Effect of the Reduction in Training Volume during the COVID-19 Era on Performance in 100-m and 400-m Freestyle Events in Greek Swimming Championships
Abstract
1. Introduction
2. Materials and Methods
2.1. Coaches
2.2. Swimmers
2.3. Statistical Analysis
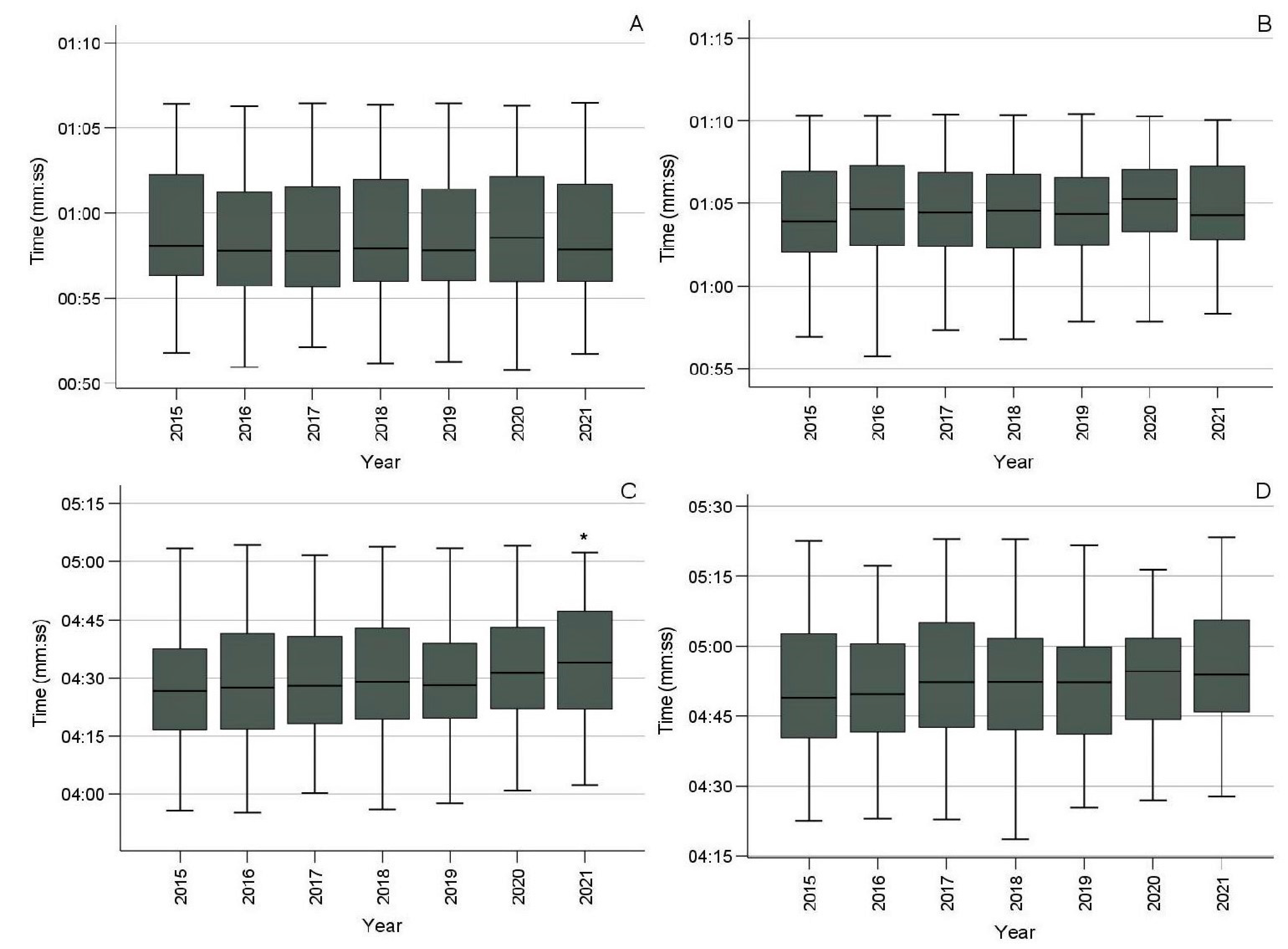
3. Results
3.1. Training and Competitive Seasons before and during the COVID-19 Era
3.2. Coaches’ Evaluation of the Training Process
3.3. Swimmers’ Participation in Championships and Performance
4. Discussion
5. Conclusions
Author Contributions
Funding
Institutional Review Board Statement
Informed Consent Statement
Data Availability Statement
Conflicts of Interest
References
- Pla, R.; Bosquet, L.; McGibbon, K.; Mujika, I.; Aubry, A. Heart Rate Variability in Elite Swimmers before, during and after COVID-19 Lockdown: A Brief Report on Time Domain Analysis. Appl. Sci. 2021, 11, 8106. [Google Scholar] [CrossRef]
- Hassanin, R.; Light, R.L. The use of habitus in research on experience and coach development. In Proceedings of the Australian Association for Research in Education (AARE) Conference Proceedings, Sydney, Australia, 2–6 December 2012; Available online: https://eric.ed.gov/?id=ED544479 (accessed on 17 October 2021).
- Lang, M.; Light, R. Interpreting and implementing the long-term Athlete development Model: English Swimming Coaches’ views on THE (Swimming) LTAD in practice. Int. J. Sports Sci. Coach. 2010, 5, 389–402. [Google Scholar] [CrossRef]
- Nugent, F.J.; Comyns, T.M.; Warrington, G.D. Quality versus quantity debate in swimming: Perceptions and training practices of expert swimming coaches. J. Hum. Kinet. 2017, 57, 147–158. [Google Scholar] [CrossRef] [PubMed][Green Version]
- Mujika, I.; Chatard, J.C.; Busso, T.; Geyssant, A.; Barale, F.; Lacoste, L. Effects of training on performance in competitive swimming. Can. J. Appl. Physiol. 1995, 20, 395–406. [Google Scholar] [CrossRef] [PubMed]
- Zacca, R.; Toubekis, A.; Freitas, L.; Silva, A.F.; Azevedo, R.; Vilas-Boas, J.P.; Pyne, D.B.; Castro, F.A.; Fernandes, R.J. Effects of detraining in age-group swimmers’ performance, energetics and kinematics. J. Sports Sci. 2019, 37, 1490–1498. [Google Scholar] [CrossRef] [PubMed]
- Costa, M.J.; Dias, P.; Neiva, H.P.; Marinho, D.A.; Barbosa, T.M. Can the summer break affect critical and maximal instantaneous velocity of young swimmers? Motricidade 2019, 15 (Suppl. S1), 77. [Google Scholar]
- Ormsbee, M.J.; Arciero, P.J. Detraining increases body fat and weight and Decreases VO2 peak and metabolic rate. J. Strength Cond. Res. 2012, 26, 2087–2095. [Google Scholar] [CrossRef] [PubMed]
- Saavedra, J.M.; Escalante, Y.; Rodríguez, F.A. A multivariate analysis of performance in young swimmers. Pediatr. Exerc. Sci. 2010, 22, 135–151. [Google Scholar] [CrossRef] [PubMed]
- Toubekis, A.G.; Tsami, A.P.; Smilios, I.G.; Douda, H.T.; Tokmakidis, S.P. Training-induced changes on blood lactate profile and critical velocity in young swimmers. J. Strength Cond. Res. 2011, 25, 1563–1570. [Google Scholar] [CrossRef] [PubMed]
- Vaccaro, P.; Clarke, D.H.; Morris, A.F. Physiological characteristics of young well-trained swimmers. Eur. J. Appl. Physiol. Occup. Physiol. 1980, 44, 61–66. [Google Scholar] [CrossRef]
- Morais, J.E.; Silva, A.J.; Marinho, D.A.; Lopes, V.P.; Barbosa, T.M. Determinant factors of long-term performance development in young swimmers. Int. J. Sports Physiol. Perform. 2017, 12, 198–205. [Google Scholar] [CrossRef] [PubMed]
- Sweetenham, B.; Atkinson, J. Training Systems. In Championship Swim Training; Human Kinetics: Champaign, IL, USA, 2003; pp. 3–16. ISBN 9780736045438. [Google Scholar]
- Vorontsov, A. Development of basic and special endurance in age-group swimmers: A Russian perspective. In Swimming Science Bulletin; Rushall, B.S., Ed.; San Diego State University: San Diego, CA, USA, 1997; Available online: https://coachsci.sdsu.edu/swim/bullets/voront16.htm (accessed on 17 October 2021).
- Amaro, N.M.; Marinho, D.A.; Marques, M.C.; Batalha, N.P.; Morouço, P.G. Effects of dry-land strength and conditioning programs in age group swimmers. J. Strength Cond. Res. 2017, 31, 2447–2454. [Google Scholar] [CrossRef] [PubMed]
- Garrido, N.; Marinho, D.A.; Reis, V.M.; van den Tillaar, R.; Costa, A.M.; Silva, A.J.; Marques, M.C. Does combined dry land strength and aerobic training inhibit performance of young competitive swimmers? J. Sports Sci. Med. 2010, 9, 300–310. [Google Scholar] [PubMed]
- Mujika, I.; Padilla, S. Detraining: Loss of training-induced physiological and performance adaptations. Part II. Sports Med. 2000, 30, 145–154. [Google Scholar] [CrossRef] [PubMed]
- Chatard, J.C.; Stewart, A.M. Training load and performance in swimming. In World Book of Swimming: From Science to Performance; Seifert, L., Chollet, D., Mujika, I., Eds.; Nova Science Publishers, Inc.: Hauppauge, NY, USA, 2011; pp. 359–374. ISBN 978-1-61668-202-6. [Google Scholar]
- Zacca, R.; Azevedo, R.; Chainok, P.; Vilas-Boas, J.P.; Castro, F.A.; Pyne, D.B.; Fernandes, R.J. Monitoring age-group swimmers over a training macrocycle: Energetics, technique, and anthropometrics. J. Strength Cond. Res. 2020, 34, 818–827. [Google Scholar] [CrossRef] [PubMed]




| Category | 13 y Male | 14 y Male | 15–16 y Male | 17–18 y Male | 13 y Female | 14 y Female | 15–16 y Female | 17–18 y Female | |||||||||
|---|---|---|---|---|---|---|---|---|---|---|---|---|---|---|---|---|---|
| Event | 100 | 400 | 100 | 400 | 100 | 400 | 100 | 400 | 100 | 400 | 100 | 400 | 100 | 400 | 100 | 400 | |
| 2015 | S | 24 | 31 | 33 | 34 | 16 | 15 | 21 | 15 | 29 | 14 | 20 | 14 | 22 | 20 | 15 | 10 |
| N | 17 | 10 | 22 | 10 | 9 | 8 | 12 | 4 | 15 | 12 | 9 | 8 | 15 | 8 | 6 | 5 | |
| 2016 | S | 19 | 25 | 35 | 16 | 20 | 13 | 24 | 20 | 27 | 16 | 33 | 13 | 25 | 21 | 13 | 7 |
| N | 12 | 20 | 17 | 19 | 11 | 13 | 15 | 8 | 18 | 14 | 15 | 12 | 29 | 10 | 5 | 5 | |
| 2017 | S | 20 | 31 | 35 | 26 | 13 | 17 | 27 | 9 | 30 | 20 | 25 | 19 | 35 | 17 | 13 | 9 |
| N | 14 | 14 | 14 | 15 | 12 | 11 | 18 | 8 | 15 | 12 | 22 | 15 | 22 | 10 | 13 | 4 | |
| 2018 | S | 24 | 25 | 28 | 27 | 15 | 20 | 26 | 15 | 25 | 21 | 37 | 15 | 24 | 24 | 11 | 10 |
| N | 12 | 17 | 20 | 2 | 13 | 12 | 10 | 4 | 18 | 12 | 17 | 11 | 19 | 16 | 10 | 5 | |
| 2019 | S | 29 | 30 | 32 | 28 | 18 | 14 | 23 | 12 | 2 | 21 | 39 | 22 | 37 | 29 | 12 | 3 |
| N | 14 | 19 | 24 | 27 | 14 | 13 | 11 | 6 | 21 | 10 | 23 | 17 | 24 | 22 | 9 | 4 | |
| 2020 | S | 26 | 37 | 32 | 24 | 12 | 18 | 25 | 7 | 40 | 19 | 35 | 14 | 36 | 23 | 9 | 6 |
| N | 15 | 22 | 19 | 14 | 11 | 6 | 9 | 5 | 20 | 14 | 20 | 6 | 19 | 13 | 3 | 6 | |
| 2021 | S | 30 | 33 | 47 | 16 | 22 | 20 | 22 | 10 | 21 | 16 | 49 | 18 | 39 | 21 | 12 | 8 |
| N | 11 | 15 | 23 | 14 | 8 | 9 | 11 | 7 | 17 | 9 | 21 | 10 | 23 | 8 | 9 | 4 | |
Publisher’s Note: MDPI stays neutral with regard to jurisdictional claims in published maps and institutional affiliations. |
© 2022 by the authors. Licensee MDPI, Basel, Switzerland. This article is an open access article distributed under the terms and conditions of the Creative Commons Attribution (CC BY) license (https://creativecommons.org/licenses/by/4.0/).
Share and Cite
Tsalis, G.; Mougios, V. Effect of the Reduction in Training Volume during the COVID-19 Era on Performance in 100-m and 400-m Freestyle Events in Greek Swimming Championships. Sports 2022, 10, 40. https://doi.org/10.3390/sports10030040
Tsalis G, Mougios V. Effect of the Reduction in Training Volume during the COVID-19 Era on Performance in 100-m and 400-m Freestyle Events in Greek Swimming Championships. Sports. 2022; 10(3):40. https://doi.org/10.3390/sports10030040
Chicago/Turabian StyleTsalis, George, and Vassilis Mougios. 2022. "Effect of the Reduction in Training Volume during the COVID-19 Era on Performance in 100-m and 400-m Freestyle Events in Greek Swimming Championships" Sports 10, no. 3: 40. https://doi.org/10.3390/sports10030040
APA StyleTsalis, G., & Mougios, V. (2022). Effect of the Reduction in Training Volume during the COVID-19 Era on Performance in 100-m and 400-m Freestyle Events in Greek Swimming Championships. Sports, 10(3), 40. https://doi.org/10.3390/sports10030040
