Investigating Single-Molecule Molecular Inversion Probes for Medium-Scale Targeted DNA Methylation Analysis
Abstract
1. Introduction
2. Results
2.1. smMIP Panel Design Using Our Novel Locksmith Tool
2.2. Pilot Testing of a Small 10-CpG smMIP Panel
2.3. Capture Assessment of the Full 514-CpG smMIP Panel
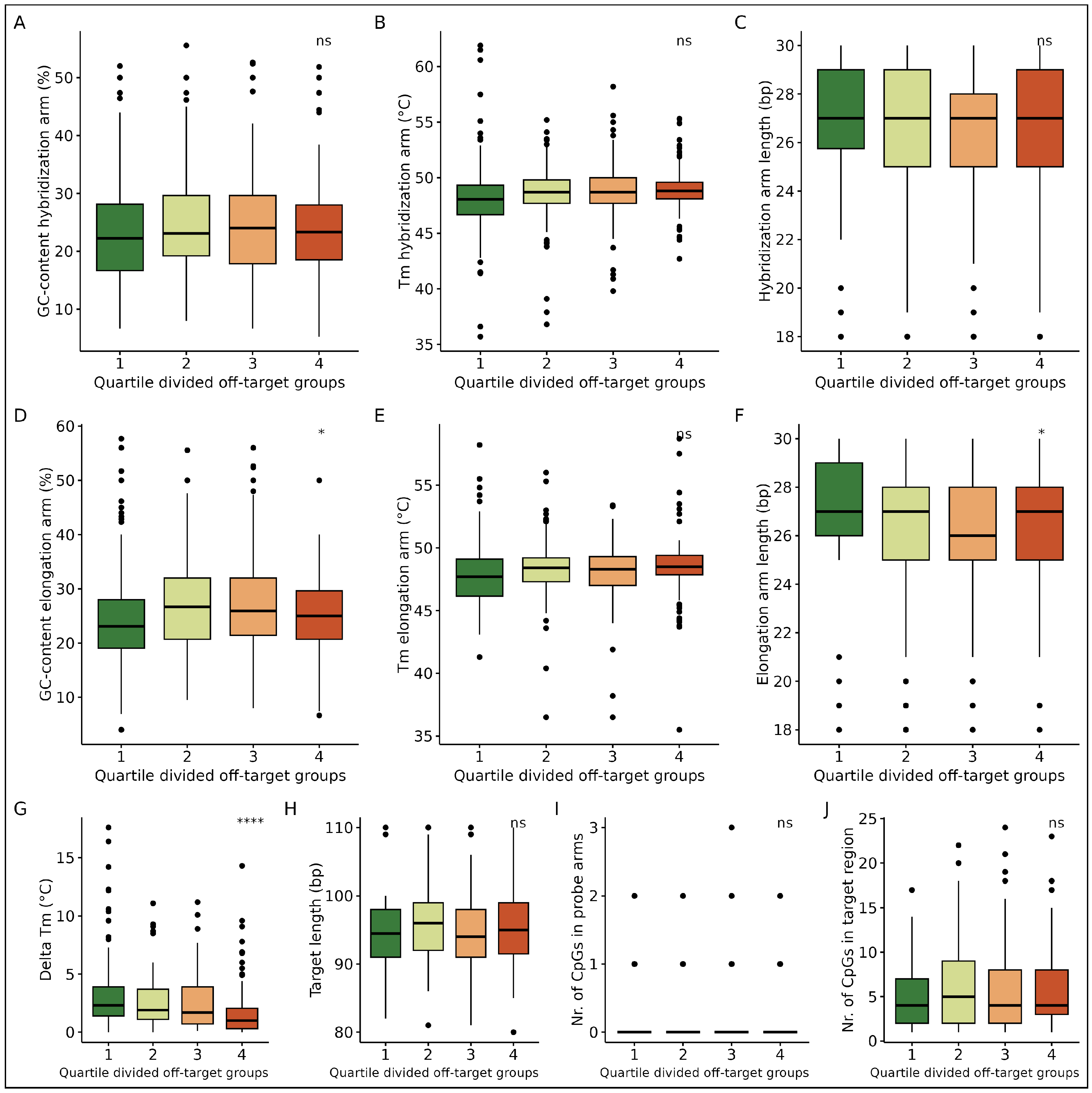
2.4. Linking smMIP Design to Capture Efficiency
2.5. Comparison to the EPIC v2 Array
3. Materials and Methods
3.1. smMIP Design by Locksmith
3.2. Whole Blood Sample
3.3. smMIP Capture and Enrichment
3.4. Library Preparation and Sequencing
3.5. 10-Probe Panel Capture Pilot
3.6. DNA Methylation Analysis by Lockpick
3.7. Genome-Wide DNA Methylation Analysis
3.8. Data Analysis
4. Discussion
5. Conclusions
Supplementary Materials
Author Contributions
Funding
Institutional Review Board Statement
Informed Consent Statement
Data Availability Statement
Acknowledgments
Conflicts of Interest
Abbreviations
| CpG | CG-dinucleotide |
| DMR | Differentially methylated region |
| NGS | Next-Generation Sequencing |
| smMIP | Single-molecule molecular inversion probe |
| SNP | Single nucleotide polymorphism |
| UMI | Unique molecular identifier |
References
- Zoghbi, H.Y.; Beaudet, A.L. Epigenetics and Human Disease. Cold Spring Harb. Perspect. Biol. 2016, 8, a019497. [Google Scholar] [CrossRef] [PubMed]
- Tsai, H.C.; Baylin, S.B. Cancer epigenetics: Linking basic biology to clinical medicine. Cell Res. 2011, 21, 502–517. [Google Scholar] [CrossRef] [PubMed]
- Weinstein, J.N.; Collisson, E.A.; Mills, G.B.; Shaw, K.R.M.; Ozenberger, B.A.; Ellrott, K.; Shmulevich, I.; Sander, C.; Stuart, J.M. The Cancer Genome Atlas Pan-Cancer analysis project. Nat. Genet. 2013, 45, 1113–1120. [Google Scholar] [CrossRef] [PubMed]
- Napoli, C.; Benincasa, G.; Donatelli, F.; Ambrosio, G. Precision medicine in distinct heart failure phenotypes: Focus on clinical epigenetics. Am. Heart J. 2020, 224, 113–128. [Google Scholar] [CrossRef]
- Sopic, M.; Robinson, E.L.; Emanueli, C.; Srivastava, P.; Angione, C.; Gaetano, C.; Condorelli, G.; Martelli, F.; Pedrazzini, T.; Devaux, Y. Integration of epigenetic regulatory mechanisms in heart failure. Basic Res. Cardiol. 2023, 118, 16. [Google Scholar] [CrossRef]
- Aref-Eshghi, E.; Kerkhof, J.; Pedro, V.P.; Groupe, D.I.F.; Barat-Houari, M.; Ruiz-Pallares, N.; Andrau, J.C.; Lacombe, D.; Van-Gils, J.; Fergelot, P.; et al. Evaluation of DNA Methylation Episignatures for Diagnosis and Phenotype Correlations in 42 Mendelian Neurodevelopmental Disorders. Am. J. Hum. Genet. 2020, 106, 356–370. [Google Scholar] [CrossRef] [PubMed]
- Weber, M.; Hellmann, I.; Stadler, M.B.; Ramos, L.; Pääbo, S.; Rebhan, M.; Schübeler, D. Distribution, silencing potential and evolutionary impact of promoter DNA methylation in the human genome. Nat. Genet. 2007, 39, 457–466. [Google Scholar] [CrossRef]
- Vidaki, A.; Kayser, M. Recent progress, methods and perspectives in forensic epigenetics. Forensic Sci. Int. Genet. 2018, 37, 180–195. [Google Scholar] [CrossRef]
- Tollefsbol, T.O. Personalized Epigenetics; Translational Epigenetics Series; Academic Press: Cambridge, MA, USA, 2015. [Google Scholar]
- Horvath, S. DNA methylation age of human tissues and cell types. Genome Biol. 2013, 14, R115. [Google Scholar] [CrossRef]
- Zeilinger, S.; Kühnel, B.; Klopp, N.; Baurecht, H.; Kleinschmidt, A.; Gieger, C.; Weidinger, S.; Lattka, E.; Adamski, J.; Peters, A. Tobacco smoking leads to extensive genome-wide changes in DNA methylation. PLoS ONE 2013, 8, e63812. [Google Scholar] [CrossRef]
- Maas, S.C.E.; Vidaki, A.; Wilson, R.; Teumer, A.; Liu, F.; van Meurs, J.B.J.; Uitterlinden, A.G.; Boomsma, D.I.; de Geus, E.J.C.; Willemsen, G.; et al. Validated inference of smoking habits from blood with a finite DNA methylation marker set. Eur. J. Epidemiol. 2019, 34, 1055–1074. [Google Scholar] [CrossRef] [PubMed]
- Varela-Rey, M.; Woodhoo, A.; Martinez-Chantar, M.L.; Mato, J.M.; Lu, S.C. Alcohol, DNA methylation, and cancer. Alcohol. Res. Curr. Rev. 2013, 35, 25. [Google Scholar]
- Martin, E.M.; Fry, R.C. Environmental influences on the epigenome: Exposure-associated DNA methylation in human populations. Annu. Rev. Public Health 2018, 39, 309–333. [Google Scholar] [CrossRef]
- Vidaki, A.; Kayser, M. From forensic epigenetics to forensic epigenomics: Broadening DNA investigative intelligence. Genome Biol. 2017, 18, 238. [Google Scholar] [CrossRef]
- Moran, S.; Arribas, C.; Esteller, M. Validation of a DNA methylation microarray for 850,000 CpG sites of the human genome enriched in enhancer sequences. Epigenomics 2016, 8, 389–399. [Google Scholar] [CrossRef]
- Pidsley, R.; Zotenko, E.; Peters, T.J.; Lawrence, M.G.; Risbridger, G.P.; Molloy, P.; Van Djik, S.; Muhlhausler, B.; Stirzaker, C.; Clark, S.J. Critical evaluation of the Illumina MethylationEPIC BeadChip microarray for whole-genome DNA methylation profiling. Genome Biol. 2016, 17, 208. [Google Scholar] [CrossRef]
- Lee, S.M.; Loo, C.E.; Prasasya, R.D.; Bartolomei, M.S.; Kohli, R.M.; Zhou, W. Low-input and single-cell methods for Infinium DNA methylation BeadChips. Nucleic Acids Res. 2024, 52, e38. [Google Scholar] [CrossRef]
- Wang, L.; Sun, J.; Wu, H.; Liu, S.; Wang, J.; Wu, B.; Huang, S.; Li, N.; Wang, J.; Zhang, X. Systematic assessment of reduced representation bisulfite sequencing to human blood samples: A promising method for large-sample-scale epigenomic studies. J. Biotechnol. 2012, 157, 1–6. [Google Scholar] [CrossRef] [PubMed]
- Sun, X.; Yi, J.; Yang, J.; Han, Y.; Qian, X.; Liu, Y.; Li, J.; Lu, B.; Zhang, J.; Pan, X.; et al. An integrated epigenomic-transcriptomic landscape of lung cancer reveals novel methylation driver genes of diagnostic and therapeutic relevance. Theranostics 2021, 11, 5346–5364. [Google Scholar] [CrossRef]
- Benincasa, G.; Pepin, M.E.; Russo, V.; Cacciatore, F.; D’Alto, M.; Argiento, P.; Romeo, E.; Chiappetti, R.; Laezza, N.; Wende, A.R.; et al. High-resolution DNA methylation changes reveal biomarkers of heart failure with preserved ejection fraction versus reduced ejection fraction. Basic Res. Cardiol. 2024, 1435–1803. [Google Scholar] [CrossRef] [PubMed]
- Eads, C.A.; Danenberg, K.D.; Kawakami, K.; Saltz, L.B.; Blake, C.; Shibata, D.; Danenberg, P.V.; Laird, P.W. MethyLight: A high-throughput assay to measure DNA methylation. Nucleic Acids Res. 2000, 28, E32. [Google Scholar] [CrossRef] [PubMed]
- Kaminsky, Z.; Petronis, A. Methylation SNaPshot: A Method for the Quantification of Site-Specific DNA Methylation Levels. In DNA Methylation; Methods in Molecular Biology; Humana Press: Totowa, NJ, USA, 2009; pp. 241–255. [Google Scholar] [CrossRef]
- Vidaki, A.; Planterose Jiménez, B.; Poggiali, B.; Kalamara, V.; Van Der Gaag, K.J.; Maas, S.C.E.; Ghanbari, M.; Sijen, T.; Kayser, M. Targeted DNA methylation analysis and prediction of smoking habits in blood based on massively parallel sequencing. Forensic Sci. Int. Genet. 2023, 65, 102878. [Google Scholar] [CrossRef]
- Yang, A.S.; Estecio, M.R.; Doshi, K.; Kondo, Y.; Tajara, E.H.; Issa, J.P. A simple method for estimating global DNA methylation using bisulfite PCR of repetitive DNA elements. Nucleic Acids Res. 2004, 32, e38. [Google Scholar] [CrossRef] [PubMed]
- Deng, J.; Shoemaker, R.; Xie, B.; Gore, A.; LeProust, E.M.; Antosiewicz-Bourget, J.; Egli, D.; Maherali, N.; Park, I.H.; Yu, J.; et al. Targeted bisulfite sequencing reveals changes in DNA methylation associated with nuclear reprogramming. Nat. Biotechnol. 2009, 27, 353–360. [Google Scholar] [CrossRef] [PubMed]
- Boers, R.; Boers, J.; de Hoon, B.; Kockx, C.; Ozgur, Z.; Molijn, A.; van, I.W.; Laven, J.; Gribnau, J. Genome-wide DNA methylation profiling using the methylation-dependent restriction enzyme LpnPI. Genome Res. 2018, 28, 88–99. [Google Scholar] [CrossRef]
- Bibikova, M.; Barnes, B.; Tsan, C.; Ho, V.; Klotzle, B.; Le, J.M.; Delano, D.; Zhang, L.; Schroth, G.P.; Gunderson, K.L.; et al. High density DNA methylation array with single CpG site resolution. Genomics 2011, 98, 288–295. [Google Scholar] [CrossRef]
- Maricic, T.; Whitten, M.; Paabo, S. Multiplexed DNA sequence capture of mitochondrial genomes using PCR products. PLoS ONE 2010, 5, e14004. [Google Scholar] [CrossRef]
- Pośpiech, E.; Pisarek, A.; Rudnicka, J.; Noroozi, R.; Boroń, M.; Masny, A.; Wysocka, B.; Migacz-Gruszka, K.; Lisman, D.; Pruszkowska-Przybylska, P.; et al. Introduction of a multiplex amplicon sequencing assay to quantify DNA methylation in target cytosine markers underlying four selected epigenetic clocks. Clin. Epigenetics 2023, 15, 128. [Google Scholar] [CrossRef]
- Nilsson, M.; Malmgren, H.; Samiotaki, M.; Kwiatkowski, M.; Chowdhary, B.P.; Landegren, U. Padlock probes: Circularizing oligonucleotides for localized DNA detection. Science 1994, 265, 2085–2088. [Google Scholar] [CrossRef]
- Syvänen, A.C. Toward genome-wide SNP genotyping. Nat. Genet. 2005, 37, S5–S10. [Google Scholar] [CrossRef]
- Porreca, G.J.; Zhang, K.; Li, J.B.; Xie, B.; Austin, D.; Vassallo, S.L.; LeProust, E.M.; Peck, B.J.; Emig, C.J.; Dahl, F.; et al. Multiplex amplification of large sets of human exons. Nat. Methods 2007, 4, 931–936. [Google Scholar] [CrossRef] [PubMed]
- Perez Millan, M.I.; Vishnopolska, S.A.; Daly, A.Z.; Bustamante, J.P.; Seilicovich, A.; Bergada, I.; Braslavsky, D.; Keselman, A.C.; Lemons, R.M.; Mortensen, A.H.; et al. Next generation sequencing panel based on single molecule molecular inversion probes for detecting genetic variants in children with hypopituitarism. Mol. Genet. Genomic Med. 2018, 6, 514–525. [Google Scholar] [CrossRef]
- Wu, L.; Chu, X.; Zheng, J.; Xiao, C.; Zhang, Z.; Huang, G.; Li, D.; Zhan, J.; Huang, D.; Hu, P.; et al. Targeted capture and sequencing of 1245 SNPs for forensic applications. Forensic Sci. Int. Genet. 2019, 42, 227–234. [Google Scholar] [CrossRef]
- Gorden, E.M.; Sturk-Andreaggi, K.; Marshall, C. Capture enrichment and massively parallel sequencing for human identification. Forensic Sci. Int. Genet. 2021, 53, 102496. [Google Scholar] [CrossRef] [PubMed]
- Yoon, J.K.; Ahn, J.; Kim, H.S.; Han, S.M.; Jang, H.; Lee, M.G.; Lee, J.H.; Bang, D. microDuMIP: Target-enrichment technique for microarray-based duplex molecular inversion probes. Nucleic Acids Res. 2015, 43, e28. [Google Scholar] [CrossRef] [PubMed]
- Hiatt, J.B.; Pritchard, C.C.; Salipante, S.J.; O’Roak, B.J.; Shendure, J. Single molecule molecular inversion probes for targeted, high-accuracy detection of low-frequency variation. Genome Res. 2013, 23, 843–854. [Google Scholar] [CrossRef]
- Diep, D.; Plongthongkum, N.; Gore, A.; Fung, H.L.; Shoemaker, R.; Zhang, K. Library-free methylation sequencing with bisulfite padlock probes. Nat. Methods 2012, 9, 270–272. [Google Scholar] [CrossRef]
- Zhang, Q.; Vallerga, C.L.; Walker, R.M.; Lin, T.; Henders, A.K.; Montgomery, G.W.; He, J.; Fan, D.; Fowdar, J.; Kennedy, M.; et al. Improved precision of epigenetic clock estimates across tissues and its implication for biological ageing. Genome Med. 2019, 11, 54. [Google Scholar] [CrossRef]
- Beck, D.; Ben Maamar, M.; Skinner, M.K. Genome-wide CpG density and DNA methylation analysis method (MeDIP, RRBS, and WGBS) comparisons. Epigenetics 2022, 17, 518–530. [Google Scholar] [CrossRef]
- Mölder, F.; Jablonski, K.P.; Letcher, B.; Hall, M.B.; Tomkins-Tinch, C.H.; Sochat, V.; Forster, J.; Lee, S.; Twardziok, S.O.; Kanitz, A.; et al. Sustainable data analysis with Snakemake. F1000Research 2021, 10, 33. [Google Scholar] [CrossRef]
- Quinlan, A.R.; Hall, I.M. BEDTools: A flexible suite of utilities for comparing genomic features. Bioinformatics 2010, 26, 841–842. [Google Scholar] [CrossRef] [PubMed]
- Li, H. Tabix: Fast retrieval of sequence features from generic TAB-delimited files. Bioinformatics 2011, 27, 718–719. [Google Scholar] [CrossRef] [PubMed]
- Wang, K.; Li, H.; Xu, Y.; Shao, Q.; Yi, J.; Wang, R.; Cai, W.; Hang, X.; Zhang, C.; Cai, H.; et al. MFEprimer-3.0: Quality control for PCR primers. Nucleic Acids Res. 2019, 47, W610–W613. [Google Scholar] [CrossRef]
- Cock, P.J.A.; Antao, T.; Chang, J.T.; Chapman, B.A.; Cox, C.J.; Dalke, A.; Friedberg, I.; Hamelryck, T.; Kauff, F.; Wilczynski, B.; et al. Biopython: Freely available Python tools for computational molecular biology and bioinformatics. Bioinformatics 2009, 25, 1422–1423. [Google Scholar] [CrossRef] [PubMed]
- Altschul, S.F.; Gish, W.; Miller, W.; Myers, E.W.; Lipman, D.J. Basic local alignment search tool. J. Mol. Biol. 1990, 215, 403–410. [Google Scholar] [CrossRef]
- Karkala, F.; Simons, R.B.; Claessens, F.; Kalamara, V.; Kayser, M.; Vidaki, A. qBiCo: A method to assess global DNA conversion performance in epigenetics via single-copy genes and repetitive elements. Epigenetics Commun. 2025, 5, 2. [Google Scholar] [CrossRef]
- Biezuner, T.; Brilon, Y.; Arye, A.B.; Oron, B.; Kadam, A.; Danin, A.; Furer, N.; Minden, M.D.; Hwan Kim, D.D.; Shapira, S.; et al. An improved molecular inversion probe based targeted sequencing approach for low variant allele frequency. NAR Genom. Bioinform. 2022, 4, lqab125. [Google Scholar] [CrossRef]
- MacConaill, L.E.; Burns, R.T.; Nag, A.; Coleman, H.A.; Slevin, M.K.; Giorda, K.; Light, M.; Lai, K.; Jarosz, M.; McNeill, M.S.; et al. Unique, dual-indexed sequencing adapters with UMIs effectively eliminate index cross-talk and significantly improve sensitivity of massively parallel sequencing. BMC Genom. 2018, 19, 30. [Google Scholar] [CrossRef]
- Martin, M. Cutadapt removes adapter sequences from high-throughput sequencing reads. EMBnet J. 2011, 17, 10. [Google Scholar] [CrossRef]
- Krueger, F.; Andrews, S.R. Bismark: A flexible aligner and methylation caller for Bisulfite-Seq applications. Bioinformatics 2011, 27, 1571–1572. [Google Scholar] [CrossRef]
- Krueger, F.; Kreck, B.; Franke, A.; Andrews, S.R. DNA methylome analysis using short bisulfite sequencing data. Nat. Methods 2012, 9, 145–151. [Google Scholar] [CrossRef] [PubMed]
- Aryee, M.J.; Jaffe, A.E.; Corrada-Bravo, H.; Ladd-Acosta, C.; Feinberg, A.P.; Hansen, K.D.; Irizarry, R.A. Minfi: A flexible and comprehensive Bioconductor package for the analysis of Infinium DNA methylation microarrays. Bioinformatics 2014, 30, 1363–1369. [Google Scholar] [CrossRef]
- Mamanova, L.; Coffey, A.J.; Scott, C.E.; Kozarewa, I.; Turner, E.H.; Kumar, A.; Howard, E.; Shendure, J.; Turner, D.J. Target-enrichment strategies for next-generation sequencing. Nat. Methods 2010, 7, 111–118. [Google Scholar] [CrossRef] [PubMed]
- Boyle, E.A.; O’Roak, B.J.; Martin, B.K.; Kumar, A.; Shendure, J. MIPgen: Optimized modeling and design of molecular inversion probes for targeted resequencing. Bioinformatics 2014, 30, 2670–2672. [Google Scholar] [CrossRef]
- Liu, Y.; Siejka-Zielinska, P.; Velikova, G.; Bi, Y.; Yuan, F.; Tomkova, M.; Bai, C.; Chen, L.; Schuster-Bockler, B.; Song, C.X. Bisulfite-free direct detection of 5-methylcytosine and 5-hydroxymethylcytosine at base resolution. Nat. Biotechnol. 2019, 37, 424–429. [Google Scholar] [CrossRef] [PubMed]
- Liu, Y.; Hu, Z.; Cheng, J.; Siejka-Zielinska, P.; Chen, J.; Inoue, M.; Ahmed, A.A.; Song, C.X. Subtraction-free and bisulfite-free specific sequencing of 5-methylcytosine and its oxidized derivatives at base resolution. Nat. Commun. 2021, 12, 618. [Google Scholar] [CrossRef]
- Cheng, J.; Siejka-Zielinska, P.; Liu, Y.; Chandran, A.; Kriaucionis, S.; Song, C.X. Endonuclease enrichment TAPS for cost-effective genome-wide base-resolution DNA methylation detection. Nucleic Acids Res. 2021, 49, e76. [Google Scholar] [CrossRef]
- Siejka-Zielinska, P.; Cheng, J.; Jackson, F.; Liu, Y.; Soonawalla, Z.; Reddy, S.; Silva, M.; Puta, L.; McCain, M.V.; Culver, E.L.; et al. Cell-free DNA TAPS provides multimodal information for early cancer detection. Sci. Adv. 2021, 7, eabh0534. [Google Scholar] [CrossRef]
- Chen, J.; Cheng, J.; Chen, X.; Inoue, M.; Liu, Y.; Song, C.X. Whole-genome long-read TAPS deciphers DNA methylation patterns at base resolution using PacBio SMRT sequencing technology. Nucleic Acids Res. 2022, 50, e104. [Google Scholar] [CrossRef]
- Liu, Y.; Cheng, J.; Siejka-Zielinska, P.; Weldon, C.; Roberts, H.; Lopopolo, M.; Magri, A.; D’Arienzo, V.; Harris, J.M.; McKeating, J.A.; et al. Accurate targeted long-read DNA methylation and hydroxymethylation sequencing with TAPS. Genome Biol. 2020, 21, 54. [Google Scholar] [CrossRef]
- Fullgrabe, J.; Gosal, W.S.; Creed, P.; Liu, S.; Lumby, C.K.; Morley, D.J.; Ost, T.W.B.; Vilella, A.J.; Yu, S.; Bignell, H.; et al. Simultaneous sequencing of genetic and epigenetic bases in DNA. Nat. Biotechnol. 2023, 41, 1457–1464. [Google Scholar] [CrossRef] [PubMed]
- Vaisvila, R.; Johnson, S.R.; Yan, B.; Dai, N.; Bourkia, B.M.; Chen, M.; Correa, I.R., Jr.; Yigit, E.; Sun, Z. Discovery of cytosine deaminases enables base-resolution methylome mapping using a single enzyme. Mol. Cell 2024, 84, 854–866.e7. [Google Scholar] [CrossRef]
- Zhang, J.X.; Yordanov, B.; Gaunt, A.; Wang, M.X.; Dai, P.; Chen, Y.J.; Zhang, K.; Fang, J.Z.; Dalchau, N.; Li, J.; et al. A deep learning model for predicting next-generation sequencing depth from DNA sequence. Nat. Commun. 2021, 12, 4387. [Google Scholar] [CrossRef] [PubMed]
- Hodges, E.; Smith, A.D.; Kendall, J.; Xuan, Z.; Ravi, K.; Rooks, M.; Zhang, M.Q.; Ye, K.; Bhattacharjee, A.; Brizuela, L.; et al. High definition profiling of mammalian DNA methylation by array capture and single molecule bisulfite sequencing. Genome Res. 2009, 19, 1593–1605. [Google Scholar] [CrossRef] [PubMed]
- Gasc, C.; Peyretaillade, E.; Peyret, P. Sequence capture by hybridization to explore modern and ancient genomic diversity in model and nonmodel organisms. Nucleic Acids Res. 2016, 44, 4504–4518. [Google Scholar] [CrossRef]
- Meyer, O.S.; Andersen, M.M.; Børsting, C.; Morling, N.; Wulf, H.C.; Philipsen, P.A.; Lerche, C.M.; Dyrberg Andersen, J. Comparison of global DNA methylation analysis by whole genome bisulfite sequencing and the Infinium Mouse Methylation BeadChip using fresh and fresh-frozen mouse epidermis. Epigenetics 2023, 18, 2144574. [Google Scholar] [CrossRef]
- Gouil, Q.; Keniry, A. Latest techniques to study DNA methylation. Essays Biochem. 2019, 63, 639–648. [Google Scholar] [CrossRef]
- Masser, D.R.; Berg, A.S.; Freeman, W.M. Focused, high accuracy 5-methylcytosine quantitation with base resolution by benchtop next-generation sequencing. Epigenetics Chromatin 2013, 6, 33. [Google Scholar] [CrossRef]
- Lam, D.; Luu, P.L.; Song, J.Z.; Qu, W.; Risbridger, G.P.; Lawrence, M.G.; Lu, J.; Trau, M.; Korbie, D.; Clark, S.J.; et al. Comprehensive evaluation of targeted multiplex bisulphite PCR sequencing for validation of DNA methylation biomarker panels. Clin. Epigenetics 2020, 12, 90. [Google Scholar] [CrossRef]







| [Probes] (pM) | Temperature (°C) | [dNTP] (nM) | Read Depth | ||||
|---|---|---|---|---|---|---|---|
| 1000× | 200× | 50× | 20× | 1× | |||
| 25 | 50 | 5 | 1 (0%) | 54 (11%) | 153 (30%) | 226 (44%) | 384 (75%) |
| 50 | 7 (1%) | 87 (17%) | 195 (38%) | 275 (54%) | 415 (81%) | ||
| 53 | 5 | 32 (6%) | 83 (16%) | 140 (27%) | 184 (36%) | 315 (61%) | |
| 2.5 | 50 | 5 | 0 (0%) | 0 (0%) | 2 (0%) | 23 (4%) | 183 (36%) |
| 50 | 1 (0%) | 9 (2%) | 28 (5%) | 58 (11%) | 160 (31%) | ||
| 53 | 5 | 42 (8%) | 83 (16%) | 123 (24%) | 155 (30%) | 248 (48%) | |
| 0.25 | 50 | 5 | 16 (3%) | 47 (9%) | 86 (17%) | 107 (21%) | 182 (35%) |
Disclaimer/Publisher’s Note: The statements, opinions and data contained in all publications are solely those of the individual author(s) and contributor(s) and not of MDPI and/or the editor(s). MDPI and/or the editor(s) disclaim responsibility for any injury to people or property resulting from any ideas, methods, instructions or products referred to in the content. |
© 2025 by the authors. Licensee MDPI, Basel, Switzerland. This article is an open access article distributed under the terms and conditions of the Creative Commons Attribution (CC BY) license (https://creativecommons.org/licenses/by/4.0/).
Share and Cite
Simons, R.B.; Adams, H.H.H.; Kayser, M.; Vidaki, A. Investigating Single-Molecule Molecular Inversion Probes for Medium-Scale Targeted DNA Methylation Analysis. Epigenomes 2025, 9, 8. https://doi.org/10.3390/epigenomes9010008
Simons RB, Adams HHH, Kayser M, Vidaki A. Investigating Single-Molecule Molecular Inversion Probes for Medium-Scale Targeted DNA Methylation Analysis. Epigenomes. 2025; 9(1):8. https://doi.org/10.3390/epigenomes9010008
Chicago/Turabian StyleSimons, Roy B., Hieab H. H. Adams, Manfred Kayser, and Athina Vidaki. 2025. "Investigating Single-Molecule Molecular Inversion Probes for Medium-Scale Targeted DNA Methylation Analysis" Epigenomes 9, no. 1: 8. https://doi.org/10.3390/epigenomes9010008
APA StyleSimons, R. B., Adams, H. H. H., Kayser, M., & Vidaki, A. (2025). Investigating Single-Molecule Molecular Inversion Probes for Medium-Scale Targeted DNA Methylation Analysis. Epigenomes, 9(1), 8. https://doi.org/10.3390/epigenomes9010008

