Effects of Unilateral Muscle Fatigue on Thermographic Skin Surface Temperature of Back and Abdominal Muscles—A Pilot Study
Abstract
:1. Introduction
2. Materials and Methods
- Across three sets, the range of motion could not fully be maintained until the last repetition (tactile feedback);
- Execution was inaccurate across at least the last five repetitions of a set;
- The specified number of 20 repetitions could not be achieved over 3 sets;
- Exertion score of at least 8 on the OMNI scale [22].
3. Results
4. Discussion
5. Conclusions
Author Contributions
Funding
Institutional Review Board Statement
Informed Consent Statement
Data Availability Statement
Acknowledgments
Conflicts of Interest
References
- Carpes, F.P.; Mello-Carpes, P.B.; Priego Quesada, J.I.; Pérez-Soriano, P.; Salvador Palmer, R.; Ortiz de Anda, R.M.C. Insights on the use of thermography in human physiology practical classes. Adv. Physiol. Educ. 2018, 42, 521–525. [Google Scholar] [CrossRef] [PubMed]
- Hadžić, V.; Širok, B.; Malneršič, A.; Čoh, M. Can infrared thermography be used to monitor fatigue during exercise? A case study. J. Sport Health Sci. 2019, 8, 89–92. [Google Scholar] [CrossRef] [PubMed]
- Badza, V.; Jovancevic, V.; Fratric, F.; Roglic, G.; Sudarov, N. Possibilities of thermovision application in sport and sport rehabilitation. VSP 2012, 69, 904–907. [Google Scholar] [CrossRef]
- Hillen, B.; Pfirrmann, D.; Nägele, M.; Simon, P. Infrared Thermography in Exercise Physiology: The Dawning of Exercise Radiomics. Sports Med. 2020, 50, 263–282. [Google Scholar] [CrossRef]
- Gómez-Carmona, P.; Fernández-Cuevas, I.; Sillero-Quintana, M.; Arnaiz-Lastras, J.; Navandar, A. Infrared Thermography Protocol on Reducing the Incidence of Soccer Injuries. J. Sport Rehabil. 2020, 29, 1222–1227. [Google Scholar] [CrossRef]
- Côrte, A.C.; Pedrinelli, A.; Marttos, A.; Souza, I.F.G.; Grava, J.; José Hernandez, A. Infrared thermography study as a complementary method of screening and prevention of muscle injuries: Pilot study. BMJ Open Sport Exerc. Med. 2019, 5, e000431. [Google Scholar] [CrossRef] [Green Version]
- Hildebrandt, C.; Zeilberger, K.; John Ring, E.F.; Raschner, C. The Application of Medical Infrared Thermography in Sports Medicine. In An International Perspective on Topics in Sports Medicine and Sports Injury; Zaslav, K.R., Ed.; InTech: Rijeka, Croatia, 2012; ISBN 978-953-51-0005-8. [Google Scholar]
- Al-Nakhli, H.H.; Petrofsky, J.S.; Laymon, M.S.; Berk, L.S. The use of thermal infra-red imaging to detect delayed onset muscle soreness. J. Vis. Exp. 2012, 59, 3551. [Google Scholar] [CrossRef] [Green Version]
- Stewart, I.B.; Moghadam, P.; Borg, D.N.; Kung, T.; Sikka, P.; Minett, G.M. Thermal Infrared Imaging Can Differentiate Skin Temperature Changes Associated With Intense Single Leg Exercise, But Not With Delayed Onset of Muscle Soreness. J. Sports Sci. Med. 2020, 19, 469–477. [Google Scholar]
- Ferreira-Júnior, J.B.; Chaves, S.F.N.; Pinheiro, M.H.A.; Rezende, V.H.S.; Freitas, E.D.S.; Marins, J.C.B.; Bara-Filho, M.G.; Vieira, A.; Bottaro, M.; Costa, C.M.A. Is skin temperature associated with muscle recovery status following a single bout of leg press? Physiol. Meas. 2021, 42, 034002. [Google Scholar] [CrossRef]
- Jones, T.W.; Shillabeer, B.C.; Cardinale, M. Skin Temperature, Training Load, and Subjective Muscle Soreness in Junior Endurance Athletes: A Case Study. Int. J. Sports Physiol. Perform. 2020, 15, 1–4. [Google Scholar] [CrossRef]
- Bartuzi, P.; Roman-Liu, D.; Wiśniewski, T. The influence of fatigue on muscle temperature. Int. J. Occup. Saf. Ergon. 2012, 18, 233–243. [Google Scholar] [CrossRef] [PubMed] [Green Version]
- Shakhih, M.F.M.; Ridzuan, N.; Wahab, A.A.; Zainuddin, N.F.; Delestri, L.F.U.; Rosslan, A.S.; Kadir, M.R.A. Non-obstructive monitoring of muscle fatigue for low intensity dynamic exercise with infrared thermography technique. Med. Biol. Eng. Comput. 2021, 59, 1447–1459. [Google Scholar] [CrossRef] [PubMed]
- Rodrigues Júnior, J.L.; Duarte, W.; Falqueto, H.; Andrade, A.G.P.; Morandi, R.F.; Albuquerque, M.R.; de Assis, M.G.; Serpa, T.K.F.; Pimenta, E.M. Correlation between strength and skin temperature asymmetries in the lower limbs of Brazilian elite soccer players before and after a competitive season. J. Therm. Biol. 2021, 99, 102919. [Google Scholar] [CrossRef] [PubMed]
- Priego-Quesada, J.I.; de La Fuente, C.; Kunzler, M.R.; Perez-Soriano, P.; Hervás-Marín, D.; Carpes, F.P. Relationship between Skin Temperature, Electrical Manifestations of Muscle Fatigue, and Exercise-Induced Delayed Onset Muscle Soreness for Dynamic Contractions: A Preliminary Study. Int. J. Environ. Res. Public Health 2020, 17, 6817. [Google Scholar] [CrossRef]
- Chudecka, M.; Lubkowska, A.; Leźnicka, K.; Krupecki, K. The Use of Thermal Imaging in the Evaluation of the Symmetry of Muscle Activity in Various Types of Exercises (Symmetrical and Asymmetrical). J. Hum. Kinet. 2015, 49, 141–147. [Google Scholar] [CrossRef] [Green Version]
- Mendonça Teixeira, R.; Dellagrana, R.A.; Priego-Quesada, J.I.; Machado, J.C.B.P.; Da Fernandes Silva, J.; Pacheco Dos Reis, T.M.; Rossato, M. Muscular Strength Imbalances Are not Associated with Skin Temperature Asymmetries in Soccer Players. Life 2020, 10, 102. [Google Scholar] [CrossRef]
- Trecroci, A.; Formenti, D.; Ludwig, N.; Gargano, M.; Bosio, A.; Rampinini, E.; Alberti, G. Bilateral asymmetry of skin temperature is not related to bilateral asymmetry of crank torque during an incremental cycling exercise to exhaustion. PeerJ 2018, 6, e4438. [Google Scholar] [CrossRef] [Green Version]
- Faul, F.; Erdfelder, E.; Lang, A.-G.; Buchner, A. G*Power 3: A flexible statistical power analysis program for the social, behavioral, and biomedical sciences. Behav. Res. Methods 2007, 39, 175–191. [Google Scholar] [CrossRef]
- World Medical Association Declaration of Helsinki: Ethical principles for medical research involving human subjects. JAMA 2013, 310, 2191–2194. [CrossRef] [Green Version]
- Moreira, D.G.; Costello, J.T.; Brito, C.J.; Adamczyk, J.G.; Ammer, K.; Bach, A.J.E.; Costa, C.M.A.; Eglin, C.; Fernandes, A.A.; Fernández-Cuevas, I.; et al. Thermographic imaging in sports and exercise medicine: A Delphi study and consensus statement on the measurement of human skin temperature. J. Therm. Biol. 2017, 69, 155–162. [Google Scholar] [CrossRef]
- Robertson, R.J. Perceived Exertion for Practitioners: Rating Effort with the OMNI Picture System; Human Kinetics: Champaign, IL, USA, 2004; ISBN 9780736048378. [Google Scholar]
- Silva, Y.A.; Santos, B.H.; Andrade, P.R.; Santos, H.H.; Moreira, D.G.; Sillero-Quintana, M.; Ferreira, J.J.A. Skin temperature changes after exercise and cold water immersion. Sport Sci. Health 2017, 13, 195–202. [Google Scholar] [CrossRef]
- McNair, D.; Lorr, M.; Droppleman, L. Manual for the Profile of Mood States; Educational and Industrial Testing Service: San Diego, CA, USA, 1971. [Google Scholar]
- Vickers, A.J. Comparison of an ordinal and a continuous outcome measure of muscle soreness. Int. J. Technol. Assess. Health Care 1999, 15, 709–716. [Google Scholar] [CrossRef] [PubMed]
- Salamunes, A.C.C.; Stadnik, A.M.W.; Neves, E.B. The effect of body fat percentage and body fat distribution on skin surface temperature with infrared thermography. J. Therm. Biol. 2017, 66, 1–9. [Google Scholar] [CrossRef]
- Fernandes, A.D.A.; Amorim, P.R.D.S.; Brito, C.J.; Sillero-Quintana, M.; Bouzas Marins, J.C. Regional Skin Temperature Response to Moderate Aerobic Exercise Measured by Infrared Thermography. Asian J. Sports Med. 2016, 7, e29243. [Google Scholar] [CrossRef] [PubMed] [Green Version]
- Kenny, G.P.; Jay, O. Evidence of a greater onset threshold for sweating in females following intense exercise. Eur. J. Appl. Physiol. 2007, 101, 487–493. [Google Scholar] [CrossRef]
- Escamilla-Galindo, V.L.; Estal-Martínez, A.; Adamczyk, J.G.; Brito, C.J.; Arnaiz-Lastras, J.; Sillero-Quintana, M. Skin temperature response to unilateral training measured with infrared thermography. J. Exerc. Rehabil. 2017, 13, 526–534. [Google Scholar] [CrossRef] [Green Version]
- Formenti, D.; Ludwig, N.; Trecroci, A.; Gargano, M.; Michielon, G.; Caumo, A.; Alberti, G. Dynamics of thermographic skin temperature response during squat exercise at two different speeds. J. Therm. Biol. 2016, 59, 58–63. [Google Scholar] [CrossRef]
- Ioannou, L.G.; Tsoutsoubi, L.; Mantzios, K.; Gkikas, G.; Piil, J.F.; Dinas, P.C.; Notley, S.R.; Kenny, G.P.; Nybo, L.; Flouris, A.D. The Impacts of Sun Exposure on Worker Physiology and Cognition: Multi-Country Evidence and Interventions. Int. J. Environ. Res. Public Health 2021, 18, 7698. [Google Scholar] [CrossRef]
- Dindorf, C.; Konradi, J.; Wolf, C.; Taetz, B.; Bleser, G.; Huthwelker, J.; Werthmann, F.; Bartaguiz, E.; Kniepert, J.; Drees, P.; et al. Classification and Automated Interpretation of Spinal Posture Data Using a Pathology-Independent Classifier and Explainable Artificial Intelligence (XAI). Sensors 2021, 21, 6323. [Google Scholar] [CrossRef]





| Min | Max | Mean | |
|---|---|---|---|
| Age (years) | 19 | 34 | 22.63 ± 3.91 |
| Height (cm) | 154.00 | 189.00 | 173.36 ± 9.95 |
| Weight (kg) | 52.60 | 106.10 | 71.89 ± 12.97 |
| Body fat (%) | 6.00 | 39.40 | 20.92 ± 9.58 |
| Muscle mass (kg) | 14.00 | 52.60 | 31.48 ± 8.70 |
| Pre | Post | Follow-Up | ||||
|---|---|---|---|---|---|---|
| M | SD | M | SD | M | SD | |
| Upper treatment side back (Area 1) | 31.48 | 1.06 | 30.42 | 1.42 | 31.44 | 0.97 |
| Upper non-treatment side back (Area 2) | 31.48 | 1.05 | 29.88 | 1.22 | 31.48 | 1.04 |
| Lower treatment side back (Area 3) | 31.38 | 1.05 | 30.04 | 1.18 | 31.22 | 1.06 |
| Lower non-treatment side back (Area 4) | 31.43 | 1.03 | 29.72 | 1.13 | 31.26 | 1.07 |
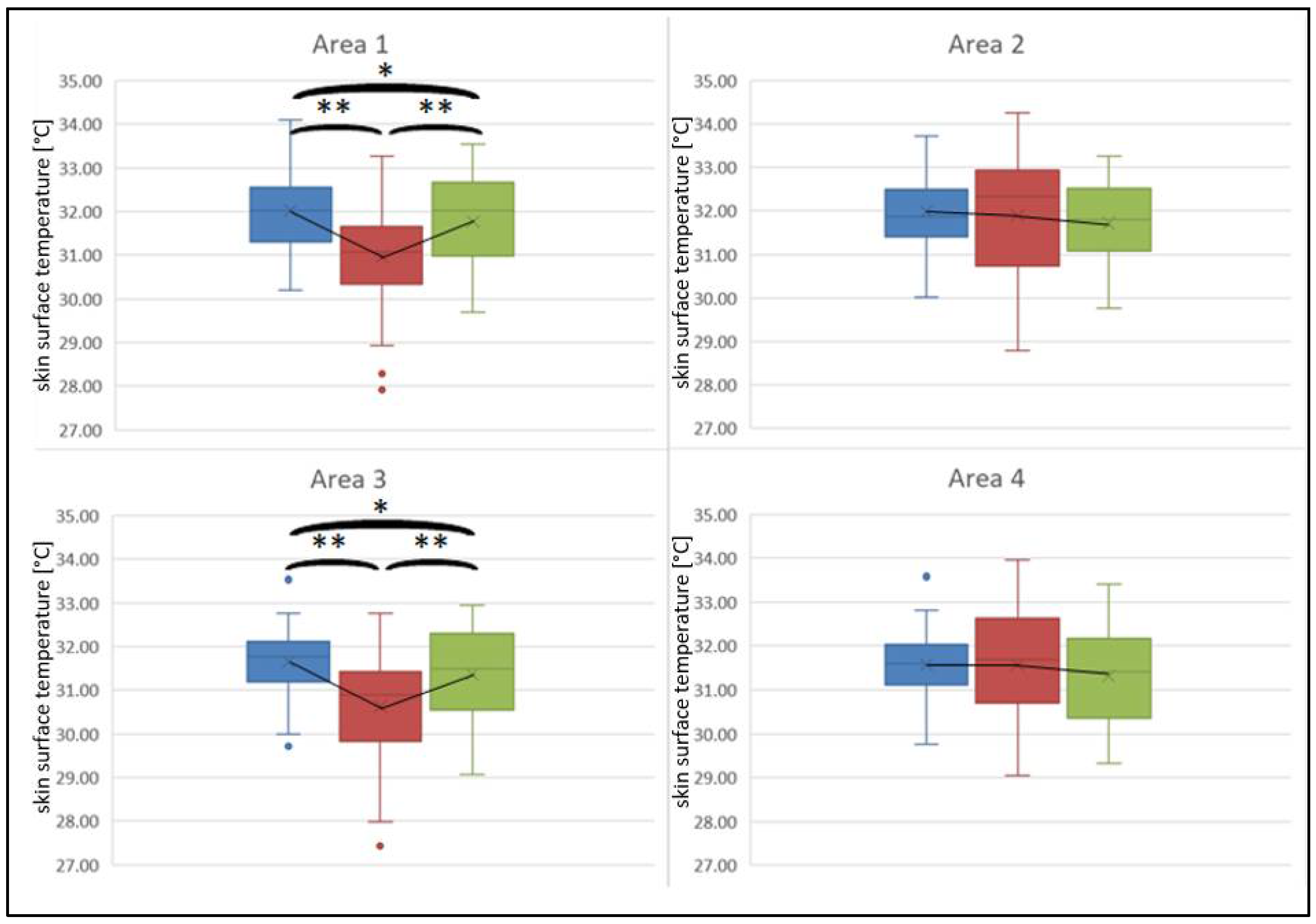
| Upper treatment side abdomen (Area 1) | 32.01 | 0.95 | 30.97 | 1.23 | 31.77 | 1.01 |
| Upper non-treatment side abdomen (Area 2) | 31.98 | 0.92 | 31.89 | 1.34 | 31.72 | 0.98 |
| Lower treatment side abdomen (Area 3) | 31.65 | 0.89 | 30.62 | 1.23 | 31.36 | 1.07 |
| Lower non-treatment side abdomen (Area 4) | 31.57 | 0.88 | 31.57 | 1.27 | 31.32 | 1.04 |
Publisher’s Note: MDPI stays neutral with regard to jurisdictional claims in published maps and institutional affiliations. |
© 2022 by the authors. Licensee MDPI, Basel, Switzerland. This article is an open access article distributed under the terms and conditions of the Creative Commons Attribution (CC BY) license (https://creativecommons.org/licenses/by/4.0/).
Share and Cite
Dindorf, C.; Bartaguiz, E.; Janowicz, E.; Fröhlich, M.; Ludwig, O. Effects of Unilateral Muscle Fatigue on Thermographic Skin Surface Temperature of Back and Abdominal Muscles—A Pilot Study. Sports 2022, 10, 41. https://doi.org/10.3390/sports10030041
Dindorf C, Bartaguiz E, Janowicz E, Fröhlich M, Ludwig O. Effects of Unilateral Muscle Fatigue on Thermographic Skin Surface Temperature of Back and Abdominal Muscles—A Pilot Study. Sports. 2022; 10(3):41. https://doi.org/10.3390/sports10030041
Chicago/Turabian StyleDindorf, Carlo, Eva Bartaguiz, Elena Janowicz, Michael Fröhlich, and Oliver Ludwig. 2022. "Effects of Unilateral Muscle Fatigue on Thermographic Skin Surface Temperature of Back and Abdominal Muscles—A Pilot Study" Sports 10, no. 3: 41. https://doi.org/10.3390/sports10030041
APA StyleDindorf, C., Bartaguiz, E., Janowicz, E., Fröhlich, M., & Ludwig, O. (2022). Effects of Unilateral Muscle Fatigue on Thermographic Skin Surface Temperature of Back and Abdominal Muscles—A Pilot Study. Sports, 10(3), 41. https://doi.org/10.3390/sports10030041

