Thermal Effects on the Population Parameters and Growth of Acyrthosiphon pisum (Harris) (Hemiptera: Aphididae)
Abstract
1. Introduction
2. Materials and Methods
2.1. Insect Colony
2.2. Life Table Study
2.3. Life Table Data Analysis
2.4. Population Projection
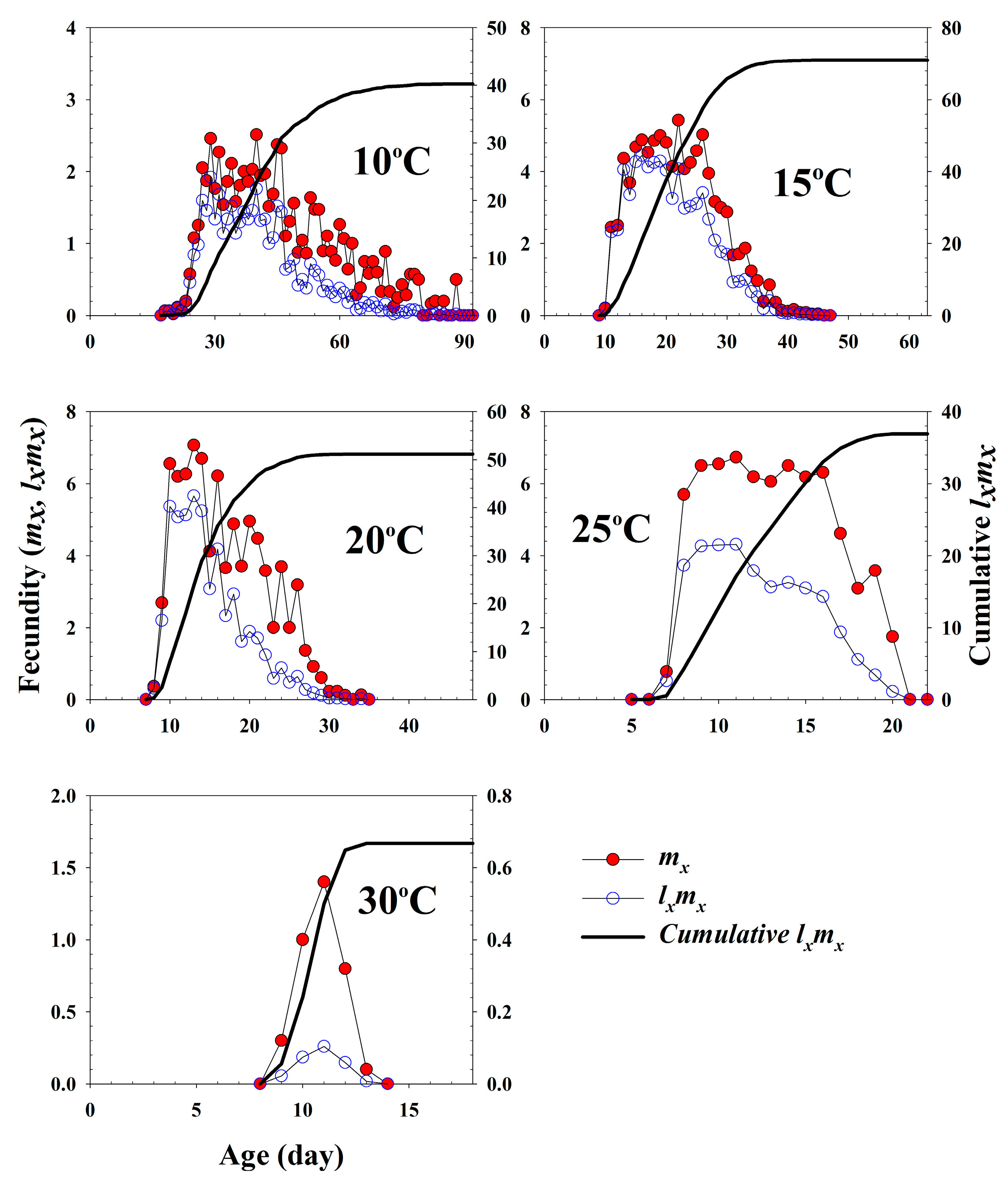
3. Results
4. Discussion
5. Conclusions
Author Contributions
Funding
Acknowledgments
Conflicts of Interest
References
- Blackman, R.I.; Eastop, V.F. Aphids on the World’s Crops: An Identification and Information Guide; John Wiley: New York, NY, USA, 2000; p. 218. [Google Scholar]
- Cuperus, G.; Radcliffe, E.; Barnes, D.; Marten, G. Economic injury levels and economic thresholds for pea aphid, Acyrthosiphon pisum (Harris), on alfalfa. Crop Prot. 1982, 1, 453–463. [Google Scholar] [CrossRef]
- Takemoto, H.; Uefune, M.; Ozawa, R.; Arimura, G.-I.; Takabayashi, J. Previous infestation of pea aphids Acyrthosiphon pisumon broad bean plants resulted in the increased performance of conspecific nymphs on the plants. J. Plant Interact. 2013, 8, 370–374. [Google Scholar] [CrossRef]
- Brault, V.; Tanguy, S.; Reinbold, C.; Le Trionnaire, G.; Arneodo, J.; Jaubert-Possamai, S.; Guernec, G.; Tagu, D. Transcriptomic analysis of intestinal genes following acquisition of pea enation mosaic virus by the pea aphid Acyrthosiphon pisum. J. Gen. Virol. 2009, 91, 802–808. [Google Scholar] [CrossRef] [PubMed]
- Clarke, R.G.; Bath, J.E. Transmission of Pea Enation Mosaic Virus by the Pea Aphid, Acyrthosiphon pisum, following Virus Acquisition by Injection1,2. Ann. Entomol. Soc. Am. 1973, 66, 603–607. [Google Scholar] [CrossRef]
- Hodge, S.; Powell, G. Conditional Facilitation of an Aphid Vector, Acyrthosiphon pisum, by the Plant Pathogen, Pea Enation Mosaic Virus. J. Insect Sci. 2010, 10, 1–14. [Google Scholar] [CrossRef]
- Schwinghamer, M.W.; Nicholas, A.H.; Schilg, M.A. Three aphid vectors of faba bean (Vicia faba) viruses in northern New South Wales and occurrence of Acyrthosiphon pisum-transmitted isolates of Soybean dwarf virus. Australas. Plant Pathol. 2009, 38, 262–269. [Google Scholar] [CrossRef]
- Harris, R.M.B.; Beaumont, L.J.; Vance, T.R.; Tozer, C.R.; Remenyi, T.; Perkins-Kirkpatrick, S.E.; Mitchell, P.J.; Nicotra, A.B.; McGregor, S.; Andrew, N.R.; et al. Biological responses to the press and pulse of climate trends and extreme events. Nat. Clim. Chang. 2018, 8, 579–587. [Google Scholar] [CrossRef]
- Jactel, H.; Koricheva, J.; Castagneyrol, B. Responses of forest insect pests to climate change: Not so simple. Curr. Opin. Insect Sci. 2019, 35, 103–108. [Google Scholar] [CrossRef]
- Lehmann, P.; Ammunét, T.; Barton, M.; Battisti, A.; Eigenbrode, S.D.; Jepsen, J.U.; Kalinkat, G.; Neuvonen, S.; Niemelä, P.; Terblanche, J.S.; et al. Complex responses of global insect pests to climate warming. Front. Ecol. Environ. 2020, 18, 141–150. [Google Scholar] [CrossRef]
- Govindan, B.N.; Hutchinson, W.D. Influence of temperature on age-stage, two-sex life tables for a Minnesota-acclimated population of the brown marmorated stink bug (Halyomorpha halys). Insects 2020, 11, 108. [Google Scholar] [CrossRef]
- Ahn, J.J.; Choi, K.S.; Koh, S. Effects of temperature on the development, fecundity, and life table parameters of Riptortus pedestris (Hemiptera: Alydidae). Appl. Entomol. Zool. 2018, 54, 63–74. [Google Scholar] [CrossRef]
- Cui, J.; Zhu, S.-Y.; Bi, R.; Xu, W.; Gao, Y.; Shi, S.-S. Effect of Temperature on the Development, Survival, and Fecundity of Heliothis viriplaca (Lepidoptera: Noctuidae). J. Econ. Entomol. 2018, 111, 1940–1946. [Google Scholar] [CrossRef] [PubMed]
- Aguila, L.C.R.; Hussain, M.; Huang, W.; Lei, L.; Bamisile, B.S.; Wang, F.; Chi, H.; Wang, L. Temperature-Dependent Demography and Population Projection of Tamarixia radiata (Hymenoptera: Eulophidea) reared on Diaphorina citri (Hemiptera: Liviidae). J. Econ. Entomol. 2019, 113, 55–63. [Google Scholar] [CrossRef]
- Brière, J.-F.; Pracros, P.; Le Roux, A.-Y.; Pierre, J.-S. A Novel Rate Model of Temperature-Dependent Development for Arthropods. Environ. Entomol. 1999, 28, 22–29. [Google Scholar] [CrossRef]
- Campbell, A.; Frazer, B.D.; Gilbert, N.; Gutierrez, A.P.; Mackauer, M. Temperature Requirements of Some Aphids and Their Parasites. J. Appl. Ecol. 1974, 11, 431–438. [Google Scholar] [CrossRef]
- Ikemoto, T. Intrinsic Optimum Temperature for Development of Insects and Mites. Environ. Entomol. 2005, 34, 1377–1387. [Google Scholar] [CrossRef]
- Lactin, D.J.; Holliday, N.J.; Johnson, D.L.; Craigen, R. Improved Rate Model of Temperature-Dependent Development by Arthropods. Environ. Entomol. 1995, 24, 68–75. [Google Scholar] [CrossRef]
- Logan, J.A.; Wollkind, D.J.; Hoyt, S.C.; Tanigoshi, L.K. An Analytic Model for Description of Temperature Dependent Rate Phenomena in Arthropods. Environ. Entomol. 1976, 5, 1133–1140. [Google Scholar] [CrossRef]
- Schoolfield, R.; Sharpe, P.; Magnuson, C. Non-linear regression of biological temperature-dependent rate models based on absolute reaction-rate theory. J. Theor. Biol. 1981, 88, 719–731. [Google Scholar] [CrossRef]
- Sharpe, P.J.; DeMichele, D.W. Reaction kinetics of poikilotherm development. J. Theor. Biol. 1977, 64, 649–670. [Google Scholar] [CrossRef]
- Shi, P.; Ge, F.; Sun, Y.; Chen, C. A simple model for describing the effect of temperature on insect developmental rate. J. Asia-Pac. Entomol. 2011, 14, 15–20. [Google Scholar] [CrossRef]
- Chi, H.; Liu, H. Two new methods for the study of insect population ecology. Zool. Stud. 1985, 24, 225–240. [Google Scholar]
- Chi, H. Life-Table Analysis Incorporating Both Sexes and Variable Development Rates Among Individuals. Environ. Entomol. 1988, 17, 26–34. [Google Scholar] [CrossRef]
- Chen, G.-M.; Chi, H.; Wang, R.-C.; Wang, Y.-P.; Xu, Y.-Y.; Li, X.-D.; Yin, P.; Zheng, F.-Q. Demography and Uncertainty of Population Growth of Conogethes punctiferalis (Lepidoptera: Crambidae) Reared on Five Host Plants With Discussion on Some Life History Statistics. J. Econ. Entomol. 2018, 111, 2143–2152. [Google Scholar] [CrossRef] [PubMed]
- Akça, I.; Ayvaz, T.; Yazici, E.; Smith, C.L.; Chi, H. Demography and Population Projection of Aphis fabae (Hemiptera: Aphididae): With Additional Comments on Life Table Research Criteria. J. Econ. Entomol. 2015, 108, 1466–1478. [Google Scholar] [CrossRef]
- Yu, J.-Z.; Chi, H.; Chen, B.-H. Comparison of the life tables and predation rates of Harmonia dimidiata (F.) (Coleoptera: Coccinellidae) fed on Aphis gossypii Glover (Hemiptera: Aphididae) at different temperatures. Biol. Control 2013, 64, 1–9. [Google Scholar] [CrossRef]
- Lu, W.-N.; Kuo, M. Life table and heat tolerance of Acyrthosiphon pisum (Hemiptera: Aphididae) in subtropical Taiwan. Entomol. Sci. 2008, 11, 273–279. [Google Scholar] [CrossRef]
- Mastoi, A.H.; Ahmed, N.; Rehman, S.-U.; Khan, I.A.; Jiang, J.; Hu, X.-S.; Liu, T.-X. Effect of heat stress on life history of pea aphid, Acyrthosiphon pisum (Harris) (Hemiptera: Aphididae) based on life-table technique. Pak. J. Agric. Sci. 2020, 57, 325–332. [Google Scholar] [CrossRef]
- Chi, H. TWOSEX-MSChart: A Computer Program for the Age-Stage, Two-Sex Life Table Analysis. Available online: http://140.120.197.173/Ecology/Download/Twosex-MSChart.exe-B100000.rar (accessed on 20 January 2020).
- Goodman, D. Optimal Life Histories, Optimal Notation, and the Value of Reproductive Value. Am. Nat. 1982, 119, 803–823. [Google Scholar] [CrossRef]
- Tuan, S.-J.; Lee, C.-C.; Chi, H. Population and damage projection of Spodoptera litura (F.) on peanuts (Arachis hypogaea L.) under different conditions using the age-stage, two-sex life table. Pest Manag. Sci. 2014, 70, 805–813, Erratum in 2014, 70, 1936. [Google Scholar] [CrossRef]
- Efron, B.; Tibshirani, R.J. An Introduction to the Bootstrap; Chapman & Hall: New York, NY, USA, 1993; pp. 39–85. [Google Scholar]
- Chi, H. TIMING-MSChart: A Computer Program for the Population Projection Based on Age-Stage, Two-Sex Life Table. Available online: http://140.120.197.173/Ecology/Download/Timing-MSChart.rar (accessed on 20 January 2020).
- Park, J.H.; Kwon, S.H.; Kim, T.O.; Oh, S.O.; Kim, D.-S. Temperature-dependent Development and Fecundity of Rhopalosiphum padi (L.) (Hemiptera: Aphididae) on Corns. Korean J. Appl. Entomol. 2016, 55, 149–160. [Google Scholar] [CrossRef]
- Samayoa, A.C.; Choi, K.S.; Wang, Y.-S.; Hwang, S.-Y.; Huang, Y.-B.; Ahn, J.J. Thermal effects on the development of Bactrocera dorsalis (Hendel) (Diptera: Tephritidae) and model validation in Taiwan. Phytoparasitica 2018, 46, 365–376. [Google Scholar] [CrossRef]
- Auad, A.M.; Alves, S.O.; Carvalho, C.A.; Silva, D.M.; Resende, T.T.; Veríssimo, B.A. The Impact of Temperature on Biological Aspects and Life Table of Rhopalosiphum padi L. (Hemiptera: Aphididae) Fed with Signal Grass. Fla. Entomol. 2009, 92, 569–577. [Google Scholar] [CrossRef]
- Park, C.-G.; Choi, B.-R.; Cho, J.R.; Kim, J.-H.; Ahn, J.J. Thermal effects on the development, fecundity and life table parameters of Rhopalosiphum padi (Linnaeus) (Hemiptera: Aphididae) on barley. J. Asia-Pac. Entomol. 2017, 20, 767–775. [Google Scholar] [CrossRef]
- Collins, C.M.; Leather, S.R. Effect of temperature on fecundity and development of the Giant Willow Aphid, Tuberolachnus salignus (Sternorrhyncha: Aphididae). Eur. J. Entomol. 2001, 98, 177–182. [Google Scholar] [CrossRef]
- Diaz, B.M.; Fereres, A. Life Table and Population Parameters of Nasonovia ribisnigri (Homoptera: Aphididae) at Different Constant Temperatures. Environ. Entomol. 2005, 34, 527–534. [Google Scholar] [CrossRef]
- Bayhan, E.; Ölmez-Bayhan, S.; Ulusoy, M.R.; Brown, J.K. Effect of Temperature on the Biology of Aphis punicae (Passerini) (Homoptera: Aphididae) on Pomegranate. Environ. Entomol. 2005, 34, 22–26. [Google Scholar] [CrossRef]
- Tofangsazi, N.; Kheranmand, K.; Shahrokhi, S.; Talebi, A.A. Temperature-dependent life history of Schizaphis graminum on barley. Bull. Insectology 2010, 63, 79–84. [Google Scholar]
- Cho, J.R.; Kim, J.-H.; Choi, B.-R.; Seo, B.-Y.; Kim, K.-H.; Ji, C.W.; Park, C.-G.; Ahn, J.J. Thermal effects on the development, fecundity and life table parameters of Aphis craccivora Koch (Hemiptera: Aphididae) on yardlong bean (Vigna unguiculata subsp. sesquipedalis (L.)). Korean J. Appl. Entomol. 2018, 57, 261–269. [Google Scholar] [CrossRef]
- Soh, B.S.B.; Kekeunou, S.; Nanga, S.N.; Dongmo, M.; Rachid, H. Effect of temperature on the biological parameters of the cabbage aphid Brevicoryne brassicae. Ecol. Evol. 2018, 8, 11819–11832. [Google Scholar] [CrossRef] [PubMed]
- Asin, L.; Pons, X. Effect of High Temperature on the Growth and Reproduction of Corn Aphids (Homoptera: Aphididae) and Implications for Their Population Dynamics on the Northeastern Iberian Peninsula. Environ. Entomol. 2001, 30, 1127–1134. [Google Scholar] [CrossRef]
- Wang, J.J.; Tsai, J.H. Development, survival and reproduction of black citrus aphid, Toxoptera aurantii (Hemiptera: Aphididae), as a function of temperature. Bull. Entomol. Res. 2001, 91, 477–487. [Google Scholar] [PubMed]
- Lewontin, R.C. Selection for colonizing ability. In The Genetic of Colonizing Species; Baker, H.G., Stebbins, G.L., Eds.; Academic Press: San Diego, CA, USA, 1965; pp. 77–94. [Google Scholar]
- Morgan, D.; Walters, K.F.; Aegerter, J.N. Effect of temperature and cultivar on pea aphid, Acyrthosiphon pisum (Hemiptera: Aphididae) life history. Bull. Entomol. Res. 2001, 91, 47–52. [Google Scholar]
- Bieri, M.; Baumgärtner, J.; Bianchi, G.; Delucchi, V.; von Arx, R. Development and fecundity of pea aphid (Acyrthosiphon pisum Harris) as affected by constant temperatures and by pea varieties. Mitt. Schweiz. Entomol. Ges. 1983, 56, 163–171. [Google Scholar] [CrossRef]
- Birch, L.C. The Intrinsic Rate of Natural Increase of an Insect Population. J. Anim. Ecol. 1948, 17, 15–26. [Google Scholar] [CrossRef]
- Meyer, J.S.; Ingersoll, C.G.; McDonald, L.L.; Boyce, M.S. Estimating Uncertainty in Population Growth Rates: Jackknife vs. Bootstrap Techniques. Ecology 1986, 67, 1156–1166. [Google Scholar] [CrossRef]
- Hutchison, W.D.; Hogg, D.B. Demographic Statistics for the Pea Aphid (Homoptera: Aphididae) in Wisconsin and a Comparison with Other Populations. Environ. Entomol. 1984, 13, 1173–1181. [Google Scholar] [CrossRef]
- Lamb, R.J.; Mackay, P.A.; Gerber, G.H. Are development and growth of pea aphid, Acyrthosiphon pisum, in North America adapted to local temperature? Oecologia 1987, 72, 170–177. [Google Scholar] [CrossRef]
- Crowley, P.H. Resampling methods for computation-intensive data analysis in ecology and evolution. Annu. Rev. Ecol. Syst. 1992, 23, 405–447. [Google Scholar] [CrossRef]







| Parameters | Temperature, °C | ||||
|---|---|---|---|---|---|
| 10 | 15 | 20 | 25 | 30 | |
| 1st Nymph duration | 4.9 ± 0.16 a(48) | 3.1 ± 0.16 b(55) | 2.1 ± 0.06 c(54) | 2.0 ± 0.06 c(61) | 1.9 ± 0.13 c(39) |
| 2nd Nymph duration | 4.2 ± 0.29 a(47) | 2.9 ± 0.12 b(53) | 1.9 ± 0.10 c(51) | 1.4 ± 0.07 d(56) | 1.3 ± 0.08 d(31) |
| 3rd Nymph duration | 4.5 ± 0.27 a(39) | 2.9 ± 0.11 b(53) | 1.9 ± 0.09 c(49) | 1.6 ± 0.11 d(49) | 1.6 ± 0.12 d(18) |
| 4th Nymph duration | 8.3 ± 0.41 a(39) | 3.3 ± 0.08 b(53) | 2.4 ± 0.09 c(45) | 1.9 ± 0.09 d(42) | 1.7 ± 0.16 d(8) |
| Pre-adult duration | 21.3 ± 0.31 a(39) | 12.2 ± 0.23 b(53) | 8.3 ± 0.16 c(45) | 6.7 ± 0.16 d(42) | 6.5 ± 0.26 d(8) |
| Adult female longevity | 37.7 ± 2.63 a(39) | 26.1 ± 1.92 b(53) | 15.8 ± 1.34 c(45) | 10.9 ± 0.54 d(42) | 8.3 ± 0.18 e(8) |
| APOP | 5.1 ± 0.24 a(39) | 0.3 ± 0.09 d(53) | 1.8 ± 0.14 c(45) | 1.4 ± 0.13 c(42) | 4.0 ± 0.42 b(8) |
| TPOP | 26.4 ± 0.46 a(39) | 12.5 ± 0.24 b(53) | 10.0 ± 0.23 c(45) | 8.1 ± 0.16 d(42) | 10.5 ± 0.42 c(8) |
| Oviposition duration | 22.1 ± 1.65 a(39) | 16.4 ± 0.97 b(53) | 10.1 ± 0.74 c(45) | 8.3 ± 0.53 c(42) | 2.0 ± 0.32 d(8) |
| Fecundity(Fr) (nymphs/reproductive female) | 51.5 ± 3.93 b(50 *) | 74.9 ± 4.24 a(56 *) | 62.5 ± 4.22 b(55 *) | 56.2 ± 4.11 b(64 *) | 4.5 ± 110 c(54 *) |
| Total longevity | 59.1 ± 2.68 a(39) | 38.3 ± 1.96 b(53) | 24.0 ± 1.35 c(45) | 17.7 ± 0.51 d(42) | 14.8 ± 0.39 e(8) |
| Parameters | Temperature, °C | ||||
|---|---|---|---|---|---|
| 10 | 15 | 20 | 25 | 30 | |
| Pre-adult survival rate (%) | 0.78 ± 0.05 bc(50) | 0.95 ± 0.03 a(56) | 0.82 ± 0.05 b(55) | 0.66 ± 0.05 c(64) | 0.15 ± 0.04 d(54) |
| First age of survival rate < 50% (days) | 49.9 ± 3.17 a(50) | 36.3 ± 4.83 b(56) | 19.1 ± 0.81 c(55) | 14.5 ± 2.01 d(64) | 5.0 ± 0.72 e(54) |
| Net reproductive rate (Ro) | 40.2 ± 4.29 bc(50) | 70.9 ± 4.60 a(56) | 51.2 ± 4.75 b(55) | 36.9 ± 4.27 c(64) | 0.67 ± 0.26 d(54) |
| Intrinsic rate of increase (rm) | 0.10 ± 0.003 c(50) | 0.23 ± 0.004 b(56) | 0.28 ± 0.007 a(55) | 0.30 ± 0.01 a(64) | −0.03 ± 0.03 d(54) |
| Finite rate of increase (λ) | 1.11 ± 0.003 c(50) | 1.26 ± 0.005 b(56) | 1.32 ± 0.009 a(55) | 1.35 ± 0.01 a(64) | 0.97 ± 0.03 d(54) |
| Mean generation time (T) | 36.3 ± 0.69 a(50) | 18.4 ± 0.31 b(56) | 13.9 ± 0.25 c(55) | 12.0 ± 0.17 d(64) | 11.8 ± 1.27 d(54) |
| Proportion of female individuals (Nf /N) | 0.78 ± 0.05 bc(50) | 0.95 ± 0.03 a(56) | 0.82 ± 0.05 b(55) | 0.66 ± 0.05 c(64) | 0.15 ± 0.04 d(54) |
| Proportion of N-type individuals (Nn/N) | 0.22 ± 0.05 bc(50) | 0.05 ± 0.03 d(56) | 0.18 ± 0.05 c(55) | 0.34 ± 0.05 b(64) | 0.85 ± 0.04 a(54) |
© 2020 by the authors. Licensee MDPI, Basel, Switzerland. This article is an open access article distributed under the terms and conditions of the Creative Commons Attribution (CC BY) license (http://creativecommons.org/licenses/by/4.0/).
Share and Cite
Ahn, J.J.; Cho, J.R.; Kim, J.-H.; Seo, B.Y. Thermal Effects on the Population Parameters and Growth of Acyrthosiphon pisum (Harris) (Hemiptera: Aphididae). Insects 2020, 11, 481. https://doi.org/10.3390/insects11080481
Ahn JJ, Cho JR, Kim J-H, Seo BY. Thermal Effects on the Population Parameters and Growth of Acyrthosiphon pisum (Harris) (Hemiptera: Aphididae). Insects. 2020; 11(8):481. https://doi.org/10.3390/insects11080481
Chicago/Turabian StyleAhn, Jeong Joon, Jum Rae Cho, Jeong-Hwan Kim, and Bo Yoon Seo. 2020. "Thermal Effects on the Population Parameters and Growth of Acyrthosiphon pisum (Harris) (Hemiptera: Aphididae)" Insects 11, no. 8: 481. https://doi.org/10.3390/insects11080481
APA StyleAhn, J. J., Cho, J. R., Kim, J.-H., & Seo, B. Y. (2020). Thermal Effects on the Population Parameters and Growth of Acyrthosiphon pisum (Harris) (Hemiptera: Aphididae). Insects, 11(8), 481. https://doi.org/10.3390/insects11080481
