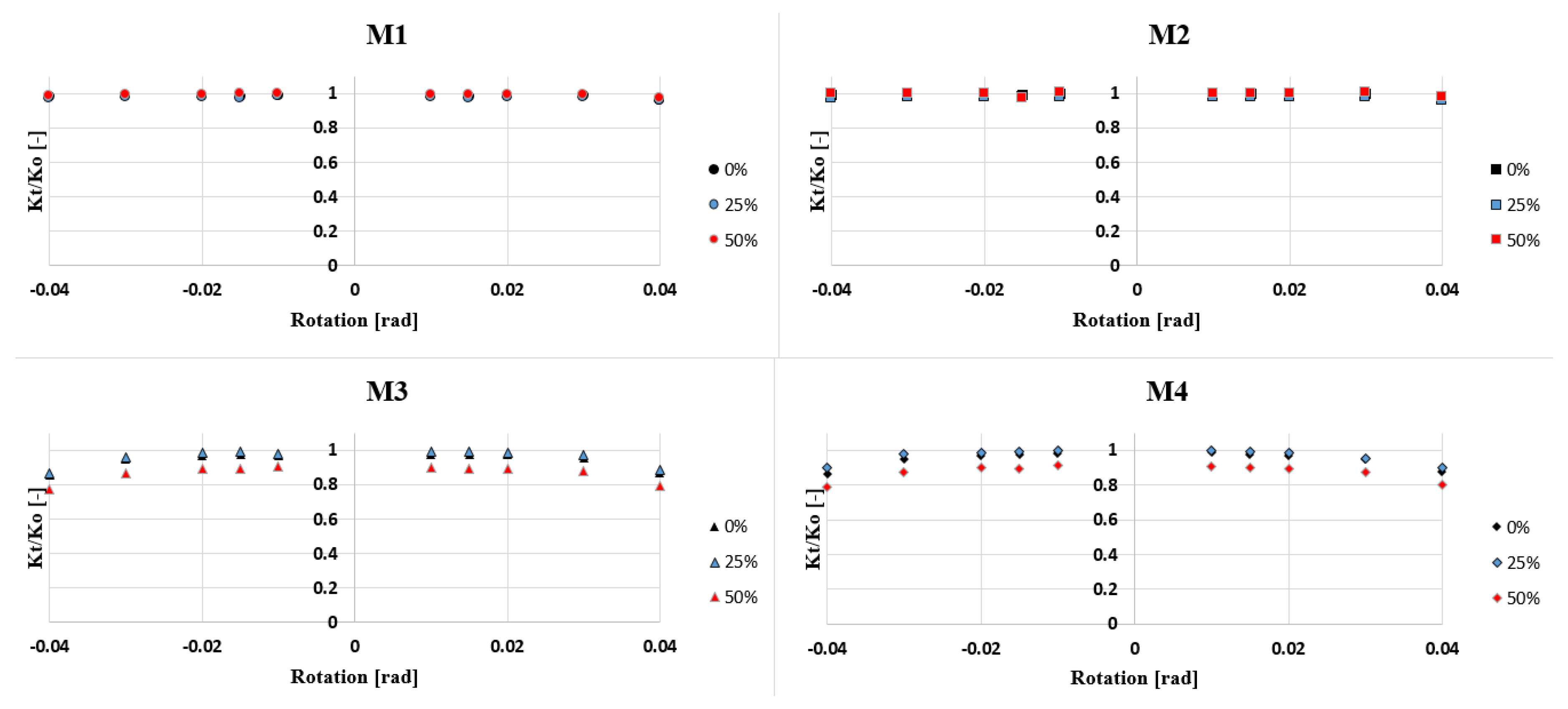
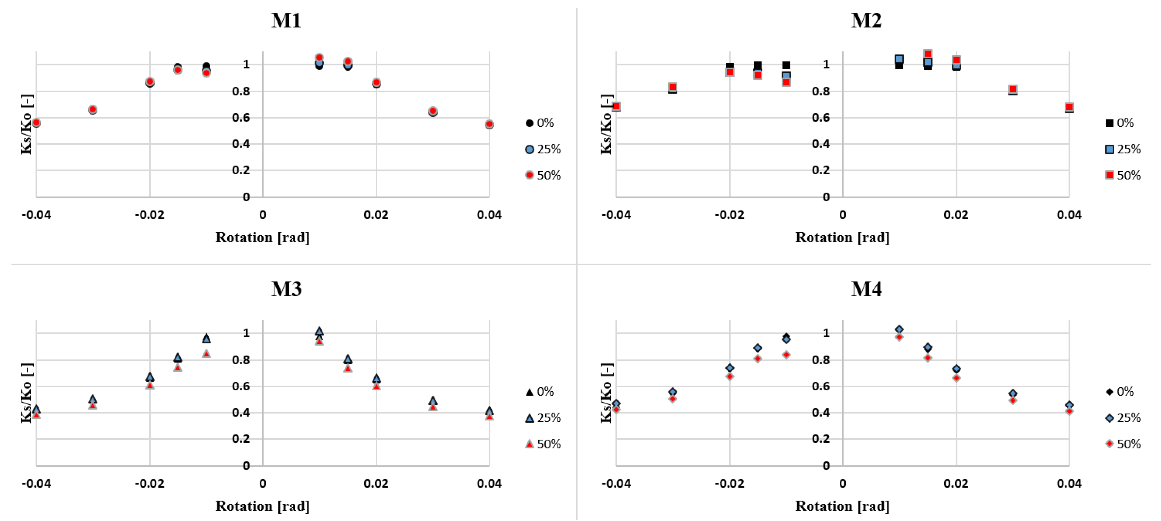
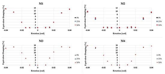
4.1. Seismic Assessment
4.2. Hysteretic Behavior
4.3. Failure Mechanism
5. Conclusions
Author Contributions
Funding
Conflicts of Interest
References
- ANSI/AISC 358-16. Prequalified Connections for Special and Intermediate Steel Moment Frames for Seismic Applications; American Institute of Steel Construction: Chicago, IL, USA, 2016. [Google Scholar]
- ANSI/AISC 341-16. Seismic Provisions for Structural Steel Buildings; American Institute of Steel Construction: Chicago, IL, USA, 2016. [Google Scholar]
- Wang, Y.Y. Lessons learned from the “5.12” Wenchuan earthquake: Evaluation of earthquake performance objectives and the importance of seismic conceptual design principles. Earthq. Eng. Eng. Vib. 2008, 7, 255–262. [Google Scholar] [CrossRef]
- Gilton, C.S.; Uang, C.M. Cyclic Response and Design Recommendations of Weak-Axis Reduced Beam Section Moment Connections. J. Struct. Eng. 2002, 128, 452–463. [Google Scholar] [CrossRef]
- Sang-Dae, K.; Sang-Seup, K.; Young, J. Strength evaluation of beam–column connection in the weak axis of H-shaped column. Eng. Struct. 2008, 30, 1699–1710. [Google Scholar]
- Cheng, X.; Chen, Y.; Nethercot, D. Experimental study on H-shaped steel beam-columns with large width-thickness ratios under cyclic bending about weak-axis. Eng. Struct. 2013, 49, 264–274. [Google Scholar] [CrossRef]
- Shim, H.; Lee, E.; Kim, S.-B.; Kim, S.-S. Development and performance evaluation of weak-axis column bending connections for advanced constructability. J. Steel Struct. 2014, 14, 369–380. [Google Scholar] [CrossRef]
- Oh, K.; Lee, K.; Cheng, L.; Hong, S.; Yang, Y. Seismic performance evaluation of weak axis column-tree moment connections with reduced beam section. J. Constr. Steel Res. 2015, 105, 28–38. [Google Scholar] [CrossRef]
- Lim, W.; You, Y. Seismic performance of Beam-to-column Weak-axis moment connection of small-size steel structures. J. Korean Soc. of Steel Constr. 2017, 29, 169–180. [Google Scholar] [CrossRef]
- Yinglu, L.; Zheng, H. Investigation of composite action on seismic performance of weak-axis column bending connections. J. Constr. Steel Res. 2017, 129, 286–300. [Google Scholar]
- Shi, Q.; Yan, S.; Kong, L.; Bu, X.; Wang, X.; Sun, H. Seismic behavior of semi-rigid steel joints-Major axis T-stub and minor axis end-plate. J. Constr. Steel Res. 2019, 159, 476–492. [Google Scholar] [CrossRef]
- ANSYS Multiphysics 17.2; ANSYS Inc.: Canonsburg, PA, USA, 2017.
- Nuñez, E.; Torres, R.; Herrera, R. Seismic performance of moment connections in steel moment frames with HSS columns. Steel Compos. Struct. 2017, 25, 271–286. [Google Scholar]
- Moura, P.; Carvalho, H.; Figueiredo, L.; Aires, P.; Bártolo, R. Unitary model for the analysis of bolted connections using the finite element method. Eng. Fail. Anal. 2019, 104, 308–320. [Google Scholar]
- Díaz, C.; Victoria, M.; Martí, P.; Querin, O.M. FE model of beam-to-column extended end-plate joints. J. Constr. Steel Res. 2011, 67, 1578–1590. [Google Scholar] [CrossRef]
- Kim, T.S.; Kuwamura, H. Finite element modeling of bolted connections in thin-walled stainless steel plates under static shear. Thin Walled Struct. 2007, 45, 407–421. [Google Scholar] [CrossRef]
- D’Aniello, M.; Cassiano, D.; Landolfo, R. Simplified criteria for finite element modelling of European preloadable bolts. Steel and Composite Structures. Int. J. 2017, 24, 643–658. [Google Scholar]
- Herrera, R.; Salas, C.; Beltran, J.; Nuñez, E. Experimental performance of double built-up T moment connections under cyclic loading. J. Constr. Steel Res. 2017, 138, 742–749. [Google Scholar] [CrossRef]
- Yang, C.; Yang, J.F.; Su, M.S.; Liu, C.Z. Numerical study on seismic behaviors of ConXL biaxial moment connection. J. Constr. Steel Res. 2016, 121, 185–201. [Google Scholar] [CrossRef]
- Chopra, A.K. Dynamics of Structures: Theory and Applications to Earthquake Engineering; Prentice-Hall: Englewood Cliffs, NJ, USA, 2007. [Google Scholar]
- Lu, L.; Xu, Y.; Lim, J. Mechanical performance of a new I-section weak-axis column bending connection. Steel Compos. Struct. 2018, 26, 31–44. [Google Scholar]
- ANSI/AISC 360-16. Specification for Structural Steel Buildings; American Institute of Steel Construction: Chicago, IL, USA, 2016. [Google Scholar]
- Gallegos, M.; Nuñez, E.; Herrera, R. Numerical Study on Cyclic Response of End-Plate Biaxial Moment Connection in Box Columns. Metals 2020, 10, 523. [Google Scholar] [CrossRef]
- Tartaglia, R.; D’Aniello, M.; Rassati, G.A.; Swanson, J.A.; Landolfo, R. Full strength extended stiffened end-plate joints: AISC vs recent European design criteria. Eng. Struct. 2018, 159, 155–171. [Google Scholar] [CrossRef]
















| No. | Model | Joint | P/Py |
|---|---|---|---|
| 1 | 1 beam (M1) | M1-00 | 0 |
| 2 | M1-25 | 25% | |
| 3 | M1-50 | 50% | |
| 4 | 2 beams–interior (M2) | M2-00 | 0 |
| 5 | M2-25 | 25% | |
| 6 | M2-50 | 50% | |
| 7 | 3 beams–exterior (M3) | M3-00 | 0 |
| 8 | M3-25 | 25% | |
| 9 | M3-50 | 50% | |
| 10 | 4 beams–interior (M4) | M4-00 | 0 |
| 11 | M4-25 | 25% | |
| 12 | M4-50 | 50% |
| No. | Number of Cycles | Drift Angle θ (rad) |
|---|---|---|
| 1 | 6 | 0.00375 |
| 2 | 6 | 0.00500 |
| 3 | 6 | 0.00750 |
| 4 | 4 | 0.01000 |
| 5 | 2 | 0.01500 |
| 6 | 2 | 0.02000 |
| 7 | 2 | 0.03000 |
| 8 | 2 | 0.04000 |
| Element | Designation | σy (MPa) | εy | σu (MPa) | εu |
|---|---|---|---|---|---|
| Bolts | ASTM-A490 | 1156 | 0.00586 | 1433 | 0.14 |
| Beam, Column, Horizontal diaphragms, Vertical diaphragms, End-plate | ASTM-A36 | 293 | 0.001465 | 445 | 0.24 |
© 2020 by the authors. Licensee MDPI, Basel, Switzerland. This article is an open access article distributed under the terms and conditions of the Creative Commons Attribution (CC BY) license (http://creativecommons.org/licenses/by/4.0/).
Share and Cite
Nuñez, E.; Parraguez, G.; Herrera, R. Bidirectional Response of Weak-Axis End-plate Moment Connections: Numerical Approach. Metals 2020, 10, 964. https://doi.org/10.3390/met10070964
Nuñez E, Parraguez G, Herrera R. Bidirectional Response of Weak-Axis End-plate Moment Connections: Numerical Approach. Metals. 2020; 10(7):964. https://doi.org/10.3390/met10070964
Chicago/Turabian StyleNuñez, Eduardo, Guillermo Parraguez, and Ricardo Herrera. 2020. "Bidirectional Response of Weak-Axis End-plate Moment Connections: Numerical Approach" Metals 10, no. 7: 964. https://doi.org/10.3390/met10070964
APA StyleNuñez, E., Parraguez, G., & Herrera, R. (2020). Bidirectional Response of Weak-Axis End-plate Moment Connections: Numerical Approach. Metals, 10(7), 964. https://doi.org/10.3390/met10070964

