Concurrent Multiscale Simulations of Rough Lubricated Contact of Aluminum Single Crystal
Abstract
1. Introduction
2. Methodology
2.1. Model Set-Up
2.2. Force Field
2.3. Contact Area
2.4. Multiscale Strategy Valication
3. Results and Discussion
3.1. RMS Roughness
3.2. Contact Area
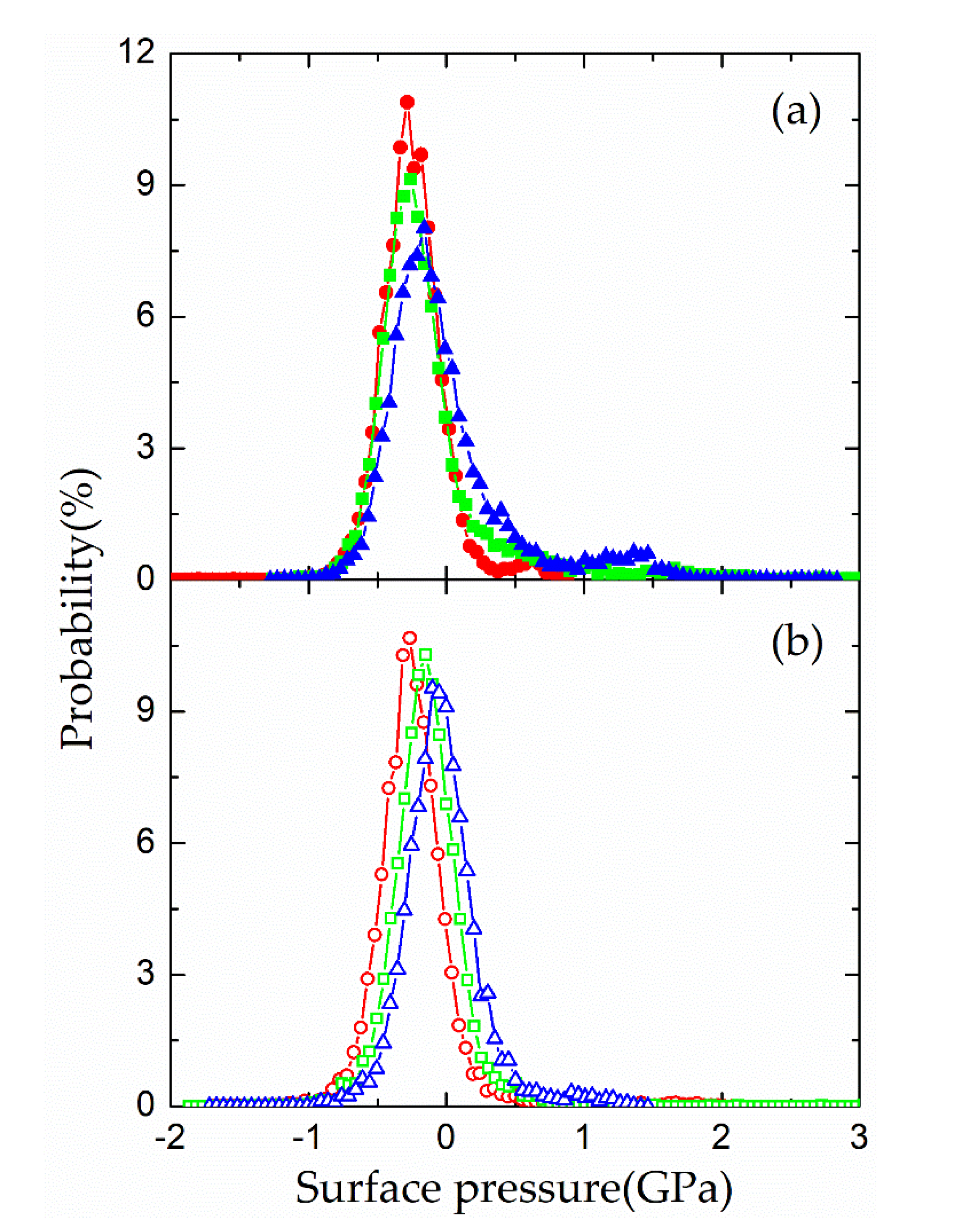
3.3. Surface Pressure
4. Conclusions
Supplementary Materials
Author Contributions
Funding
Conflicts of Interest
References
- Persson, B.N.J.; Albohr, O.; Tartaglino, U.; Volokitin, A.I.; Tosatti, E. On the nature of surface roughness with application to contact mechanics, sealing, rubber friction and adhesion. J. Phys. Condens. Matter 2004, 17, R1–R62. [Google Scholar] [CrossRef] [PubMed]
- Bhushan, B. Contact mechanics of rough surfaces in tribology: Multiple asperity contact. Tribol. Lett. 1998, 4, 1–35. [Google Scholar] [CrossRef]
- Manini, N.; Mistura, G.; Paolicelli, G.; Tosatti, E.; Vanossi, A. Current trends in the physics of nanoscale friction. Adv. Phys. X 2017, 2, 569–590. [Google Scholar] [CrossRef]
- Luan, B.; Robbins, M.O. The breakdown of continuum models for mechanical contacts. Nature 2005, 435, 929–932. [Google Scholar] [CrossRef]
- Deng, G.; Tieu, A.K.; Lan, X.; Su, L.; Wang, L.; Zhu, Q.; Zhu, H. Effects of normal load and velocity on the dry sliding tribological behaviour of CoCrFeNiMo0.2 high entropy alloy. Tribol. Int. 2020, 144, 106116. [Google Scholar] [CrossRef]
- Ta, T.D.; Tieu, A.K.; Zhu, H.; Zhu, Q.; Kosasih, P.B.; Zhang, J.; Deng, G. Tribological Behavior of Aqueous Copolymer Lubricant in Mixed Lubrication Regime. ACS Appl. Mater. Interfaces 2016, 8, 5641–5652. [Google Scholar] [CrossRef]
- Deng, G.Y.; Tieu, A.K.; Su, L.H.; Zhu, H.T.; Reid, M.; Zhu, Q.; Kong, C. Microstructural study and residual stress measurement of a hot rolling work roll material during isothermal oxidation. Int. J. Adv. Manuf. Technol. 2019, 102, 2107–2118. [Google Scholar] [CrossRef]
- Zhang, J.; Xu, Q.; Gao, L.; Ma, T.; Qiu, M.; Hu, Y.; Wang, H.; Luo, J. A molecular dynamics study of lubricating mechanism of graphene nanoflakes embedded in Cu-based nanocomposite. Appl. Surf. Sci. 2020, 511, 145620. [Google Scholar] [CrossRef]
- Ma, T.-B.; Hu, Y.-Z.; Wang, H. Molecular dynamics simulation of shear-induced graphitization of amorphous carbon films. Carbon 2009, 47, 1953–1957. [Google Scholar] [CrossRef]
- Kong, N.; Wei, B.; Zhuang, Y.; Zhang, J.; Li, H.; Wang, B. Effect of Compressive Prestrain on the Anti-Pressure and Anti-Wear Performance of Monolayer MoS2: A Molecular Dynamics Study. Nanomaterials 2020, 10, 275. [Google Scholar] [CrossRef]
- Zhao, X.; Lu, C.; Tieu, A.K.; Zhan, L.; Huang, M.; Su, L.; Pei, L.; Zhang, L. Deformation twinning and dislocation processes in nanotwinned copper by molecular dynamics simulations. Comp. Mater. Sci. 2018, 142, 59–71. [Google Scholar] [CrossRef]
- Zhang, L.; Shibuta, Y.; Lu, C.; Huang, X. Interaction between nano-voids and migrating grain boundary by molecular dynamics simulation. Acta Mater. 2019, 173, 206–224. [Google Scholar] [CrossRef]
- Li, Q.; Dong, Y.; Perez, D.; Martini, A.; Carpick, R.W. Speed Dependence of Atomic Stick-Slip Friction in Optimally Matched Experiments and Molecular Dynamics Simulations. Phys. Rev. Lett. 2011, 106, 126101. [Google Scholar] [CrossRef] [PubMed]
- Zhang, J.; Michal, G.; Tieu, A.K.; Zhu, H.T.; Deng, G.Y. Hertz Contact at the Nanoscale with a 3D Multiscale Model. Appl. Mech. Mater. 2016, 846, 306–311. [Google Scholar] [CrossRef]
- Liu, W.K.; Karpov, E.G.; Zhang, S.; Park, H.S. An introduction to computational nanomechanics and materials. Comput. Method Appl. Mech. Eng. 2004, 193, 1529–1578. [Google Scholar] [CrossRef]
- Michal, G.; Lu, C.; Kiet, T.A. Multiscale model of elastic nanocontacts. Comp. Mater. Sci. 2014, 81, 98–103. [Google Scholar] [CrossRef]
- Hyun, S.; Pei, L.; Molinari, J.F.; Robbins, M.O. Finite-Element analysis of contact between elastic self-affine surfaces. Phys. Rev. E 2004, 70, 026117. [Google Scholar] [CrossRef]
- Pei, L.; Hyun, S.; Molinari, J.F.; Robbins, M.O. Finite element modeling of elasto-Plastic contact between rough surfaces. J. Mech. Phys. Solids 2005, 53, 2385–2409. [Google Scholar] [CrossRef]
- Deng, G.Y.; Tieu, A.K.; Su, L.H.; Zhu, H.T.; Zhu, Q.; Zamri, W.F.H.; Kong, C. Characterizing deformation behaviour of an oxidized high speed steel: Effects of nanoindentation depth, friction and oxide scale porosity. Int. J. Mech. Sci. 2019, 155, 267–285. [Google Scholar] [CrossRef]
- Deng, G.Y.; Zhu, H.T.; Tieu, A.K.; Su, L.H.; Reid, M.; Zhang, L.; Wei, P.T.; Zhao, X.; Wang, H.; Zhang, J.; et al. Theoretical and experimental investigation of thermal and oxidation behaviours of a high speed steel work roll during hot rolling. Int. J. Mech. Sci. 2017, 131–132, 811–826. [Google Scholar] [CrossRef]
- Tadmor, E.B.; Ortiz, M.; Phillips, R. Quasicontinuum analysis of defects in solids. Philos. Mag. A 1996, 73, 1529–1563. [Google Scholar] [CrossRef]
- Wagner, G.J.; Liu, W.K. Coupling of atomistic and continuum simulations using a bridging scale decomposition. J. Comput. Phys. 2003, 190, 249–274. [Google Scholar] [CrossRef]
- Xiao, S.P.; Belytschko, T. A bridging domain method for coupling continua with molecular dynamics. Comput. Method Appl. Mech. Eng. 2004, 193, 1645–1669. [Google Scholar] [CrossRef]
- Park, H.S.; Liu, W.K. An introduction and tutorial on multiple-scale analysis in solids. Comput. Method Appl. Mech. Eng. 2004, 193, 1733–1772. [Google Scholar] [CrossRef]
- Zhang, J.; Tieu, K.; Michal, G.; Zhu, H.; Zhang, L.; Su, L.; Deng, G.; Wang, H. A damping boundary condition for atomistic-continuum coupling. Chin. Phys. B 2017, 26, 68702. [Google Scholar] [CrossRef]
- Luan, B.Q.; Hyun, S.; Molinari, J.F.; Bernstein, N.; Robbins, M.O. Multiscale modeling of two-Dimensional contacts. Phys. Rev. E 2006, 74, 046710. [Google Scholar] [CrossRef]
- Zhu, P.; Hu, Y.; Fang, F.; Wang, H. Multiscale simulations of nanoindentation and nanoscratch of single crystal copper. Appl. Surf. Sci. 2012, 258, 4624–4631. [Google Scholar] [CrossRef]
- Luan, B.; Robbins, M.O. Hybrid Atomistic/Continuum Study of Contact and Friction between Rough Solids. Tribol. Lett. 2009, 36, 1–16. [Google Scholar] [CrossRef]
- Zhang, J.; Zhang, L.; Tieu, A.K.; Michal, G.; Zhu, H.T.; Deng, G.Y. Finite-Temperature Multiscale Simulations for 3D Nanoscale Contacts. Appl. Mech. Mater. 2016, 846, 288–293. [Google Scholar] [CrossRef]
- Zheng, X.; Zhu, H.; Kiet, T.A.; Kosasih, B. A molecular dynamics simulation of 3D rough lubricated contact. Tribol. Int. 2013, 67, 217–221. [Google Scholar] [CrossRef]
- Zheng, X.; Zhu, H.; Tieu, A.K.; Kosasih, B. Roughness and Lubricant Effect on 3D Atomic Asperity Contact. Tribol. Lett. 2013, 53, 215–223. [Google Scholar] [CrossRef]
- Anciaux, G.; Molinari, J.-F. Contact mechanics at the nanoscale, a 3D multiscale approach. Int. J. Numer. Methods Eng. 2009, 79, 1041–1067. [Google Scholar] [CrossRef]
- Su, L.; Deng, G.; Luzin, V.; Wang, H.; Wang, Z.; Yu, H.; Li, H.; Tieu, A.K. Effect of cryogenic temperature equal channel angular pressing on microstructure, bulk texture and tensile properties of AA1050. Mater. Sci. Eng. A 2020, 780, 139190. [Google Scholar] [CrossRef]
- Spijker, P.; Anciaux, G.; Molinari, J.-F. The effect of loading on surface roughness at the atomistic level. Comput. Mech. 2012, 50, 273–283. [Google Scholar] [CrossRef]
- Spijker, P.; Anciaux, G.; Molinari, J.-F. Relations between roughness, temperature and dry sliding friction at the atomic scale. Tribol. Int. 2013, 59, 222–229. [Google Scholar] [CrossRef]
- Mishin, Y.; Farkas, D.; Mehl, M.J.; Papaconstantopoulos, D.A. Interatomic potentials for monoatomic metals from experimental data and ab initio calculations. Phys. Rev. B 1999, 59, 3393–3407. [Google Scholar] [CrossRef]
- Miller, R.E.; Tadmor, E.B. A unified framework and performance benchmark of fourteen multiscale atomistic/continuum coupling methods. Model. Simul. Mater. Sci. Eng. 2009, 17, 053001. [Google Scholar] [CrossRef]
- Foiles, S.M.; Baskes, M.I.; Daw, M.S. Embedded-atom-method functions for the fcc metals Cu, Ag, Au, Ni, Pd, Pt, and their alloys. Phys. Rev. B 1986, 33, 7983–7991. [Google Scholar] [CrossRef]
- Martin, M.G.; Siepmann, J.I. Transferable Potentials for Phase Equilibria. 1. United-Atom Description of n-Alkanes. J. Phys. Chem. B 1998, 102, 2569–2577. [Google Scholar] [CrossRef]
- Mo, Y.; Turner, K.T.; Szlufarska, I. Friction laws at the nanoscale. Nature 2009, 457, 1116–1119. [Google Scholar] [CrossRef]
- Anciaux, G.; Ramisetti, S.B.; Molinari, J.F. A finite temperature bridging domain method for MD-FE coupling and application to a contact problem. Comput. Method Appl. Mech. Eng. 2012, 205–208, 204–212. [Google Scholar] [CrossRef]
- Zheng, X.; Zhu, H.; Kosasih, B.; Tieu, A.K. A molecular dynamics simulation of boundary lubrication: The effect of n-alkanes chain length and normal load. Wear 2013, 301, 62–69. [Google Scholar] [CrossRef]
- Wu, C.; Zhang, L.; Li, S.; Jiang, Z.; Qu, P. A unified method for characterizing multiple lubrication regimes involving plastic deformation of surface asperities. Tribol. Int. 2016, 100, 70–83. [Google Scholar] [CrossRef]
- Campañá, C.; Müser, M.H. Contact mechanics of real vs. randomly rough surfaces: A Green’s function molecular dynamics study. Europhys. Lett. 2007, 77, 38005. [Google Scholar] [CrossRef]
- Tanaka, H.; Yamaki, Y.; Kato, M. Solubility of carbon dioxide in pentadecane, hexadecane, and pentadecane + hexadecane. J. Chem. Eng. Data 1993, 38, 386–388. [Google Scholar] [CrossRef]
- Cheng, S.; Luan, B.; Robbins, M.O. Contact and friction of nanoasperities: Effects of adsorbed monolayers. Phys. Rev. E 2010, 81, 016102. [Google Scholar] [CrossRef] [PubMed]








© 2020 by the authors. Licensee MDPI, Basel, Switzerland. This article is an open access article distributed under the terms and conditions of the Creative Commons Attribution (CC BY) license (http://creativecommons.org/licenses/by/4.0/).
Share and Cite
Zhang, J.; Su, L.; Wang, Z. Concurrent Multiscale Simulations of Rough Lubricated Contact of Aluminum Single Crystal. Metals 2020, 10, 965. https://doi.org/10.3390/met10070965
Zhang J, Su L, Wang Z. Concurrent Multiscale Simulations of Rough Lubricated Contact of Aluminum Single Crystal. Metals. 2020; 10(7):965. https://doi.org/10.3390/met10070965
Chicago/Turabian StyleZhang, Jie, Lihong Su, and Zhongnan Wang. 2020. "Concurrent Multiscale Simulations of Rough Lubricated Contact of Aluminum Single Crystal" Metals 10, no. 7: 965. https://doi.org/10.3390/met10070965
APA StyleZhang, J., Su, L., & Wang, Z. (2020). Concurrent Multiscale Simulations of Rough Lubricated Contact of Aluminum Single Crystal. Metals, 10(7), 965. https://doi.org/10.3390/met10070965
