Specializing When It Counts: Comparing the Dose–Time Effect of Distance Variety between Swimming and Track Running
Abstract
1. Introduction
2. Materials and Methods
2.1. Subjects
2.2. Data Collection
2.3. Data Analysis
2.4. Statistical Analysis
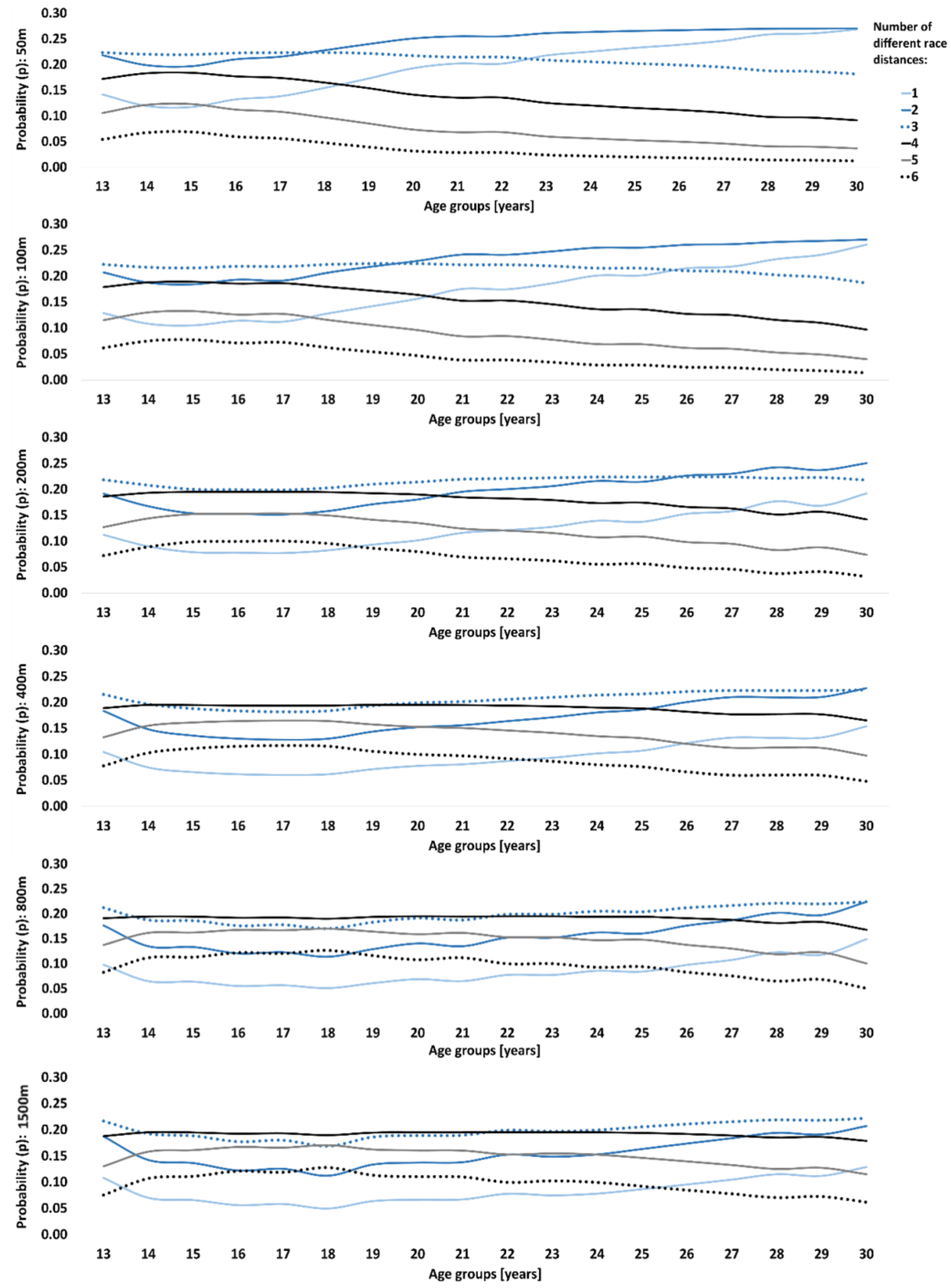
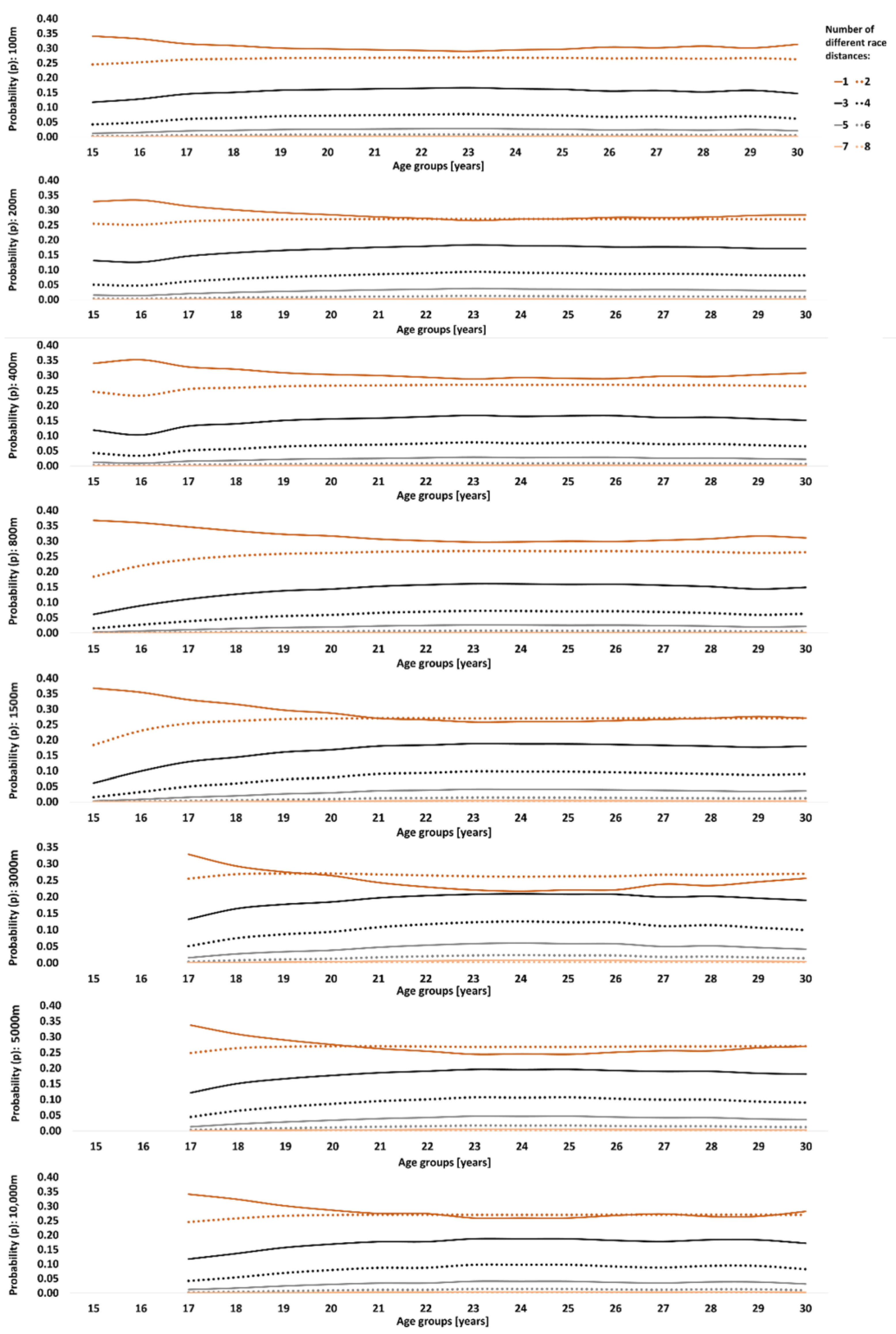
3. Results
4. Discussion
5. Conclusions
Author Contributions
Funding
Institutional Review Board Statement
Informed Consent Statement
Data Availability Statement
Conflicts of Interest
References
- Ericsson, K.A. Training history, deliberate practice and elite sports performance: An analysis in response to Tucker and Collins review—What makes champions? Br. J. Sports Med. 2013, 47, 533–535. [Google Scholar] [CrossRef] [PubMed]
- Ericsson, K.A.; Krampe, R.T.; Tesch-Römer, C. The role of deliberate practice in the acquisition of expert performance. Psychol. Rev. 1993, 100, 363–406. [Google Scholar] [CrossRef]
- Tucker, R.; Collins, M. What makes champions? A review of the relative contribution of genes and training to sporting success. Br. J. Sports Med. 2012, 46, 555–561. [Google Scholar] [CrossRef] [PubMed]
- Mosher, A.; Fraser-Thomas, J.; Baker, J. What Defines Early Specialization: A Systematic Review of Literature. Front. Sports Act. Living 2020, 2, 596229. [Google Scholar] [CrossRef]
- Barth, M.; Gullich, A.; Macnamara, B.N.; Hambrick, D.Z. Predictors of Junior Versus Senior Elite Performance are Opposite: A Systematic Review and Meta-Analysis of Participation Patterns. Sports Med. 2022, 52, 1399–1416. [Google Scholar] [CrossRef]
- Bell, D.R.; Snedden, T.R.; Biese, K.M.; Nelson, E.; Watson, A.M.; Brooks, A.; McGuine, T.A.; Brown, R.L.; Kliethermes, S.A. Consensus Definition of Sport Specialization in Youth Athletes Using a Delphi Approach. J. Athl. Train. 2021, 56, 1239–1251. [Google Scholar] [CrossRef]
- Myer, G.D.; Jayanthi, N.; Difiori, J.P.; Faigenbaum, A.D.; Kiefer, A.W.; Logerstedt, D.; Micheli, L.J. Sport Specialization, Part I: Does Early Sports Specialization Increase Negative Outcomes and Reduce the Opportunity for Success in Young Athletes? Sports Health 2015, 7, 437–442. [Google Scholar] [CrossRef]
- Güllich, A. Many roads lead to Rome--developmental paths to Olympic gold in men’s field hockey. Eur. J. Sport. Sci. 2014, 14, 763–771. [Google Scholar] [CrossRef]
- Orsolic, M.; Barbaros, P.; Novak, D. What makes a Grand Slam champion? Early engagement, late specialization and timely transition from having fun to dedication. Front. Sports Act. Living 2023, 5, 1213317. [Google Scholar] [CrossRef]
- Charbonnet, B.; Schmid, M.J.; Orencik, M.; van Niekerk, E.; Conzelmann, A. The road to excellence in women’s football: A retrospective cohort study over the last 30 years with Swiss national players. Sci. Med. Footb. 2023, 1–12. [Google Scholar] [CrossRef]
- Yustres, I.; Santos Del Cerro, J.; Martin, R.; Gonzalez-Mohino, F.; Logan, O.; Gonzalez-Rave, J.M. Influence of early specialization in world-ranked swimmers and general patterns to success. PLoS ONE 2019, 14, e0218601. [Google Scholar] [CrossRef] [PubMed]
- Post, A.K.; Koning, R.H.; Visscher, C.; Elferink-Gemser, M.T. Multigenerational performance development of male and female top-elite swimmers-A global study of the 100 m freestyle event. Scand. J. Med. Sci. Sports 2020, 30, 564–571. [Google Scholar] [CrossRef] [PubMed]
- World Aquatics. Swimming Points. Available online: https://www.worldaquatics.com/swimming/points (accessed on 27 July 2023).
- Yustres, I.; Del Cerro, J.S.; Gonzalez-Mohino, F.; Peyrebrune, M.; Gonzalez-Rave, J.M. Analysis of World Championship Swimmers Using a Performance Progression Model. Front. Psychol. 2019, 10, 3078. [Google Scholar] [CrossRef] [PubMed]
- Post, A.K.; Koning, R.H.; Visscher, C.; Elferink-Gemser, M.T. Tracking performance and its underlying characteristics in talented swimmers: A longitudinal study during the junior-to-senior transition. Front. Physiol. 2023, 14, 1221567. [Google Scholar] [CrossRef] [PubMed]
- Abbott, S.; Hogan, C.; Castiglioni, M.T.; Yamauchi, G.; Mitchell, L.J.G.; Salter, J.; Romann, M.; Cobley, S. Maturity-related developmental inequalities in age-group swimming: The testing of ‘Mat-CAPs’ for their removal. J. Sci. Med. Sport. 2021, 24, 397–404. [Google Scholar] [CrossRef]
- Myer, G.D.; Jayanthi, N.; DiFiori, J.P.; Faigenbaum, A.D.; Kiefer, A.W.; Logerstedt, D.; Micheli, L.J. Sports Specialization, Part II: Alternative Solutions to Early Sport Specialization in Youth Athletes. Sports Health 2016, 8, 65–73. [Google Scholar] [CrossRef]
- Born, D.P.; Lorentzen, J.; Bjorklund, G.; Stoggl, T.; Romann, M. Variation vs. specialization: The dose-time-effect of technical and physiological variety in the development of elite swimmers. BMC Res. Notes 2024, 17, 48. [Google Scholar] [CrossRef]
- Pollock, S.; Gaoua, N.; Johnston, M.J.; Cooke, K.; Girard, O.; Mileva, K.N. Training Regimes and Recovery Monitoring Practices of Elite British Swimmers. J. Sports Sci. Med. 2019, 18, 577–585. [Google Scholar]
- Nugent, F.J.; Comyns, T.M.; Warrington, G.D. Quality versus Quantity Debate in Swimming: Perceptions and Training Practices of Expert Swimming Coaches. J. Hum. Kinet. 2017, 57, 147–158. [Google Scholar] [CrossRef][Green Version]
- World Aquatics. Swimming Rules. Available online: https://www.worldaquatics.com/rules/competition-regulations (accessed on 10 March 2024).
- World Athletics. Rules. Available online: https://worldathletics.org/about-iaaf/documents/book-of-rules (accessed on 5 March 2024).
- World Athletics. World Records. Available online: https://worldathletics.org/records/by-category/world-records (accessed on 8 April 2024).
- World Aquatics. World Records. Available online: https://www.worldaquatics.com/swimming/records (accessed on 8 April 2024).
- Spencer, M.R.; Gastin, P.B. Energy system contribution during 200- to 1500-m running in highly trained athletes. Med Sci Sports Exerc 2001, 33, 157–162. [Google Scholar] [CrossRef]
- Duffield, R.; Dawson, B.; Goodman, C. Energy system contribution to 400-metre and 800-metre track running. J. Sports Sci. 2005, 23, 299–307. [Google Scholar] [CrossRef] [PubMed]
- Duffield, R.; Dawson, B.; Goodman, C. Energy system contribution to 100-m and 200-m track running events. J. Sci. Med. Sport. 2004, 7, 302–313. [Google Scholar] [CrossRef] [PubMed]
- Massini, D.A.; Almeida, T.A.F.; Macedo, A.G.; Espada, M.C.; Reis, J.F.; Alves, F.J.B.; Fernandes, R.J.P.; Pessoa Filho, D.M. Sex-Specific Accumulated Oxygen Deficit During Short- and Middle-Distance Swimming Performance in Competitive Youth Athletes. Sports Med. Open 2023, 9, 49. [Google Scholar] [CrossRef] [PubMed]
- Ribeiro, J.; Figueiredo, P.; Sousa, A.; Monteiro, J.; Pelarigo, J.; Vilas-Boas, J.P.; Toussaint, H.M.; Fernandes, R.F. VO2 kinetics and metabolic contributions during full and upper body extreme swimming intensity. Eur. J. Appl. Physiol. 2015, 115, 1117–1124. [Google Scholar] [CrossRef]
- Almeida, T.A.F.; Pessoa Filho, D.M.; Espada, M.A.C.; Reis, J.F.; Simionato, A.R.; Siqueira, L.O.C.; Alves, F.B. [Formula: See text] kinetics and energy contribution in simulated maximal performance during short and middle distance-trials in swimming. Eur. J. Appl. Physiol. 2020, 120, 1097–1109. [Google Scholar] [CrossRef]
- Haugen, T.; Sandbakk, O.; Seiler, S.; Tonnessen, E. The Training Characteristics of World-Class Distance Runners: An Integration of Scientific Literature and Results-Proven Practice. Sports Med. Open 2022, 8, 46. [Google Scholar] [CrossRef]
- Haugen, T.; Sandbakk, O.; Enoksen, E.; Seiler, S.; Tonnessen, E. Crossing the Golden Training Divide: The Science and Practice of Training World-Class 800- and 1500-m Runners. Sports Med. 2021, 51, 1835–1854. [Google Scholar] [CrossRef]
- Born, D.P.; Romann, M.; Lorentzen, J.; Zumbach, D.; Feldmann, A.; Ruiz-Navarro, J.J. Sprinting to the top: Comparing quality of distance variety and specialization between swimmers and runners. Front. Sports Act. Living 2024, 6, 1431594. [Google Scholar] [CrossRef]
- Brustio, P.R.; Rainoldi, A.; Boccia, G. Two Is Better than One: Successful World-Class Sprinters Compete in Two Disciplines. J. Funct. Morphol. Kinesiol. 2023, 8, 52. [Google Scholar] [CrossRef]
- Swimrankings.net. Available online: https://www.swimrankings.net/ (accessed on 15 February 2024).
- World Athletics. Stats Zone. Available online: https://worldathletics.org/stats-zone (accessed on 2 June 2024).
- Allen, S.V.; Vandenbogaerde, T.J.; Hopkins, W.G. Career performance trajectories of Olympic swimmers: Benchmarks for talent development. Eur. J. Sport. Sci. 2014, 14, 643–651. [Google Scholar] [CrossRef]
- Haugen, T.A.; Solberg, P.A.; Foster, C.; Moran-Navarro, R.; Breitschadel, F.; Hopkins, W.G. Peak Age and Performance Progression in World-Class Track-and-Field Athletes. Int. J. Sports Physiol. Perform. 2018, 13, 1122–1129. [Google Scholar] [CrossRef] [PubMed]
- European Aquatics. European U23 Swimming Championships. Available online: https://www.len.eu/get-to-know-the-european-u23-swimming-championships/ (accessed on 7 March 2024).
- Ruiz-Navarro, J.J.; Lopez-Belmonte, O.; Gay, A.; Cuenca-Fernandez, F.; Arellano, R. A new model of performance classification to standardize the research results in swimming. Eur. J. Sport. Sci. 2022, 1–23. [Google Scholar] [CrossRef] [PubMed]
- Zhao, J.; Zhang, F.; Zhao, C.; Wu, G.; Wang, H.; Cao, X. The Properties and Application of Poisson Distribution. J. Phys. Conf. Ser. 2020, 1550, 032109. [Google Scholar] [CrossRef]
- Stewart, A.M.; Hopkins, W.G. Consistency of swimming performance within and between competitions. Med. Sci. Sports Exerc. 2000, 32, 997–1001. [Google Scholar] [CrossRef] [PubMed]
- Haugen, T.; Seiler, S.; Sandbakk, O.; Tonnessen, E. The Training and Development of Elite Sprint Performance: An Integration of Scientific and Best Practice Literature. Sports Med. Open 2019, 5, 44. [Google Scholar] [CrossRef]
- Valamatos, M.J.; Abrantes, J.M.; Carnide, F.; Valamatos, M.J.; Monteiro, C.P. Biomechanical Performance Factors in the Track and Field Sprint Start: A Systematic Review. Int. J. Environ. Res. Public Health 2022, 19, 4074. [Google Scholar] [CrossRef]
- Born, D.P.; Schönfelder, M.; Logan, O.; Olstad, B.H.; Romann, M. Performance Development of European Swimmers Across the Olympic Cycle. Front. Sports Act. Living 2022, 4, 894066. [Google Scholar] [CrossRef]
- Crowley, E.; Harrison, A.J.; Lyons, M. The Impact of Resistance Training on Swimming Performance: A Systematic Review. Sports Med. 2017, 47, 2285–2307. [Google Scholar] [CrossRef]
- Crowley, E.; Harrison, A.J.; Lyons, M. Dry-Land Resistance Training Practices of Elite Swimming Strength and Conditioning Coaches. J. Strength. Cond. Res. 2018, 32, 2592–2600. [Google Scholar] [CrossRef]
- van Houwelingen, J.; Schreven, S.; Smeets, J.B.; Clercx, H.J.; Beek, P.J. Effective Propulsion in Swimming: Grasping the Hydrodynamics of Hand and Arm Movements. J. Appl. Biomech. 2017, 33, 87–100. [Google Scholar] [CrossRef]
- Vilas-Boas, J.P.; Ramos, R.J.; Fernandes, R.J.; Silva, A.J.; Rouboa, A.I.; Machado, L.; Barbosa, T.M.; Marinho, D.A. Hydrodynamic analysis of different finger positions in swimming: A computational fluid dynamics approach. J. Appl. Biomech. 2015, 31, 48–55. [Google Scholar] [CrossRef] [PubMed]
- Nugent, F.J.; Comyns, T.M.; Warrington, G.D. Strength and Conditioning Considerations for Youth Swimmers. Strength. Cond. J. 2018, 40, 31–39. [Google Scholar] [CrossRef]
- Bishop, C.; Cree, J.; Read, P.; Chavda, S.; Edwards, M.; Turner, A. Strength and Conditioning for Sprint Swimming. Strength. Cond. J. 2013, 35, 1–6. [Google Scholar] [CrossRef]
- Arellano, R.; Ruíz-Teba, A.; Morales-Ortíz, E.; Gay, A.; Cuenca-Fernandez, F.; Llorente-Ferrón, F.; López-Contreras, G. Short course 50 m male freestyle performance comparison between national and regional Spanish swimmers. ISBS Proc. Arch. 2018, 36, 139. [Google Scholar]
- Born, D.P.; Kuger, J.; Polach, M.; Romann, M. Turn Fast and Win: The Importance of Acyclic Phases in Top-Elite Female Swimmers. Sports 2021, 9, 122. [Google Scholar] [CrossRef]
- Mooney, M.; Worn, R.; Spencer, M.; O’Brien, B.J. Anaerobic and Aerobic Metabolic Capacities Contributing to Yo-Yo Intermittent Recovery Level 2 Test Performance in Australian Rules Footballers. Sports 2024, 12, 236. [Google Scholar] [CrossRef]
- Fredericson, M.; Jennings, F.; Beaulieu, C.; Matheson, G.O. Stress fractures in athletes. Top. Magn. Reson. Imaging 2006, 17, 309–325. [Google Scholar] [CrossRef]
- Fields, K.B.; Sykes, J.C.; Walker, K.M.; Jackson, J.C. Prevention of running injuries. Curr. Sports Med. Rep. 2010, 9, 176–182. [Google Scholar] [CrossRef]
- Nattiv, A. Stress fractures and bone health in track and field athletes. J. Sci. Med. Sport. 2000, 3, 268–279. [Google Scholar] [CrossRef]
- Nugent, F.; Comyns, T.; Kearney, P.; Warrington, G. Ultra-Short Race-Pace Training (USRPT) In Swimming: Current Perspectives. Open Access J. Sports Med. 2019, 10, 133–144. [Google Scholar] [CrossRef]
- Rees, T.; Hardy, L.; Gullich, A.; Abernethy, B.; Cote, J.; Woodman, T.; Montgomery, H.; Laing, S.; Warr, C. The Great British Medalists Project: A Review of Current Knowledge on the Development of the World’s Best Sporting Talent. Sports Med. 2016, 46, 1041–1058. [Google Scholar] [CrossRef]


| Age Categories (Years) | ||||||
|---|---|---|---|---|---|---|
| 13–14 | 15–16 | 17–18 | 19–20 | 21–22 | 23+ | |
| Swimmers | ||||||
| 50 m | 0.06 * | 0.00 | 0.00 | 0.00 | 0.05 ** | 0.10 *** |
| 100 m | 0.08 *** | 0.02 | 0.04 * | 0.04 * | 0.10 *** | 0.14 *** |
| 200 m | 0.10 *** | 0.06 ** | 0.06 ** | 0.11 *** | 0.14 *** | 0.13 *** |
| 400 m | 0.09 ** | 0.12 *** | 0.13 *** | 0.17 *** | 0.19 *** | 0.17 *** |
| 800 m | 0.07 | 0.06 | 0.06 | 0.13 *** | 0.11 ** | 0.05 |
| 1500 m | 0.10 | 0.04 | 0.03 | 0.09 * | 0.08 * | 0.01 |
| Runners | ||||||
| 100 m | 0.02 | 0.13 *** | 0.10 *** | 0.09 *** | 0.05 * | |
| 200 m | 0.09 | 0.18 *** | 0.16 *** | 0.07 * | 0.10 *** | |
| 400 m | −0.04 | 0.06 | 0.05 | 0.05 | 0.05 | |
| 800 m | −0.04 | 0.08 * | 0.13 *** | 0.12 *** | 0.01 | |
| 1500 m | 0.03 | 0.11 ** | 0.09 ** | 0.10 *** | 0.08 ** | |
| 3000 m | 0.22 | 0.10 | 0.06 | 0.03 | 0.07 | |
| 5000 m | 0.15 | 0.10 | 0.14 *** | 0.07 * | 0.13 *** | |
| 10,000 m | 0.00 | 0.22 *** | 0.16 *** | 0.19 *** | 0.09 * | |
| Age Categories [Years] | ||||||
|---|---|---|---|---|---|---|
| 13–14 | 15–16 | 17–18 | 19–20 | 21–22 | 23+ | |
| 50 m | 30.6% [50, 100, 200, 400] 23.1% [50, 100, 200] 22.5% [50, 100, 200, 400, 800, 1500] | 33.6% [50, 100, 200] 24.9% [50, 100, 200, 400] 17.2% [50, 100, 200, 400, 800, 1500] | 40.0% [50, 100, 200] 24.4% [50, 100, 200, 400] 22.4% [50, 100] | 45.7% [50, 100, 200] 31.4% [50, 100] 13.3% [50, 100, 200, 400] | 43.6% [50, 100, 200] 37.2% [50, 100] 10.6% [50, 100, 200, 400] | 45.5% [50, 100] 37.0% [50, 100, 200] 8.5% [50, 100, 200, 400] |
| 100 m | 24.8% [50, 100, 200, 400] 22.5% [50, 100, 200, 400, 800, 1500] 14.8% [50, 100, 200] | 24.3% [50, 100, 200] 22.7% [50, 100, 200, 400] 22.4% [50, 100, 200, 400, 800, 1500] | 30.3% [50, 100, 200] 25.0% [50, 100, 200, 400] 15.7% [50, 100, 200, 400, 800, 1500] | 35.4% [50, 100, 200] 19.6% [50, 100, 200, 400] 18.2% [50, 100] | 38.4% [50, 100, 200] 24.4% [50, 100] 14.8% [50, 100, 200, 400] | 37.2% [50, 100, 200] 30.8% [50, 100] 12.9% [50, 100, 200, 400] |
| 200 m | 31.5% [50, 100, 200, 400, 800, 1500] 21.1% [50, 100, 200, 400] 12.8% [100, 200, 400, 800, 1500] | 33.8% [50, 100, 200, 400, 800, 1500] 16.0% [50, 100, 200, 400] 14.6% [100, 200, 400, 800, 1500] | 30.3% [50, 100, 200, 400, 800, 1500] 22.0% [50, 100, 200, 400] 15.4% [50, 100, 200] | 21.1% [50, 100, 200, 400] 20.0% [50, 100, 200, 400, 800, 1500] 19.4% [50, 100, 200] | 22.1% [50, 100, 200] 21.9% [50, 100, 200, 400] 12.3% [50, 100, 200, 400, 800, 1500] | 25.0% [50, 100, 200] 22.3% [50, 100, 200, 400] 11.1% [50, 100, 200, 400, 800, 1500] |
| 400 m | 37.8% [50, 100, 200, 400, 800, 1500] 16.8% [100, 200, 400, 800, 1500] 15.9% [50, 100, 200, 400] | 40.7% [50, 100, 200, 400, 800, 1500] 19.6% [100, 200, 400, 800, 1500] 10.8% [50, 100, 200, 400] | 38.0% [50, 100, 200, 400, 800, 1500] 21.1% [100, 200, 400, 800, 1500] 12.1% [50, 100, 200, 400] | 24.3% [50, 100, 200, 400, 800, 1500] 18.1% [200, 400, 800, 1500] 15.2% [100, 200, 400, 800, 1500] | 18.8% [100, 200, 400, 800, 1500] 18.3% [50, 100, 200, 400, 800, 1500] 18.1% [200, 400, 800, 1500] | 18.1% [50, 100, 200, 400, 800, 1500] 17.5% [50, 100, 200, 400] 15.0% [200, 400, 800, 1500] |
| 800 m | 49.4% [50, 100, 200, 400, 800, 1500] 17.2% [100, 200, 400, 800, 1500] 11.8% [200, 400, 800, 1500] | 41.8% [50, 100, 200, 400, 800, 1500] 27.9% [100, 200, 400, 800, 1500] 15.6% [200, 400, 800, 1500] | 40.4% [50, 100, 200, 400, 800, 1500] 29.2% [100, 200, 400, 800, 1500] 18.0% [200, 400, 800, 1500] | 30.8% [200, 400, 800, 1500] 25.5% [50, 100, 200, 400, 800, 1500] 20.7% [100, 200, 400, 800, 1500] | 31.7% [200, 400, 800, 1500] 22.1% [100, 200, 400, 800, 1500] 21.3% [50, 100, 200, 400, 800, 1500] | 26.4% [200, 400, 800, 1500] 22.6% [50, 100, 200, 400, 800, 1500] 18.8% [400, 800, 1500] |
| 1500 m | 56.1% [50, 100, 200, 400, 800, 1500] 20.5% [100, 200, 400, 800, 1500] 12.3% [400, 800, 1500] | 42.3% [50, 100, 200, 400, 800, 1500] 28.4% [100, 200, 400, 800, 1500] 13.9% [200, 400, 800, 1500] | 38.4% [50, 100, 200, 400, 800, 1500] 30.2% [100, 200, 400, 800, 1500] 22.0% [200, 400, 800, 1500] | 37.9% [200, 400, 800, 1500] 25.0% [50, 100, 200, 400, 800, 1500] 19.7% [100, 200, 400, 800, 1500] | 38.6% [200, 400, 800, 1500] 23.2% [100, 200, 400, 800, 1500] 19.5% [50, 100, 200, 400, 800, 1500] | 33.6% [200, 400, 800, 1500] 25.2% [400, 800, 1500] 24.4% [50, 100, 200, 400, 800, 1500] |
| Age Categories [Years] | |||||
|---|---|---|---|---|---|
| 15–16 | 17–18 | 19–20 | 21–22 | 23+ | |
| 100 m | 59.0% [100, 200] 38.0% [100] 3.0% [100, 200, 400] | 65.8% [100, 200] 23.6% [100] 10.5% [100, 200, 400] | 68.1% [100, 200] 16.9% [100] 14.7% [100, 200, 400] | 68.5% [100, 200] 15.9% [100] 15.4% [100, 200, 400] | 62.0% [100, 200] 24.4% [100, 200, 400] 13.2% [100] |
| 200 m | 51.4% [100, 200] 30.1% [200] 12.5% [200, 400] | 59.0% [100, 200] 14.7% [200, 400] 14.2% [100, 200, 400] | 57.6% [100, 200] 20.2% [100, 200, 400] 15.5% [200, 400] | 57.1% [100, 200] 23.8% [100, 200, 400] 14.5% [200, 400] | 50.0% [100, 200] 37.8% [100, 200, 400] 9.1% [200, 400] |
| 400 m | 67.5% [400] 23.1% [200, 400] 5.6% [100, 200, 400] | 46.9% [400] 28.1% [200, 400] 15.5% [100, 200, 400] | 38.5% [200, 400] 28.3% [400] 22.4% [100, 200, 400] | 40.7% [200, 400] 25.1% [400] 24.6% [100, 200, 400] | 38.1% [100, 200, 400] 33.8% [200, 400] 15.8% [400] |
| 800 m | 76.7% [800] 13.6% [400, 800] 8.2% [800, 1500] | 50.9% [800] 20.2% [800, 1500] 18.4% [400, 800] | 33.8%[800] 30.7% [800, 1500] 19.2% [400, 800] | 35.0% [800, 1500] 26.4% [800] 19.6% [400, 800] | 31.4% [800, 1500] 19.0% [400, 800, 1500] 16.5% [400, 800] |
| 1500 m | 53.1% [1500] 25.0% [800, 1500] 15.6% [1500, 3000] | 37.9% [800, 1500] 22.3% [1500] 12.1% [800, 1500, 3000] | 43.8% [800, 1500] 17.2% [1500] 10.1% [800, 1500, 3000] | 40.1% [800, 1500] 16.3% [1500] 10.5% [800, 1500, 3000] | 26.3% [800, 1500] 15.7% [800, 1500, 3000, 5000] 12.9% [1500, 3000, 5000, 10,000] |
| 3000 m | 21.6% [1500, 3000, 5000] 21.6% [3000] 14.1% [800, 1500, 3000] | 23.1% [1500, 3000, 5000] 15.5% [800, 1500, 3000] 14.5% [800, 1500, 3000, 5000] | 21.3% [1500, 3000, 5000] 20.9% [1500, 3000, 5000, 10,000] 12.5% [800, 1500, 3000] | 34.3% [1500, 3000, 5000, 10,000] 16.3% [800, 1500, 3000, 5000] 14.0% [1500, 3000, 5000] | |
| 5000 m | 38.4% [5000] 17.6% [3000, 5000] 16.4% [1500, 3000, 5000] | 31.0% [5000, 10,000] 15.9% [1500, 3000, 5000] 15.9% [5000] | 33.9% [5000, 10,000] 15.8% [1500, 3000, 5000, 10,000] 15.0% [1500, 3000, 5000] | 28.7% [5000, 10,000] 28.4% [1500, 3000, 5000, 10,000] 11.2% [3000, 5000, 10,000] | |
| 10,000 m | 47.2% [5000, 10,000] 32.7% [10,000] 12.7% [3000, 5000, 10,000] | 49.6% [5000, 10,000] 29.3% [10,000] 13.9% [3000, 5000, 10,000] | 54.1% [5000, 10,000] 18.7% [10,000] 13.4% [1500, 3000, 5000, 10,000] | 48.3% [5000, 10,000] 25.4% [1500, 3000, 5000, 10,000] 15.8% [3000, 5000, 10,000] | |
Disclaimer/Publisher’s Note: The statements, opinions and data contained in all publications are solely those of the individual author(s) and contributor(s) and not of MDPI and/or the editor(s). MDPI and/or the editor(s) disclaim responsibility for any injury to people or property resulting from any ideas, methods, instructions or products referred to in the content. |
© 2024 by the authors. Licensee MDPI, Basel, Switzerland. This article is an open access article distributed under the terms and conditions of the Creative Commons Attribution (CC BY) license (https://creativecommons.org/licenses/by/4.0/).
Share and Cite
Born, D.-P.; Ruiz-Navarro, J.J.; Lorentzen, J.; Björklund, G. Specializing When It Counts: Comparing the Dose–Time Effect of Distance Variety between Swimming and Track Running. Sports 2024, 12, 272. https://doi.org/10.3390/sports12100272
Born D-P, Ruiz-Navarro JJ, Lorentzen J, Björklund G. Specializing When It Counts: Comparing the Dose–Time Effect of Distance Variety between Swimming and Track Running. Sports. 2024; 12(10):272. https://doi.org/10.3390/sports12100272
Chicago/Turabian StyleBorn, Dennis-Peter, Jesús J. Ruiz-Navarro, Jenny Lorentzen, and Glenn Björklund. 2024. "Specializing When It Counts: Comparing the Dose–Time Effect of Distance Variety between Swimming and Track Running" Sports 12, no. 10: 272. https://doi.org/10.3390/sports12100272
APA StyleBorn, D.-P., Ruiz-Navarro, J. J., Lorentzen, J., & Björklund, G. (2024). Specializing When It Counts: Comparing the Dose–Time Effect of Distance Variety between Swimming and Track Running. Sports, 12(10), 272. https://doi.org/10.3390/sports12100272

