From Strikers to Keepers: Somatotype of Football Players from Slovakia
Abstract
1. Introduction
2. Materials and Methods
2.1. Anthropometry
- -
- ENDOMORPHY** = −0.7182 + 0.1451 × X − 0.00068 × X2 + 0.0000014 × X3, where X = (170.18/height in cm) × (TS + SaS + SiS in mm).
- -
- MESOMORPHY** = (0.858 × EWH) + (0.601 × EWF) + (0.188 × BC) + (0.161 × CC) − (0.131 × height) + 4.5.
- -
- -
- HWR = height/weight1/3.
- -
- If HWR ≥ 40.75, then ectomorphy = 0.732 × HWR − 28.58.
- -
- If HWR < 40.75 and > 38.25, then ectomorphy = 0.463 × HWR − 17.63.
- -
- If HWR ≤ 38.25, then ectomorphy = 0.1.
2.2. Statistical Analysis
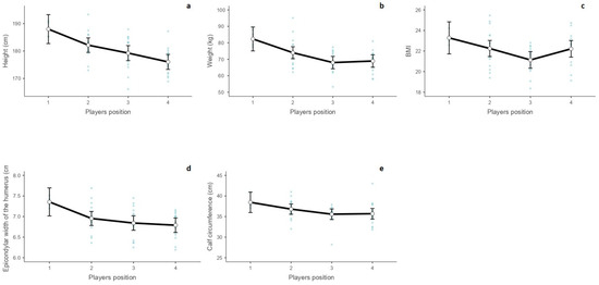
3. Results
4. Discussion
Strengths and Weaknesses of the Study
5. Conclusions
Supplementary Materials
Author Contributions
Funding
Institutional Review Board Statement
Informed Consent Statement
Data Availability Statement
Conflicts of Interest
References
- Okilanda, A.; Suryadi, D.; Suganda, M.A.; Ihsan, N.; Yanti, N.; Rubiyatno, R.; Widyastuti, S.R.; Sumantri, R.J. Analysis of somatotype profile of Tarung Derajat arts: A comprative study between movement and combat arts categories. Fizjoterapia Polska. 2023, 23, 26–32. [Google Scholar] [CrossRef]
- Cinarli, F.S.; Buyukcelebi, H.; Esen, O.; Barasinska, M.; Cepicka, L.; Gabrys, T.; Nalbant, U.; Karayigit, R. Does dominant somatotype differentiate performance of jumping and sprinting variables in young healthy adults? Int. J. Environ. Res. Public Health 2022, 19, 11873. [Google Scholar] [CrossRef] [PubMed]
- Jakovljević, V.; Bošnjak, G.; Pašić, G.; Tešanović, G. Roll of Somatotype in Sport Selection. Acta Kinesiol. 2022, 16, 84–92. [Google Scholar] [CrossRef]
- Noutsos, K.S.; Meletakos, P.; Manasis, V.; Papadopoulou, P.; Bayios, I. Effect of somatotype on the general physical fitness tests and throwing velocity on handball. Motriz Rev. Educ. Fis. 2022, 28, e10220009522. [Google Scholar] [CrossRef]
- Moya-Amaya, H.; Molina-López, A.; Berral-Aguilar, A.J.; Rojano-Ortega, D.; Berral-De-La-Rosa, F.J. Migración del Somatotipo en Jugadores de Fútbol Profesional en las Últimas Décadas. Int. J. Morphol. 2022, 40, 327–333. [Google Scholar] [CrossRef]
- Petković, E.; Bubanj, S.; Marković, K.; Kocić, M.; Stanković, D. Position-related somatotype of elite female handball players. Acta Fac. Med. Naissensis 2019, 36, 316–325. [Google Scholar] [CrossRef]
- Juárez-Toledo, L.; Domínguez-García, M.; Laguna-Camacho, A.; Sotomayor-Serrano, N.; Balbás-Lara, F. Somatotipo y dermatoglifia dactilar en futbolistas mexicanos/somatotype and digital dermatoglyphic in mexican football players. Rev. Int. Med. Cienc. Act. Fís. Deporte. 2018, 18, 383–393. [Google Scholar] [CrossRef]
- Caballero-Ruíz, A.; Carrasco-Legleu, C.E.; De León, L.G.; Candia-Luján, R.; Ortiz-Rodríguez, B. Somatotipo de mujeres futbolistas universitarias por posición en el terreno de juego (Somatotype of university female soccer players by playing position on the field). Retos Digit./Retos 2019, 36, 228–230. [Google Scholar] [CrossRef]
- Ferreira, J.S.; Melnikov, P. Características antropométricas e bioquímicas de atletas de futebol. Cons Saúde 2012, 11, 331–337. [Google Scholar] [CrossRef]
- Grigoryan, S. Concept of optimal body composition of professional football players. Georgian Med. News 2011, 198, 23–28. [Google Scholar]
- Yang, S.; Chen, H. Physical characteristics of elite youth male football players aged 13–15 are based upon biological maturity. PeerJ 2022, 10, e13282. [Google Scholar] [CrossRef] [PubMed]
- Carter, J.E.L. The Heath-Carter Anthropometric Somatotype: Instruction Manual; San Diego State University: San Diego, CA, USA, 2002; 26p, ISBN 92182-7251. Available online: https://www.mdthinducollege.org/ebooks/statistics/Heath-CarterManual.pdf (accessed on 10 July 2024).
- Tóth, T.; Michalíková, M.; Bednarčíková, L.; Živčák, J.; Kneppo, P. Somatotypes in sport. Acta Mech. Autom. 2014, 8, 27–32. [Google Scholar] [CrossRef]
- Penxa, A. Shklyn.github. 2023. Available online: https://shklyn.github.io/somatotype/?fbclid=IwAR2AgCiHw3PN3FQ7Y1Zfh78InG56oRBPn3nKpWAQoG5WcujbxCYJPILQf6A (accessed on 18 July 2024).
- Gil, S.M.; Gil, J.; Ruiz, F.; Irazusta, A.; Irazusta, J. Physiological and anthropometric characteristics of young soccer players according to their playing position: Relevance for the selection process. J. Strength Cond. Res. 2007, 21, 438–445. [Google Scholar] [CrossRef]
- Gontarev, S.; Kalac, R.; Zivkovic, V.; Ameti, V.; Redjepi, A. Anthropometrical characteristics and somatotype of young Macedonian soccer players. Int. J. Morphol. 2016, 34, 160–167. [Google Scholar] [CrossRef]
- Bandyopadhyay, A. Anthropometry and body composition in soccer and volleyball players in West Bengal, India. J. Physiol. Anthropol. 2007, 26, 501–505. [Google Scholar] [CrossRef] [PubMed]
- Zombra, Ž. Differences in body composition between soccer players and non-athletes. Sport SPA 2019, 16, 47–52. Available online: http://sportspa.ftos.untz.ba/images/june2019/Article-07-jun-2019.pdf (accessed on 7 July 2024).
- WHO. BMI for Age (5–19 Years). 2007. Available online: https://www.who.int/tools/growth-reference-data-for-5to19-years/indicators/bmi-for-age (accessed on 11 June 2024).
- Humphreys, S. The unethical use of BMI in contemporary general practice. Br. J. Gen. Pract. 2010, 60, 696–697. [Google Scholar] [CrossRef]
- Gutnik, B.; Zuoza, A.; Zuozienė, I.; Alekrinskis, A.; Nash, D.; Scherbina, S. Body physique and dominant somatotype in elite and low-profile athletes with different specializations. Medicina 2015, 51, 247–252. [Google Scholar] [CrossRef]
- Kaplánová, A.; Šagát, P.; Gonzalez, P.P.; Bartík, P.; Zvonař, M. Somatotype profiles of Slovak and Saudi Arabian male soccer players according to playing positions. Kinesiology 2020, 52, 143–150. [Google Scholar] [CrossRef]
- Perroni, F.; Vetrano, M.; Camolese, G.; Guidetti, L.; Baldari, C. Anthropometric and somatotype characteristics of young soccer players. J. Strength Cond. Res. 2015, 29, 2097–2104. [Google Scholar] [CrossRef]
- Lago-Peñas, C.; Casais, L.; Dellal, A.; Rey, E.; Domínguez, E. Anthropometric and physiological characteristics of young soccer players according to their playing positions: Relevance for competition success. J. Strength Cond. Res. 2011, 25, 3358–3367. [Google Scholar] [CrossRef] [PubMed]
- Psotta, R. Fotbal: Kondiční Trénink; [Football: Fitness Training]; Grada Publishing, A.S.: Prague, Czech Republic, 2006; p. 220. ISBN 978-80-247-6569-3. [Google Scholar]
- Cavia, M.; Moreno, A.; Fernández-Trabanco, B.; Carrillo, C.; Alonso-Torre, S. Anthropometric characteristics and somatotype of professional soccer players by position. J. Sports Med. Ther. 2019, 4, 73–80. [Google Scholar] [CrossRef]
- Fidelix, Y.L.; Berria, J.; Ferrari, E.P.; Ortiz, J.G.; Cetolin, T.; Petroski, E.L. Somatotype of competitive youth soccer players from Brazil. J. Hum. Kinet. 2014, 42, 259–266. [Google Scholar] [CrossRef] [PubMed][Green Version]
- Hazir, T. Physical Characteristics and Somatotype of Soccer Players according to Playing Level and Position. J. Hum. Kinet. 2010, 26, 83–95. [Google Scholar] [CrossRef]
- Nikolaidis, P.T.; Karydis, N.V. Physique and Body Composition in Soccer Players across Adolescence. Asian J. Sports Med. 2011, 2, 75–82. [Google Scholar] [CrossRef]
- Erceg, S.M.; Grgantov, Z.; Milić, M. Somatotype of Croatian amateur soccer players—Positional differences. Indian J. Appl. Res. 2011, 3, 246–248. [Google Scholar] [CrossRef]
- Bělík, P. Konstituce u Chlapců ze Sportovních Fotbalových Tříd [Body Building of the Boys Sports Football Classes]. Bachelor’s Thesis, Univerzita Palackého, Olomouc, Czech Republic, 2014; p. 54. Available online: https://theses.cz/id/h3reth/14206850 (accessed on 16 May 2024).
- Medvecká, B. Vztah Somatotypu a Povrchu Těla u Dospívajících Hráčů Fotbalu. [The Relationship between the Somatotype and the Body Surface of Adolescent Soccer Players]. Diploma Thesis, Masarykova univerzita, Brno, Czech Republic, 2021; p. 136. Available online: https://is.muni.cz/th/fio91/Vztah_somatotypu_a_povrchu_tela_u_dospivajicich_hracu_fotbalu.pdf (accessed on 22 May 2024).
- Ciftci, R.; Kurtoglu, A. Examination of the Effect of Somatotype Profiles on Athletic Performance Indicators in Children Aged 48–72 Months. Cureus 2023, 15, e45430. [Google Scholar] [CrossRef]
- Ingleman, J.; Parker, C.; Coyer, F. Exploring body morphology, sacral skin microclimate and pressure injury development and risk among patients admitted to an intensive care unit: A prospective, observational study. Intensive Crit. Care Nurs. 2024, 81, 103604. [Google Scholar] [CrossRef]



| Percentiles | ||||||||||
|---|---|---|---|---|---|---|---|---|---|---|
| Parameter | Group | n | Mean | Median | SD | Min | Max | 25th | 75th | p |
| Age | A | 50 | 16.88 | 17 | 1.288 | 15 | 19 | 16 | 18 | 0.829 |
| B | 50 | 16.82 | 17 | 1.19 | 15 | 19 | 16 | 18 | ||
| Height (cm) | A | 50 | 179.91 | 180.2 | 6.112 | 166.1 | 193.3 | 174.95 | 184.18 | 0.737 |
| B | 50 | 180.69 | 180.05 | 7.661 | 166.9 | 195.5 | 175.13 | 185.9 | ||
| Weight (kg) | A | 50 | 71.34 | 71 | 8.129 | 53.3 | 95.1 | 65.67 | 75.33 | 0.497 |
| B | 50 | 74.07 | 71.75 | 12.15 | 53 | 112.8 | 65.25 | 79.38 | ||
| BMI | A | 50 | 21.99 | 22.17 | 1.626 | 18.356 | 25.45 | 20.95 | 22.9 | 0.738 |
| B | 50 | 22.73 | 22.32 | 3.828 | 16.512 | 35.48 | 20.45 | 23.52 | ||
| TS (mm) | A | 50 | 6.66 | 6.65 | 2.084 | 3.3 | 11 | 5 | 8 | ≤0.001 |
| B | 50 | 11.7 | 10.65 | 4.1 | 5.3 | 22 | 9 | 14.93 | ||
| SsS (mm) | A | 50 | 6.37 | 6 | 1.206 | 4 | 10.1 | 5.6 | 7 | ≤0.001 |
| B | 50 | 9.78 | 9.15 | 3.981 | 5 | 24.6 | 7.08 | 10.3 | ||
| SiS (mm) | A | 50 | 5.87 | 5.5 | 2.138 | 3 | 13.7 | 4.3 | 7.3 | ≤0.001 |
| B | 50 | 11.26 | 10 | 5.486 | 4.3 | 28 | 7.08 | 13.82 | ||
| CS (mm) | A | 50 | 7.03 | 7.3 | 2.068 | 2.3 | 10.7 | 6 | 8.23 | ≤0.001 |
| B | 50 | 12.3 | 11.5 | 3.714 | 7 | 24.7 | 9.3 | 15 | ||
| EWH (cm) | A | 50 | 6.9 | 6.94 | 0.36 | 6.19 | 7.69 | 6.7 | 7.14 | 0.607 |
| B | 50 | 6.93 | 6.94 | 0.461 | 5.74 | 7.75 | 6.65 | 7.22 | ||
| EWF (cm) | A | 50 | 9.08 | 9.07 | 0.293 | 8.35 | 9.82 | 8.92 | 9.25 | 0.978 |
| B | 50 | 9.13 | 9 | 0.49 | 8.21 | 10.82 | 8.83 | 9.37 | ||
| BC (cm) | A | 50 | 32.08 | 32 | 2.77 | 27.5 | 38 | 29.38 | 34 | 0.751 |
| B | 50 | 32.03 | 31.25 | 3.54 | 25.2 | 41.5 | 29.52 | 34.55 | ||
| CC (cm) | A | 50 | 36.23 | 36.15 | 2.528 | 28.2 | 43 | 35 | 37.85 | 0.157 |
| B | 50 | 37.27 | 36.95 | 3.304 | 31.1 | 46.5 | 35 | 38.92 | ||
| EnC | A | 50 | 1.66 | 1.61 | 0.456 | 0.943 | 3.07 | 1.34 | 1.92 | ≤0.001 |
| B | 50 | 3.09 | 2.88 | 1.17 | 1.587 | 6.87 | 2.23 | 3.6 | ||
| MeC | A | 50 | 3.94 | 3.9 | 0.871 | 2.007 | 6.23 | 3.49 | 4.32 | 0.707 |
| B | 50 | 3.87 | 3.97 | 1.426 | 1.243 | 7.99 | 2.93 | 4.77 | ||
| EcC | A | 50 | 3.23 | 3.22 | 0.782 | 1.516 | 4.95 | 2.79 | 3.58 | 0.707 |
| B | 50 | 3.16 | 3.1 | 1.571 | 0.1 | 7.09 | 1.97 | 3.94 | ||
Disclaimer/Publisher’s Note: The statements, opinions and data contained in all publications are solely those of the individual author(s) and contributor(s) and not of MDPI and/or the editor(s). MDPI and/or the editor(s) disclaim responsibility for any injury to people or property resulting from any ideas, methods, instructions or products referred to in the content. |
© 2024 by the authors. Licensee MDPI, Basel, Switzerland. This article is an open access article distributed under the terms and conditions of the Creative Commons Attribution (CC BY) license (https://creativecommons.org/licenses/by/4.0/).
Share and Cite
Kolena, B.; Šviríková, B.; Vondráková, M. From Strikers to Keepers: Somatotype of Football Players from Slovakia. Sports 2024, 12, 271. https://doi.org/10.3390/sports12100271
Kolena B, Šviríková B, Vondráková M. From Strikers to Keepers: Somatotype of Football Players from Slovakia. Sports. 2024; 12(10):271. https://doi.org/10.3390/sports12100271
Chicago/Turabian StyleKolena, Branislav, Barbora Šviríková, and Mária Vondráková. 2024. "From Strikers to Keepers: Somatotype of Football Players from Slovakia" Sports 12, no. 10: 271. https://doi.org/10.3390/sports12100271
APA StyleKolena, B., Šviríková, B., & Vondráková, M. (2024). From Strikers to Keepers: Somatotype of Football Players from Slovakia. Sports, 12(10), 271. https://doi.org/10.3390/sports12100271

