Evaluation of Heartwood Extracts Combined with Linseed Oil as Wood Preservatives in Field Tests in Southern Mississippi, USA
Abstract
Simple Summary
Abstract
1. Introduction
2. Materials and Methods
2.1. Wood Material and Preparation of Extracts
2.2. Non-Durable Wood Species and Treatment Process
2.3. Field Testing
2.4. Statistical Analysis
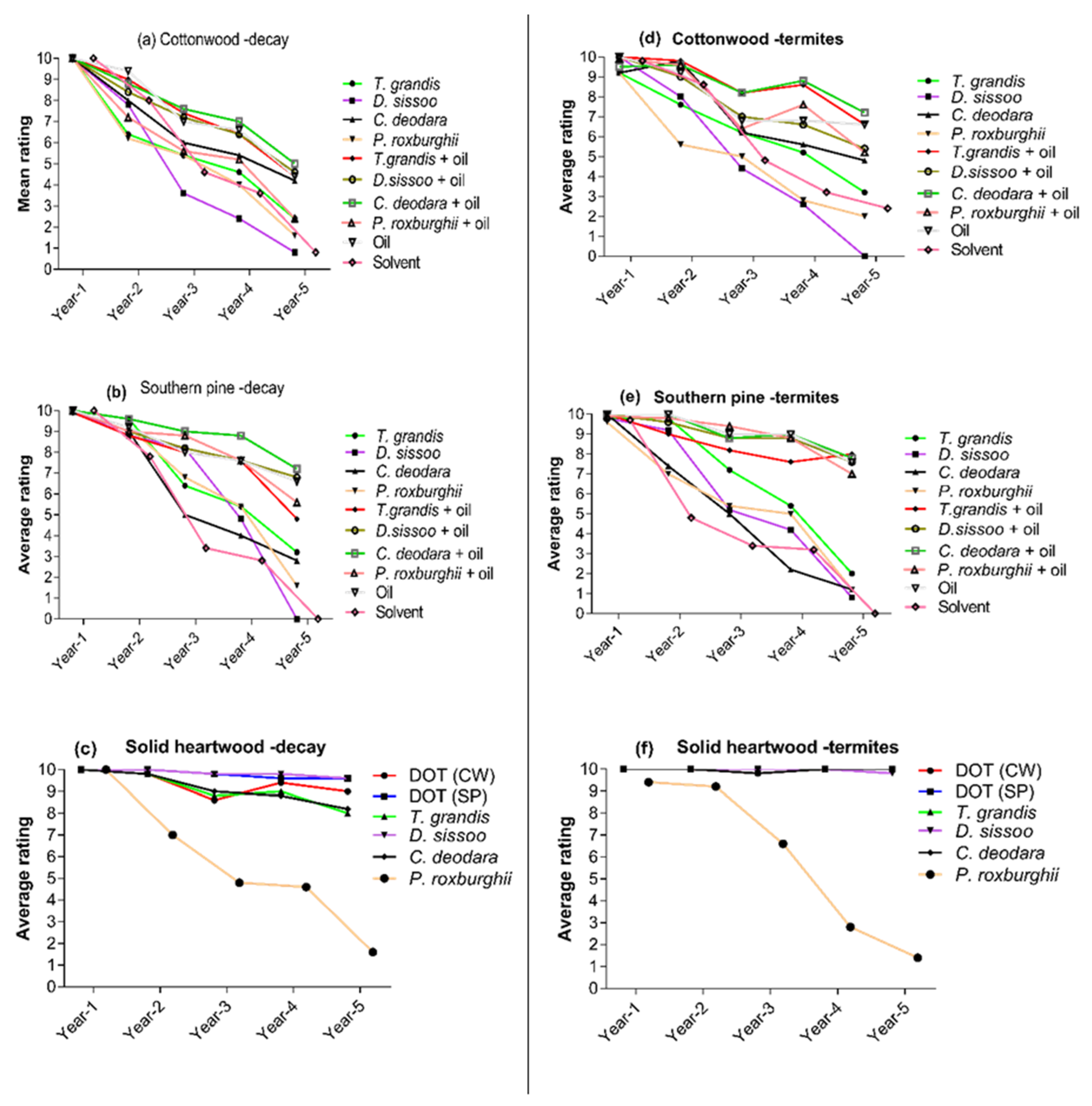
3. Results
3.1. Field Stake Tests
3.1.1. Decay Ratings
3.1.2. Termite Ratings
3.2. Ground Proximity Test
3.2.1. Decay Ratings
3.2.2. Termite Ratings
4. Discussion
5. Conclusions
Supplementary Materials
Author Contributions
Funding
Institutional Review Board Statement
Informed Consent Statement
Data Availability Statement
Acknowledgments
Conflicts of Interest
References
- Fatima, Z.; Ahmed, S.; Hassan, B. Combined effects of neem (Azadirachta indica) and sesame (Sesamum indicum) oil as wood preservative on subterranean termites in the field. Maderas Cienc. Tecnol. 2021, 23, 1. [Google Scholar] [CrossRef]
- Lande, S.; Westin, M.; Schneider, M.H. Eco-efficient wood protection: Furfurylated wood as alternative to traditional wood preservation. Manag. Environ. Qual. Int. J. 2004, 5, 529–540. [Google Scholar] [CrossRef]
- Singh, T.; Singh, A.P. A review on natural products as wood protectant. Wood Sci. Technol. 2012, 46, 851–870. [Google Scholar] [CrossRef]
- Taylor, A.M.; Gartner, B.L.; Morrell, J.J. Heartwood formation and natural durability—A review. Wood Fiber Sci. 2002, 34, 586–611. [Google Scholar]
- Hwang, W.J.; Kartal, S.N.; Yoshimura, T.; Imamura, Y. Synergistic effect of heartwood extractives and quaternary ammonium compounds on termite resistance of treated wood. Pest Manag. Sci. 2007, 63, 90–95. [Google Scholar] [CrossRef] [PubMed]
- Schultz, T.P.; Nicholas, D.D. Naturally durable heartwood: Evidence for a proposed dual defensive function of the extractives. Phytochemistry 2000, 54, 47–52. [Google Scholar] [CrossRef]
- Hassan, B.; Mankowski, M.E.; Kirker, G.; Ahmed, S. Effects of heartwood extractives on symbiotic protozoan communities and mortality in two termite species. Int. Biodeterior. Biodegrad. 2017, 123, 27–36. [Google Scholar] [CrossRef]
- Hassan, B.; Ahmed, S.; Kirker, G.; Mankowski, M.E.; Misbah-ul-Haq, M. Antioxidant effects of four heartwood extractives on midgut enzyme activity in Heterotermes indicola (Blattodea: Rhinotermitidae). Environ. Entomol. 2018, 47, 741–748. [Google Scholar] [CrossRef]
- Hassan, B.; Mankowski, M.; Kirker, G.; Clausen, C.; Ahmed, S. Effects of white mulberry (Morus alba) heartwood extract against Reticulitermes flavipes (Blattodea: Rhinotermitidae). J. Econ. Entomol. 2018, 111, 1337–1345. [Google Scholar] [CrossRef]
- Hassan, B.; Ahmed, S.; Kirker, G.; Mankowski, M.E.; ul Haq, M.M. Synergistic effect of heartwood extracts in combination with linseed oil as wood preservatives against subterranean termite Heterotermes indicola (Blattodea: Rhinotermitidae). Environ. Sci. Pollut. Res. 2020, 27, 3076–3085. [Google Scholar] [CrossRef]
- Hassan, B.; Ahmed, S.; Mehmood, N.; Mankowski, M.E.; Misbah-ul-Haq, M. Toxicity potential of heartwood extractives from two mulberry species against Heterotermes indicola. Maderas Cienc. Tecnol. 2019, 21, 153–162. [Google Scholar] [CrossRef]
- Kirker, G.; Blodgett, A.; Arango, R.; Lebow, P.; Clausen, C. The role of extractives in naturally durable wood species. Int. Biodeterior. Biodegrad. 2013, 82, 53–58. [Google Scholar] [CrossRef]
- Eller, F.; Kirker, G.; Mankowski, M.; Hay, W.; Palmquist, D. Effect of burgundy solid extracted from eastern red cedar heartwood on subterranean termites and wood-decay fungi. Ind. Crops Prod. 2020, 144, 112023. [Google Scholar] [CrossRef]
- Ahmed, S.; Fatima, R.; Hassan, B. Evaluation of different plant derived oils as wood preservatives against subterranean termite Odontotermes obesus. Maderas Cienc. Tecnol. 2020, 22, 109–120. [Google Scholar] [CrossRef]
- Liibert, L.; Andreas, T.; Meier, P. The fixation of new alternative wood protection systems by means of oil treatment. Mater. Sci. 2011, 17, 402–406. [Google Scholar] [CrossRef]
- Panov, D.; Terziev, N. Durability of epoxi-oil modified and alkoxysilane treated wood in field testing. Bioresources 2015, 10, 2479–2491. [Google Scholar] [CrossRef][Green Version]
- Ahmed, S.; Fatima, R.; Nisar, M.; Hassan, B. Evaluation of castor bean oil on Acacia nilotica as wood preservative against Odontotermes obesus (Ramb.)(Termitidae: Isoptera). Int. Wood Prod. J. 2014, 5, 5–10. [Google Scholar] [CrossRef]
- Humar, M.; Lesar, B. Efficacy of linseed-and tung-oil-treated wood against wood-decay fungi and water uptake. Int. Biodeterior. Biodegrad. 2013, 85, 223–227. [Google Scholar] [CrossRef]
- Machado, G.d.O.; Cookson, L.J.; Christoforo, A.L.; Polito, W.L.; da Silva, M.R.; Junior, C.C.; Lahr, F.A.R. Wood preservation based on Neem oil: Evaluation of fungicidal and termiticidal Effectiveness. For. Prod. J. 2013, 63, 202–206. [Google Scholar] [CrossRef]
- Lyon, F.; Thevenon, M.-F.; Hwang, W.-J.; Imamura, Y.; Gril, J.; Pizzi, A. Effect of an oil heat treatment on the leachability and biological resistance of boric acid impregnated wood. Ann. For. Sci. 2007, 64, 673–678. [Google Scholar] [CrossRef]
- Temiz, A.; Alfredsen, G.; Eikenes, M.; Terzıev, N. Decay resistance of wood treated with boric acid and tall oil derivates. Bioresour. Technol. 2008, 99, 2102–2106. [Google Scholar] [CrossRef] [PubMed]
- ASTM. D1105. Standard test method for preparation of extractive free wood. In Annual Bbook of ASTM Standards; ASTM: West Conshohocken, PA, USA, 2017. [Google Scholar]
- Hassan, B.; Ahmed, S.; Mankowski, M.; Kirker, G. Comparison of performance of wood extractives as preservatives in field tests against termites and decay in the USA and Pakistan. In Proceedings of the One Hundred Thirteenth Annual Meeting of the American Wood Protection Association, Las Vegas, NV, USA, 9–11 April 2017; pp. 29–38. [Google Scholar]
- González-Laredo, R.F.; Rosales-Castro, M.; Rocha-Guzmán, N.E.; Gallegos-Infante, J.A.; Moreno-Jiménez, M.R.; Karchesy, J.J. Wood preservation using natural products. Madera Bosques 2015, 21, 63–76. [Google Scholar]
- Hassan, B.; Morrell, J.J. Termite Testing Methods: A Global Review. J. Test. Eval. 2021, 49. [Google Scholar] [CrossRef]
- Adams, M.B.; Plaugher, L. Experimental Forests and Ranges of the USDA Forest Service; USDA Forest Service; Springer: New York, NY, USA, 2004; Volume 321. [Google Scholar]
- Blew, J.O. Comparison of wood preservatives in stake tests. In Progress Report, Forest Product Laboratory Research Note FPL-02; U.S. Department of Agriculture, Forest Service, Forest Products Laboratory: Madison, WI, USA, 1961. [Google Scholar]
- Lebow, S.T.; Arango, R.A.; Lebow, P.K.; Kirker, G.T.; Mankowski, M.E.; Halverson, S.A. Northeastern United States species treated with copper-based preservatives: Durability in mississippi stake tests. Maderas Cienc. Tecnol. 2018, 20, 359–368. [Google Scholar] [CrossRef]
- Lenz, M.; Kard, B.; Mauldin, J.; Evans, T.; Etheridge, J.; Abbey, H. Size of food resource determines brood placement in Reticulitermes flavipes Isoptera: Rhinotermitidae. Sociobiology 2001, 37, 361–362. [Google Scholar]
- Janowiecki, M.; Vargo, E.L. Seasonal activity, spatial distribution, and physiological limits of subterranean termites (Reticulitermes Species) in an East Texas Forest. Insects 2021, 12, 86. [Google Scholar] [CrossRef]
- Mankowski, M.; Boyd, B.; Hassan, B.; Kirker, G.T. GC-MS characterizations of termiticidal heartwood extractives from wood species utilized in Pakistan. In Proceedings of the IRG Annual Meeting (IRG/WP 16-10857), Lisbon, Portugal, 15–19 May 2016; The International Research Group on Wood Protection: Stockholm, Sweden, 2016; pp. 1–16. [Google Scholar]
- Hassan, B. Studies on the Effect of Wood Extractives in Combination with Plant Oil on Subterranean Termites. Ph.D. Thesis, University of Agriculture, Faisalabad, Pakistan, 2017. [Google Scholar]
- Hassan, B.; Mankowski, M.E.; Kirker, G.; Ahmed, S.; Bishell, A. Ex-situ performance of extracts from naturally durable heartwood species and their potential as wood preservatives. Eur. J. Wood Wood Prod. 2019, 77, 869–878. [Google Scholar] [CrossRef]
- Brocco, V.F.; Paes, J.B.; da Costa, L.G.; Brazolin, S.; Arantes, M.D.C. Potential of teak heartwood extracts as a natural wood preservative. J. Clean. Prod. 2017, 142, 2093–2099. [Google Scholar] [CrossRef]
- Gupta, S.; Walia, A.; Malan, R. Phytochemistry and pharmacology of cedrus deodera: An overview. Int. J. Pharm. Sci. Res. 2011, 2, 2010. [Google Scholar]
- Mansour, M.M.; Abdel-Megeed, A.; Nasser, R.A.; Salem, M.Z.M. Comparative evaluation of some woody tree methanolic extracts and Paraloid B-72 against phytopathogenic mold fungi Alternaria tenuissima and Fusarium culmorum. BioResources 2015, 10, 2570–2584. [Google Scholar] [CrossRef]
- Terziev, N.; Panov, D. Plant oils as “green” substances for wood protection. In Minimizing the Environmental Impact of the Forest Products Industries-Ecowood; Fernando Pessoa University: Porto, Portugal, 2010; pp. 143–149. [Google Scholar]




| Treatment Solution | Retentions (Kg/m3)—AWPA E7 Stakes | Retentions (Kg/m3)—AWPA E26 Blocks | ||
|---|---|---|---|---|
| Cotton Wood (Mean ± StDev) | Southern Pine (Mean ± StDev) | Cotton Wood (Mean ± StDev) | Southern Pine (Mean ± StDev) | |
| T. grandis | 557.59 ± 25.34 | 501.27 ± 61.09 | 408.02 ± 47.09 | 351.09 ± 14.48 |
| D. sissoo | 564.69 ± 24.69 | 479.83 ± 93.69 | 471.78 ± 62.25 | 362.46 ± 10.14 |
| C. deodara | 580.72 ± 33.16 | 506.29 ± 41.47 | 469.93 ± 56.62 | 363.71 ± 38.58 |
| P. roxburghii | 571.49 ± 52.87 | 529.07 ± 23.54 | 453.51 ± 60.72 | 362.01 ± 29.79 |
| T. grandis + oil | 580.48 ± 36.56 | 498.42 ± 27.21 | 487.57 ± 89.62 | 388.64 ± 28.41 |
| D. sissoo + oil | 579.27 ± 58.61 | 517.18 ± 38.06 | 506.29 ± 60.66 | 389.19 ± 45.86 |
| C. deodara + oil | 536.56 ± 31.38 | 484.46 ± 51.81 | 524.03 ± 44.20 | 403.73 ± 40.78 |
| P. roxburghii + oil | 546.95 ± 28.04 | 518.16 ± 25.36 | 372.98 ± 38.18 | 456.12 ± 35.38 |
| Oil (linseed) | 570.03 ± 24.31 | 489.52 ± 59.81 | 458.96 ± 84.49 | 394.86 ± 39.52 |
| CuN (in oil) | 398.7 ± 32.0 | 447.5 ± 22.9 | N/A | N/A |
| Borate (DOT) | N/A | N/A | 865.73 ± 55.20 | 623.40 ± 21.60 |
| Solvent | 585.69 ± 25.31 | 512.79 ± 33.78 | 487.68 ± 35.47 | 375.47 ± 69.91 |
| 10 | Sound, no decay or insect damage |
| 9.5 | Trace, surface nibbles permitted |
| 9 | Slight attack, up to 3% of cross-sectional area affected |
| 8 | Moderate attack, 3–10% of cross-sectional area affected |
| 7 | Moderate/severe attack, penetration, 10–30% of cross-sectional area affected |
| 6 | Severe attack, 30–50% of cross-sectional area affected |
| 4 | Very severe attack, 50–75% of cross-sectional area affected |
| 0 | Failure |
Publisher’s Note: MDPI stays neutral with regard to jurisdictional claims in published maps and institutional affiliations. |
© 2021 by the authors. Licensee MDPI, Basel, Switzerland. This article is an open access article distributed under the terms and conditions of the Creative Commons Attribution (CC BY) license (https://creativecommons.org/licenses/by/4.0/).
Share and Cite
Hassan, B.; Mankowski, M.E.; Kirker, G.T. Evaluation of Heartwood Extracts Combined with Linseed Oil as Wood Preservatives in Field Tests in Southern Mississippi, USA. Insects 2021, 12, 803. https://doi.org/10.3390/insects12090803
Hassan B, Mankowski ME, Kirker GT. Evaluation of Heartwood Extracts Combined with Linseed Oil as Wood Preservatives in Field Tests in Southern Mississippi, USA. Insects. 2021; 12(9):803. https://doi.org/10.3390/insects12090803
Chicago/Turabian StyleHassan, Babar, Mark E. Mankowski, and Grant T. Kirker. 2021. "Evaluation of Heartwood Extracts Combined with Linseed Oil as Wood Preservatives in Field Tests in Southern Mississippi, USA" Insects 12, no. 9: 803. https://doi.org/10.3390/insects12090803
APA StyleHassan, B., Mankowski, M. E., & Kirker, G. T. (2021). Evaluation of Heartwood Extracts Combined with Linseed Oil as Wood Preservatives in Field Tests in Southern Mississippi, USA. Insects, 12(9), 803. https://doi.org/10.3390/insects12090803

