Towards Integrated Pest and Pollinator Management in Intensive Pear Cultivation: A Case Study from Belgium
Abstract
Simple Summary
Abstract
1. Introduction
1.1. Sustainable Production Systems Take into Account Ecosystem Services
1.2. From IPM to IPPM in a Practical Context
1.3. Integrated Pollinator Management: Measures for Pollinators
2. Materials and Methods
2.1. Case Study Farm Site: A Modern Low-Stem Intensive Pear Orchard
2.2. Plant-Pollinator Observations via Transect Walks
2.3. Microscopic Analysis of Solitary Bee-Collected Pollen
2.4. Molecular Analysis of Solitary Bee-Collected Pollen with Pear-Specific Primers
2.5. Contribution of Insect Flower Visitation and Impact of Mason Bees Nesting Boxes on the Fruit Quality
2.6. Mixed Hedgerows as Source/Refuge Area of Beneficial Arthropods
3. Results and Discussion
3.1. Plant-Pollinator Observations
3.2. Analysis of Osmia-Collected Pollen
3.3. Contribution of Insect Flower Visitation to the Fruit Quality
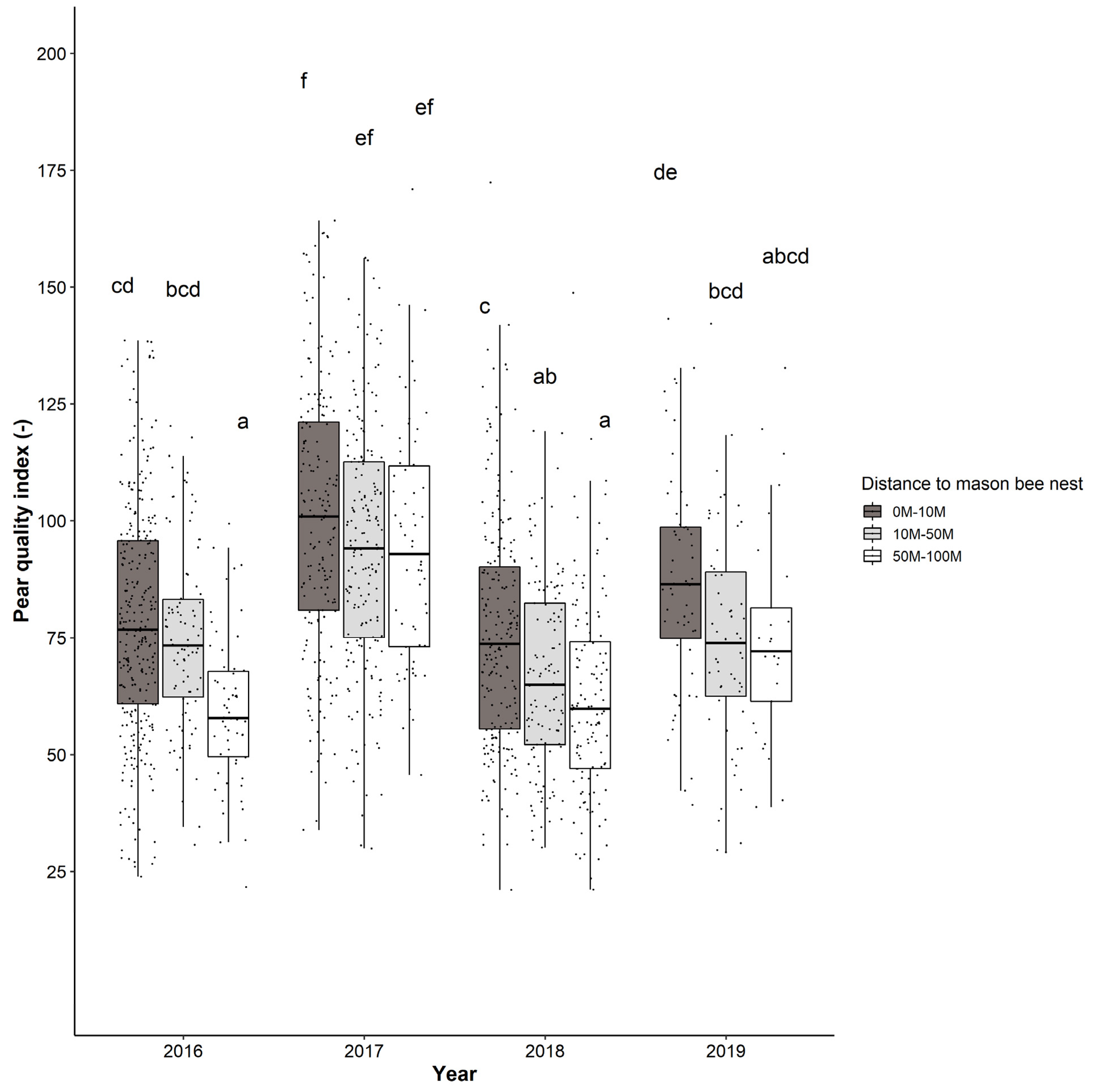
3.4. Impact of Osmia Nesting Boxes on the Fruit Quality
3.5. Mixed Hedgerow as Source/refuge Area of Beneficial Arthropods
4. Concluding Remarks
Supplementary Materials
Author Contributions
Funding
Institutional Review Board Statement
Informed Consent Statement
Data Availability Statement
Acknowledgments
Conflicts of Interest
References
- EC (European Commission). The European Green Deal; Communication from the Commission to the European Parliament, the European Council, the Council, the European Economic and Social Committee and the Committee of the Regions; COM (2019) 640 Final; European Commission: Brussels, Belgium, 2019. [Google Scholar]
- FAO; WHO. Sustainable Healthy Diets—Guiding Principles; FAO: Rome, Italy, 2019. [Google Scholar]
- Simon, S.; Bouvier, J.-C.; Debras, J.-F.; Sauphanor, B. Biodiversity and pest management in orchard systems. A review. Agron. Sustain. Dev. 2010, 30, 139–152. [Google Scholar] [CrossRef]
- Barzman, M.; Bàrberi, P.; Birch, A.N.E.; Boonekamp, P.; Dachbrodt-Saaydeh, S.; Graf, B.; Hommel, B.; Jensen, J.E.; Kiss, J.; Kudsk, P.; et al. Eight principles of integrated pest management. Agron. Sustain. Dev. 2015, 35, 1199–1215. [Google Scholar] [CrossRef]
- FAO. How to Practice Integrated Pest Management. Available online: http://www.fao.org/agriculture/crops/thematic-sitemap/theme/compendium/tools-guidelines/how-to-ipm/en/ (accessed on 2 April 2021).
- Garibaldi, L.A.; Sáez, A.; Aizen, M.A.; Fijen, T.; Bartomeus, I. Crop pollination management needs flower-visitor monitoring and target values. J. Appl. Ecol. 2020, 57, 664–670. [Google Scholar] [CrossRef]
- Eeraerts, M.; Smagghe, G.; Meeus, I. Pollinator diversity, floral resources and semi-natural habitat, instead of honey bees and intensive agriculture, enhance pollination service to sweet cherry. Agric. Ecosyst. Environ. 2019, 284, 7. [Google Scholar] [CrossRef]
- Pisman, M.; Eeraerts, M.; Ariza, D.; Smagghe, G.; Meeus, I. Increased compositional heterogeneity of mass-flowering orchard crops does not promote wild bee abundance in orchards. Agric. For. Entomol. 2021. early view. [Google Scholar] [CrossRef]
- Biddinger, D.J.; Rajotte, E.G. Integrated pest and pollinator management-adding a new dimension to an accepted paradigm. Curr. Opin. Insect Sci. 2015, 10, 204–209. [Google Scholar] [CrossRef] [PubMed]
- Isaacs, R.; Williams, N.; Ellis, J.; Pitts-Singer, T.L.; Bommarco, R.; Vaughan, M. Integrated Crop Pollination: Combining strategies to ensure stable and sustainable yields of pollination-dependent crops. Basic Appl. Ecol. 2017, 22, 44–60. [Google Scholar] [CrossRef]
- Lundin, O.; Rundlöf, M.; Jonsson, M.; Bommarco, R.; Williams, N.M. Integrated pest and pollinator management-expanding the concept. Front. Ecol. Environ. 2021, 19, 283–291. [Google Scholar] [CrossRef]
- Reid, W.; Mooney, H.; Cropper, A.; Capistrano, D.; Carpenter, S.; Chopra, K.; Dasgupta, P.; Dietz, T.; Duraiappah, A.; Hassan, R.; et al. Ecosystems and Human Well-Being: Synthesis: A Report for the Millennium Ecosystem Assessment; Millenium Ecosystem Assessment Synthesis Report; Island Press: Washington, DC, USA, 2005. [Google Scholar]
- Demestihas, C.; Plénet, D.; Génard, M.; Raynal, C.; Lescourret, F. Ecosystem services in orchards. A review. Agron. Sustain. Dev. 2017, 37, 12. [Google Scholar] [CrossRef]
- Debras, J.F.; Senoussi, R.; Rieux, R.; Buisson, E.; Dutoit, T. Spatial distribution of an arthropod community in a pear orchard (southern France)—Identification of a hedge effect. Agric. Ecosyst. Environ. 2008, 127, 166–176. [Google Scholar] [CrossRef]
- Pérez-Méndez, N.; Andersson, G.K.S.; Requier, F.; Hipólito, J.; Aizen, M.A.; Morales, C.L.; García, N.; Gennari, G.P.; Garibaldi, L.A. The economic cost of losing native pollinator species for orchard production. J. Appl. Ecol. 2020, 57, 599–608. [Google Scholar] [CrossRef]
- Herz, A.; Cahenzli, F.; Penvern, S.; Pfiffner, L.; Tasin, M.; Sigsgaard, L. Managing Floral Resources in Apple Orchards for Pest Control: Ideas, Experiences and Future Directions. Insects 2019, 10, 247. [Google Scholar] [CrossRef]
- Lele, S.; Springate-Baginski, O.; Lakerveld, R.; Deb, D.; Dash, P. Ecosystem Services: Origins, Contributions, Pitfalls, and Alternatives. Conserv. Soc. 2013, 11, 343–358. [Google Scholar] [CrossRef]
- Horton, D.R.; Broers, D.A.; Lewis, R.R.; Granatstein, D.; Zack, R.S.; Unruh, T.R.; Moldenke, A.R.; Brown, J.J. Effects of mowing frequency on densities of natural enemies in three Pacific Northwest pear orchards. Entomol. Exp. Appl. 2003, 106, 135–145. [Google Scholar] [CrossRef]
- Dunn, L.; Lequerica, M.; Reid, C.R.; Latty, T. Dual ecosystem services of syrphid flies (Diptera: Syrphidae): Pollinators and biological control agents. Pest Manag. Sci. 2020, 76, 1973–1979. [Google Scholar] [CrossRef]
- Brown, M.W.; Mathews, C.R. Conservation biological control of rosy apple aphid, Dysaphis plantaginea (Passerini), in eastern North America. Environ. Entomol. 2007, 36, 1131–1139. [Google Scholar] [CrossRef]
- Damos, P.; Colomar, L.-A.E.; Ioriatti, C. Integrated Fruit Production and Pest Management in Europe: The Apple Case Study and How Far We Are From the Original Concept? Insects 2015, 6, 626–657. [Google Scholar] [CrossRef] [PubMed]
- Egan, P.A.; Dicks, L.V.; Hokkanen, H.M.T.; Stenberg, J.A. Delivering Integrated Pest and Pollinator Management (IPPM). Trends Plant Sci. 2020, 25, 577–589. [Google Scholar] [CrossRef]
- Albrecht, M.; Kleijn, D.; Williams, N.M.; Tschumi, M.; Blaauw, B.R.; Bommarco, R.; Campbell, A.J.; Dainese, M.; Drummond, F.A.; Entling, M.H.; et al. The effectiveness of flower strips and hedgerows on pest control, pollination services and crop yield: A quantitative synthesis. Ecol. Lett. 2020, 23, 1488–1498. [Google Scholar] [CrossRef]
- Blaauw, B.R.; Isaacs, R. Flower plantings increase wild bee abundance and the pollination services provided to a pollination-dependent crop. J. Appl. Ecol. 2014, 51, 890–898. [Google Scholar] [CrossRef]
- Elsysy, M.; Serra, S.; Schwallier, P.; Musacchi, S.; Einhorn, T. Net Enclosure of “Honeycrisp” and “Gala” Apple Trees at Different Bloom Stages Affects Fruit Set and Alters Seed Production. Agronomy 2019, 9, 478. [Google Scholar] [CrossRef]
- Manja, K.; Aoun, M. The use of nets for tree fruit crops and their impact on the production: A review. Sci. Hortic. 2019, 246, 110–122. [Google Scholar] [CrossRef]
- Saunders, M.E.; Peisley, R.K.; Rader, R.; Luck, G.W. Pollinators, pests, and predators: Recognizing ecological trade-offs in agroecosystems. Ambio 2016, 45, 4–14. [Google Scholar] [CrossRef] [PubMed]
- Geslin, B.; Aizen, M.A.; Garcia, N.; Pereira, A.J.; Vaissiere, B.E.; Garibaldi, L.A. The impact of honey bee colony quality on crop yield and farmers’ profit in apples and pears. Agric. Ecosyst. Environ. 2017, 248, 153–161. [Google Scholar] [CrossRef]
- Quinet, M.; Warzee, M.; Vanderplanck, M.; Michez, D.; Lognay, G.; Jacquemart, A.L. Do floral resources influence pollination rates and subsequent fruit set in pear (Pyrus communis L.) and apple (Malus × domestica Borkh) cultivars? Eur. J. Agron. 2016, 77, 59–69. [Google Scholar] [CrossRef]
- Smessaert, J.; Van Geel, M.; Verreth, C.; Crauwels, S.; Honnay, O.; Keulemans, W.; Lievens, B. Temporal and spatial variation in bacterial communities of “Jonagold” apple (Malus × domestica Borkh.) and “Conference” pear (Pyrus communis L.) floral nectar. MicrobiologyOpen 2019, 8, e918. [Google Scholar] [CrossRef] [PubMed]
- Quinet, M.; Jacquemart, A.L. Difference between Pollination and Parthenocarpy in the ‘Conference’ Pear Production. In Proceedings of the XII International Pear Symposium, Leuven, Belgium, 14–18 July 2014; Deckers, T., Vercammen, J., Eds.; Acta Horticulturae. International Society of Horticultural Science: Leuven, Belgium, 2015; Volume 1094, pp. 359–366. [Google Scholar]
- Quinet, M.; Buyens, C.; Dobrev, P.I.; Motyka, V.; Jacquemart, A.L. Hormonal Regulation of Early Fruit Development in European Pear (Pyrus communis cv. ‘Conference’). Horticulturae 2019, 5, 9. [Google Scholar] [CrossRef]
- Pardo, A.; Borges, P.A.V. Worldwide importance of insect pollination in apple orchards: A review. Agric. Ecosyst. Environ. 2020, 293, 17. [Google Scholar] [CrossRef]
- Garratt, M.P.D.; Breeze, T.D.; Jenner, N.; Polce, C.; Biesmeijer, J.C.; Potts, S.G. Avoiding a bad apple: Insect pollination enhances fruit quality and economic value. Agric. Ecosyst. Environ. 2014, 184, 34–40. [Google Scholar] [CrossRef]
- Hunicken, P.L.; Morales, C.L.; Garcia, N.; Garibaldi, L.A. Insect Pollination, more than Plant Nutrition, Determines Yield Quantity and Quality in Apple and Pear. Neotrop. Entomol. 2020, 49, 525–532. [Google Scholar] [CrossRef]
- Quinet, M.; Jacquemart, A.L. Cultivar placement affects pollination efficiency and fruit production in European pear (Pyrus communis) orchards. Eur. J. Agron. 2017, 91, 84–92. [Google Scholar] [CrossRef]
- Fountain, M.T.; Mateos-Fierro, Z.; Shaw, B.; Brain, P.; Delgado, A. Insect pollinators of conference pear (Pyrus communis L.) and their contribution to fruit quality. J. Pollinat. Ecol. 2019, 25, 103–114. [Google Scholar] [CrossRef]
- Doyle, T.; Hawkes, W.L.S.; Massy, R.; Powney, G.D.; Menz, M.H.M.; Wotton, K.R. Pollination by hoverflies in the Anthropocene. Proc. R. Soc. B Biol. Sci. 2020, 287, 20200508. [Google Scholar] [CrossRef]
- Sapir, G.; Baras, Z.; Azmon, G.; Goldway, M.; Shafir, S.; Allouche, A.; Stern, E.; Stern, R.A. Synergistic effects between bumblebees and honey bees in apple orchards increase cross pollination, seed number and fruit size. Sci. Hortic. 2017, 219, 107–117. [Google Scholar] [CrossRef]
- Felicioli, A.; Pinzauti, M. Pollination by Osmia Bees (Hymenoptera: Megachilidae). In Encyclopedia of Entomology; Capinera, J.L., Ed.; Springer: Dordrecht, The Netherlands, 2008; pp. 2971–2978. [Google Scholar]
- Eeraerts, M.; Smagghe, G.; Meeus, I. Bumble bee abundance and richness improves honey bee pollination behaviour in sweet cherry. Basic Appl. Ecol. 2020, 43, 27–33. [Google Scholar] [CrossRef]
- Sedivy, C.; Dorn, S. Towards a sustainable management of bees of the subgenus Osmia (Megachilidae; Osmia) as fruit tree pollinators. Apidologie 2014, 45, 88–105. [Google Scholar] [CrossRef]
- Bosch, J.; Kemp, W.P. Developing and establishing bee species as crop pollinators: The example of Osmia spp. (Hymenoptera: Megachilidae) and fruit trees. Bull. Entomol. Res. 2002, 92, 3–16. [Google Scholar] [CrossRef]
- Eeraerts, M.; Vanderhaegen, R.; Smagghe, G.; Meeus, I. Pollination efficiency and foraging behaviour of honey bees and non-Apis bees to sweet cherry. Agric. For. Entomol. 2020, 22, 75–82. [Google Scholar] [CrossRef]
- Bosch, J.; Blas, M. Foraging Behaviour and Pollinating Efficiency of Osmia cornuta and Apis mellifera on Almond (Hymenoptera, Megachilidae and Apidae). Appl. Entomol. Zool. 1994, 29, 1–9. [Google Scholar] [CrossRef]
- Vicens, N.; Bosch, J. Weather-Dependent Pollinator Activity in an Apple Orchard, with Special Reference to Osmia cornuta and Apis mellifera (Hymenoptera: Megachilidae and Apidae). Environ. Entomol. 2000, 29, 413–420. [Google Scholar] [CrossRef]
- Departement Landbouw en Visserij. Landbouwgebruikspercelen LV, 2016–2018. 2019. Available online: http://www.geopunt.be/over-geopunt/bronnen (accessed on 19 November 2020).
- Hall, T.A. BioEdit: A User-Friendly Biological Sequence Alignment Editor and Analysis Program for Windows 95/98/NT. Nucleic Acids Symp. Ser. 1999, 41, 95–98. [Google Scholar]
- Lo, E.Y.Y.; Donoghue, M.J. Expanded phylogenetic and dating analyses of the apples and their relatives (Pyreae, Rosaceae). Mol. Phylogenet. Evol. 2012, 63, 230–243. [Google Scholar] [CrossRef]
- Piot, N.; Eeraerts, M.; Pisman, M.; Claus, G.; Meeus, I.; Smagghe, G. More is less: Mass-flowering fruit tree crops dilute parasite transmission between bees. Int. J. Parasitol. 2021. [Google Scholar] [CrossRef]
- Sickel, W.; Ankenbrand, M.J.; Grimmer, G.; Holzschuh, A.; Härtel, S.; Lanzen, J.; Steffan-Dewenter, I.; Keller, A. Increased efficiency in identifying mixed pollen samples by meta-barcoding with a dual-indexing approach. BMC Ecol. 2015, 15, 20. [Google Scholar] [CrossRef]
- Eeraerts, M.; Van Den Berge, S.; Proesmans, W.; Verheyen, K.; Smagghe, G.; Meeus, I. Fruit orchards and woody semi-natural habitat provide complementary resources for pollinators in agricultural landscapes. Landsc. Ecol. 2021, 36, 1377–1390. [Google Scholar] [CrossRef]
- Wood, T.; Holland, J.; Goulson, D. Pollinator-friendly management does not increase the diversity of farmland bees and wasps. Biol. Conserv. 2015, 187, 120–126. [Google Scholar] [CrossRef]
- EFSA. EU Pesticides Database. Available online: https://ec.europa.eu/food/plant/pesticides/eu-pesticides-db_en (accessed on 19 November 2020).
- Mallinger, R.E.; Gibbs, J.; Gratton, C. Diverse landscapes have a higher abundance and species richness of spring wild bees by providing complementary floral resources over bees’ foraging periods. Landsc. Ecol. 2016, 31, 1523–1535. [Google Scholar] [CrossRef]
- Smessaert, J.; Torfs, J.; Honnay, O.; Keulemans, W. Pollination mix: Honeybees and bumblebees as possible pollinators for Pyrus communis. In Proceedings of the XIII International Pear Symposium, Montevideo, Uruguay, 3–7 December 2018; Zoppolo, R., Cabrera, D., Granatstein, D., Eds.; Acta Horticulturae. International Society of Horticultural Science: Leuven, Belgium, 2021; Volume 1303, pp. 405–414. [Google Scholar]
- Mallinger, R.E.; Gaines-Day, H.R.; Gratton, C. Do managed bees have negative effects on wild bees?: A systematic review of the literature. PLoS ONE 2017, 12, e0189268. [Google Scholar] [CrossRef]
- Maccagnani, B.; Ladurner, E.; Santi, F.; Burgio, G. Osmia cornuta (Hymenoptera, Megachilidae) as a pollinator of pear (Pyrus communis): Fruit- and seed-set. Apidologie 2003, 34, 207–216. [Google Scholar] [CrossRef][Green Version]
- Maccagnani, B.; Burgio, G.; Stanisavljevic, L.Z.; Main, S. Osmia cornuta management in pear orchards. Bull. Insectology 2007, 60, 77–82. [Google Scholar]
- Monzon, V.H.; Bosch, J.; Retana, J. Foraging behavior and pollinating effectiveness of Osmia cornuta (Hymenoptera: Megachilidae) and Apis mellifera (Hymenoptera: Apidae) on “Comice” pear. Apidologie 2004, 35, 575–585. [Google Scholar] [CrossRef]
- Biddinger, D.J.; Joshi, N.K.; Rajotte, E.G.; Halbrendt, N.O.; Pulig, C.; Naithani, K.J.; Vaughan, M. An immunomarking method to determine the foraging patterns of Osmia cornifrons and resulting fruit set in a cherry orchard. Apidologie 2013, 44, 738–749. [Google Scholar] [CrossRef]
- Lordan, J.; Vilardell, P.; Peris, M.; Torres, E.; Alegre, S.; Asín, L. Post petal fall applications of gibberellins improve fruit set on pear. Sci. Hortic. 2019, 252, 149–155. [Google Scholar] [CrossRef]
- Boyle, N.K.; Pitts-Singer, T.L. The Effect of Nest Box Distribution on Sustainable Propagation of Osmia lignaria (Hymenoptera: Megachilidae) in Commercial Tart Cherry Orchards. J. Insect. Sci. 2017, 17. [Google Scholar] [CrossRef] [PubMed]
- Zurbuchen, A.; Landert, L.; Klaiber, J.; Müller, A.; Hein, S.; Dorn, S. Maximum foraging ranges in solitary bees: Only few individuals have the capability to cover long foraging distances. Biol. Conserv. 2010, 143, 669–676. [Google Scholar] [CrossRef]
- Bangels, E.; Schoevaerts, C.; Belien, T.; De Maeyer, L.; Gobin, B. The selectivity in the time of thiacloprid (Calypso 480 SC) applied at preblossom on the further Anthocoris nemoralis population build up in pears. Commun. Agric. Appl. Biol. Sci. 2009, 74, 255–269. [Google Scholar]
- Bangels, E.; De Schaetzen, C.; Hayen, G.; Paternotte, E.; Gobin, B. The importance of arthropod pests in Belgian pome fruit orchards. Commun. Agric. Appl. Biol. Sci. 2008, 73, 583–588. [Google Scholar]
- Paredes, D.; Rosenheim, J.A.; Chaplin-Kramer, R.; Winter, S.; Karp, D.S. Landscape simplification increases vineyard pest outbreaks and insecticide use. Ecol. Lett. 2021, 24, 73–83. [Google Scholar] [CrossRef]
- Cross, J.; Fountain, M.; Markó, V.; Nagy, C. Arthropod ecosystem services in apple orchards and their economic benefits. Ecol. Entomol. 2015, 40, 82–96. [Google Scholar] [CrossRef]
- DuPont, S.T.; Strohm, C.J. Integrated pest management programmes increase natural enemies of pear psylla in Central Washington pear orchards. J. Appl. Entomol. 2020, 144, 109–122. [Google Scholar] [CrossRef]
- Happe, A.K.; Alins, G.; Bluthgen, N.; Boreux, V.; Bosch, J.; Garcia, D.; Hamback, P.A.; Klein, A.M.; Martinez-Sastre, R.; Minarro, M.; et al. Predatory arthropods in apple orchards across Europe: Responses to agricultural management, adjacent habitat, landscape composition and country. Agric. Ecosyst. Environ. 2019, 273, 141–150. [Google Scholar] [CrossRef]
- McKerchar, M.; Potts, S.G.; Fountain, M.T.; Garratt, M.P.D.; Westbury, D.B. The potential for wildflower interventions to enhance natural enemies and pollinators in commercial apple orchards is limited by other management practices. Agric. Ecosyst. Environ. 2020, 301, 12. [Google Scholar] [CrossRef]
- Miñarro, M.; Prida, E. Hedgerows surrounding organic apple orchards in north-west Spain: Potential to conserve beneficial insects. Agric. For. Entomol. 2013, 15, 382–390. [Google Scholar] [CrossRef]
- Rodríguez-Gasol, N.; Avilla, J.; Aparicio, Y.; Arnó, J.; Gabarra, R.; Riudavets, J.; Alegre, S.; Lordan, J.; Alins, G. The Contribution of Surrounding Margins in the Promotion of Natural Enemies in Mediterranean Apple Orchards. Insects 2019, 10, 148. [Google Scholar] [CrossRef]
- Daniels, S.; Witters, N.; Beliën, T.; Vrancken, K.; Vangronsveld, J.; Van Passel, S. Monetary Valuation of Natural Predators for Biological Pest Control in Pear Production. Ecol. Econ. 2017, 134, 160–173. [Google Scholar] [CrossRef][Green Version]
- Kammerer, M.A.; Biddinger, D.J.; Joshi, N.K.; Rajotte, E.G.; Mortensen, D.A. Modeling local spatial patterns of wild bee diversity in Pennsylvania apple orchards. Landsc. Ecol. 2016, 31, 2459–2469. [Google Scholar] [CrossRef]
- Betts, M.G.; Hadley, A.S.; Kormann, U. The landscape ecology of pollination. Landsc. Ecol. 2019, 34, 961–966. [Google Scholar] [CrossRef]
- Porto, R.G.; de Almeida, R.F.; Cruz-Neto, O.; Tabarelli, M.; Viana, B.F.; Peres, C.A.; Lopes, A.V. Pollination ecosystem services: A comprehensive review of economic values, research funding and policy actions. Food Secur. 2020. [Google Scholar] [CrossRef]
- Bartholomée, O.; Aullo, A.; Becquet, J.; Vannier, C.; Lavorel, S. Pollinator presence in orchards depends on landscape-scale habitats more than in-field flower resources. Agric. Ecosyst. Environ. 2020, 293, 106806. [Google Scholar] [CrossRef]





| Treatment | |||||
|---|---|---|---|---|---|
| Year | Bagged | Open Distance to Osmia Nesting Boxes | Total | ||
| 0–10 m | 10–50 m | 50–100 m | |||
| 2016 | 0 | 298 | 90 | 60 | 448 |
| 2017 | 60 | 189 | 190 | 62 | 501 |
| 2018 | 108 | 208 | 122 | 122 | 560 |
| 2019 | 24 | 60 | 61 | 30 | 175 |
| Total | 192 | 755 | 463 | 274 | 1684 |
| Factor | df | F | p |
| Pollination treatment | 1 | 132.7 | <0.001 |
| Year | 2 | 190.1 | <0.001 |
| Pollination treatment:Year | 2 | 12.6 | <0.001 |
| Comparisons * | t | p | |
| 2017 | −2.9 | 0.039 | |
| 2018 | −11.8 | <0.001 | |
| 2019 | −3.2 | 0.017 |
| Factor | df | F | p |
| Distance | 2 | 32.5 | <0.001 |
| Year | 3 | 100.3 | <0.001 |
| Distance:Year | 6 | 2.6 | 0.016 |
| Comparisons * | t | p | |
| 2016 | 0–10 m—10–50 m | 0.9 | 0.99 |
| 0–10 m—50–100 m | −5.6 | <0.001 | |
| 10–50 m—50–100 m | −4.1 | <0.01 | |
| 2017 | 0–10 m—10–50 m | 2.3 | 0.50 |
| 0–10 m—50–100 m | 1.5 | 0.95 | |
| 10–50 m—50–100 m | 0.2 | 1.00 | |
| 2018 | 0–10 m—10–50 m | 3.4 | 0.038 |
| 0–10 m—50–100 m | 5.3 | <0.001 | |
| 10–50 m—50–100 m | 1.7 | 0.86 | |
| 2019 | 0–10 m—10–50 m | 2.9 | 0.14 |
| 0–10 m—50–100 m | 2.1 | 0.61 | |
| 10–50 m—50–100 m | −0.3 | 1.00 |
Publisher’s Note: MDPI stays neutral with regard to jurisdictional claims in published maps and institutional affiliations. |
© 2021 by the authors. Licensee MDPI, Basel, Switzerland. This article is an open access article distributed under the terms and conditions of the Creative Commons Attribution (CC BY) license (https://creativecommons.org/licenses/by/4.0/).
Share and Cite
Belien, T.; Raymaekers, S.; Eeraerts, M.; Mommaerts, V.; Claus, G.; Bogen, C.; Piot, N.; Smagghe, G.; Spanoghe, P.; Bylemans, D. Towards Integrated Pest and Pollinator Management in Intensive Pear Cultivation: A Case Study from Belgium. Insects 2021, 12, 901. https://doi.org/10.3390/insects12100901
Belien T, Raymaekers S, Eeraerts M, Mommaerts V, Claus G, Bogen C, Piot N, Smagghe G, Spanoghe P, Bylemans D. Towards Integrated Pest and Pollinator Management in Intensive Pear Cultivation: A Case Study from Belgium. Insects. 2021; 12(10):901. https://doi.org/10.3390/insects12100901
Chicago/Turabian StyleBelien, Tim, Stijn Raymaekers, Maxime Eeraerts, Veerle Mommaerts, Gregor Claus, Christian Bogen, Niels Piot, Guy Smagghe, Pieter Spanoghe, and Dany Bylemans. 2021. "Towards Integrated Pest and Pollinator Management in Intensive Pear Cultivation: A Case Study from Belgium" Insects 12, no. 10: 901. https://doi.org/10.3390/insects12100901
APA StyleBelien, T., Raymaekers, S., Eeraerts, M., Mommaerts, V., Claus, G., Bogen, C., Piot, N., Smagghe, G., Spanoghe, P., & Bylemans, D. (2021). Towards Integrated Pest and Pollinator Management in Intensive Pear Cultivation: A Case Study from Belgium. Insects, 12(10), 901. https://doi.org/10.3390/insects12100901

