Abstract
Research on coprophagous beetles of the Hydrophilidae family in the Polish Carpathians was conducted from 2011 to 2013. The beetles were caught using baited traps. The research sites were selected to take into account both the horizontal diversity of habitat conditions and the vertical diversity associated with elevation above sea level. During the study, 9589 coprophagous hydrophilid individuals were collected, representing 17 species and five genera. Two species that were new to Poland were found: Cercyon tatricus and Pachysternum capense. The vertical ranges of the individual species of coprophagous hydrophilid beetles within the Polish Carpathians were determined as well as the elevations above sea level, with the highest and lowest species richness of this group of insects. The capture of Pachysternum capense in the Tatra Mountains may indicate the existence of an unrecognized path of migration of small insects from Southern to Northern Europe. The route and mechanisms of their migration are discussed.
1. Introduction
The Hydrophilidae family consists mainly of water beetles. Terrestrial species are generally grouped in the highly morphologically and ecologically diverse subfamily, Sphaeridiinae. Most of the Sphaeridiinae species are associated with various kinds of decaying organic substrates (leaf litter, decaying trunks, logs, under rotten bark, garden compost, decaying seaweed, carrion and dung), but there are also genera associated with ants and termites and several of them returned to the aquatic environment. The various types of organic substances inhabited by Sphaeridiinae include mammalian excrement, which is the primary living environment for most European species [1,2,3,4].
Before the present study, Polish coprophagous Hydrophilidae included 22 species, classified into four genera: Cercyon (12 species), Cryptopleurum (3), Megasternum (2) and Sphaeridium (5) [5,6].
Owing to research on coprophagous Hydrophilidae both in Poland and all over Europe, this group of beetles is quite well known in the lowlands and highlands of Europe [7,8,9,10,11,12,13,14,15,16,17]. However, there are few data on this group of beetles from the mountainous areas of Europe. This applies to both faunistic data and the altitudinal preferences of individual species [18,19,20,21].
The present study was aimed at acquiring knowledge of the species composition of this group of beetles, their dominance structure and the altitudinal preferences of individual species in the Polish Carpathians.
2. Materials and Methods
2.1. Study Areas
The Polish Carpathians as a physical geographical region are a highly diverse natural environment. Therefore, the research sites were selected to take into account both the horizontal diversity of the habitat conditions and the vertical diversity associated with increasing altitude. Beetles were caught at a total of 49 sites (Table 1, Figure 1).
Table 1.
List of sites of research on coprophagous hydrophilids in the Polish Carpathians.
Figure 1.
Location of sampling sites in the Polish Carpathians.
The research on coprophagous hydrophilids was conducted from 2011 to 2013, together with research on the biodiversity of coprophagous Scarabaeoidea of the Polish Carpathians. Each year, the research was begun in the second half of April and continued until the end of October. The exception was the Tatra Mountains where, due to climatic conditions, the research was begun each year in the second half of May and continued until mid-September.
2.2. Sampling Method (Collection of Dung Beetles)
Coprophagous beetles were collected using baited traps. These were pitfall traps in the form of plastic containers with a diameter of about 17 cm and a height of 20 cm, filled with about 200 mL of ethylene glycol as a preservative. This part of the trap was buried with its rim level with the ground and covered with 15 mm wire mesh. About 800 g of fresh animal excrement was placed on the mesh. Feces of sheep (about 40%) and cattle (about 60%) were mixed together in order to account for the food preferences of as many species as possible. All traps were placed in open areas with full sunlight, in grassland and herbaceous communities, except for two sites (Przehyba and Przełęcz Krowiarki), where the traps were placed within a subalpine spruce forest (Plagiothecio-Piceetum tatricum association), but also in areas without trees (Table 1). Three traps, spaced 10 m apart, were placed at each site. The traps were emptied every 10–12 days [22].
2.3. Nomenclature and Systematics
The nomenclature and systematic classification of the Hydrophilidae family was adopted following Przewoźny [23].
Fikáček and Boukal [24] presented a key for the identification of the European genera of the subfamily Sphaeridiinae, including the genus Pachysternum, as well as a detailed description of P. capense. The following works were used to identify species: [1,14,25,26,27].
2.4. Data Analyses
The literature contains many works devoted to the various methods of measuring species diversity [28,29,30]. However, the most coherent means of measuring species diversity was suggested by Hill [31]. Although Hill’s concept was underappreciated for many years, Jost [32,33] has demonstrated that “Hill numbers of order q” are the most coherent method, combining the most commonly used indices into one simple formula. The only element linking the indices used is the exponent q. According to Jost [33], the diversity index based on order q is called “true diversity” [32,33].
In this study, species diversity was determined based on Hill numbers, where:
At q = 0, the abundances of individual species are not taken into account, so the value is simply the species richness of a given area.
At q = 1, we obtain the Shannon diversity index, according to the Hill formula; very abundant and less abundant or rare species all have the same weight, i.e., the value obtained is the most neutral and indicates “true species diversity”. The higher the value at q = 1, the more balanced the dominance structures of the assemblage are.
At q = 2, we obtain an index which is the reverse of Simpson’s index; Hill’s formula gives greater weight to more numerous and common species and less to rare species. Lower values at q = 2 indicate the strong dominance of two or three species in the assemblage.
The diversity profile was calculated using Past 4.02 software.
The diversity profile curves for each vegetation belt were plotted based on the Hill numbers. The three fixed dots on each graph indicate Hill numbers for q = 0, 1 and 2. The slope of the curve reflects the unevenness of the relative species abundances. The more uneven the distribution of relative abundances (i.e., strong dominance of one or two species in the community), the steeper the slope of the curve is [22].
Based on a Monte Carlo null model, the rarefaction method was used to determine the species richness for each interval of elevation above sea level. This method makes it possible to compare sites differing not only in the number of species but also in sample size. Rarefaction curves were calculated and plotted using Past 4.02 software.
3. Results
During the study carried out in 2011–2013 in the Polish Carpathians, 9589 coprophagous hydrophilid individuals were collected, representing 17 species and five genera (Table 2). The dominant species in the coprophagous hydrophilid beetle assemblages were Sphaeridium lunatum, with a 28.80% share, Cercyon lateralis with 11.74% and Cercyon castaneipennis with 8.13% (Table 2). According to the dominance scale used, Cercyon impressus was a superdominant species in the Polish Carpathians, with 38.46% (Table 2).
Table 2.
Percentage share and abundance of coprophagous hydrophilids (Coleoptera, Hydrophilidae, Sphaeridiinae) caught in baited traps in the Polish Carpathians in 2011–2013.
On average, seven coprophagous Hydrophilidae species were caught per site. The fewest were caught at Przełęcz Krowiarki (only one species) and the most (14 species) in Ciechania. Sites that were relatively rich in species included Gołkowice Dolne (13 species), Upłaziańska Kopa (12 species), Tarnica, Rozstajne and Brzegi Górne (10 species each) (Table 3). In most cases, the number of species caught at a given site was close to the average which was from five to nine species.
Table 3.
Coprophagous hydrophilid beetles recorded in 2011–2013 at sites in the Polish Carpathians.
3.1. Species Diversity and Dominance Structures of Coprophagous Hydrophilid Beetle Assemblages in the Polish Carpathians
The species richness of coprophagous hydrophilid species (0D) in the Polish Carpathians was 17, 1D diversity was 5.39 and 2D was 3.93 (Figure 2). Cercyon impressus was superdominant throughout the Carpathians, with a share of 38.46%. The group of dominants comprised Sphaeridium lunatum, with a 28.80% share, Cercyon lateralis, with 11.74% and Cercyon castaneipennis with 8.13% (Table 2).
Figure 2.
Diversity profile curve plotting Hill numbers for coprophagous hydrophilid beetles in the Polish Carpathians along the elevation gradient.
In the alpine belt, species richness of coprophagous hydrophilids (0D) was 10, 1D diversity was 2.12, and 2D was 1.41 (Figure 3). Cercyon impressus was a superdominant in this region, with a share of 83.42%, while the dominant was Cercyon castaneipennis with 5.69%, (Figure 4).
Figure 3.
Diversity profile curve plotting Hill numbers for the alpine belt.
Figure 4.
Percentage shares of all coprophagous hydrophilid beetle species recorded in 2011–2013 in the alpine belt.
In the subalpine belt, the species richness was 13 species (0D = 13), while diversity at the 1D level was 3.24 and 2D was 2 (Figure 5). The superdominant in this belt was Cercyon impressus (69.24%), and three species were dominants (Figure 6).
Figure 5.
Diversity profile curve plotting Hill numbers for the subalpine belt.
Figure 6.
Percentage shares of all coprophagous hydrophilid beetle species recorded in 2011–2013 in the subalpine belt.
In the upper montane belt, the species richness was 14 species (0D = 14), while diversity at the 1D level was 3.65 and 2D was 2.55 (Figure 7). Cercyon impressus was a superdominant in this region, with a share of 58.45%, and three species were dominants (Figure 8).
Figure 7.
Diversity profile curve plotting Hill numbers for the upper montane belt.
Figure 8.
Percentage shares of all coprophagous hydrophilid beetle species recorded in 2011–2013 in the upper montane belt.
The greatest species richness was noted in the lower montane belt. There were 15 coprophagous hydrophilid species found here (0D), with a 1D diversity of 5.34 and 2D = 3.99 (Figure 9). Cercyon impressus was a superdominant in this region, with a share of 38.23%, while the dominants were Sphaeridium lunatum with 27.72%, Cercyon lateralis with 11.75% and Cercyon castaneipennis with 10.04% (Figure 10).
Figure 9.
Diversity profile curve plotting Hill numbers for the lower montane belt.
Figure 10.
Percentage shares of all coprophagous hydrophilid beetle species recorded in 2011–2013 in the lower montane belt.
In the foothills belt, the species richness was 14 species (0D = 14), while diversity at the 1D level was 5.28 and 2D was 3.99 (Figure 11). The superdominant in this belt was Sphaeridium lunatum (38.93%), while the dominants were Cercyon impressus with 24.95%, Cercyon lateralis with 16.69%, Cercyon castaneipennis with 5.82% and Sphaeridium scarabaeoides with 5.05% (Figure 12).
Figure 11.
Diversity profile curve plotting Hill numbers for the foothills belt.
Figure 12.
Percentage shares of all coprophagous hydrophilid beetles species recorded in 2011–2013 in the foothills belt.
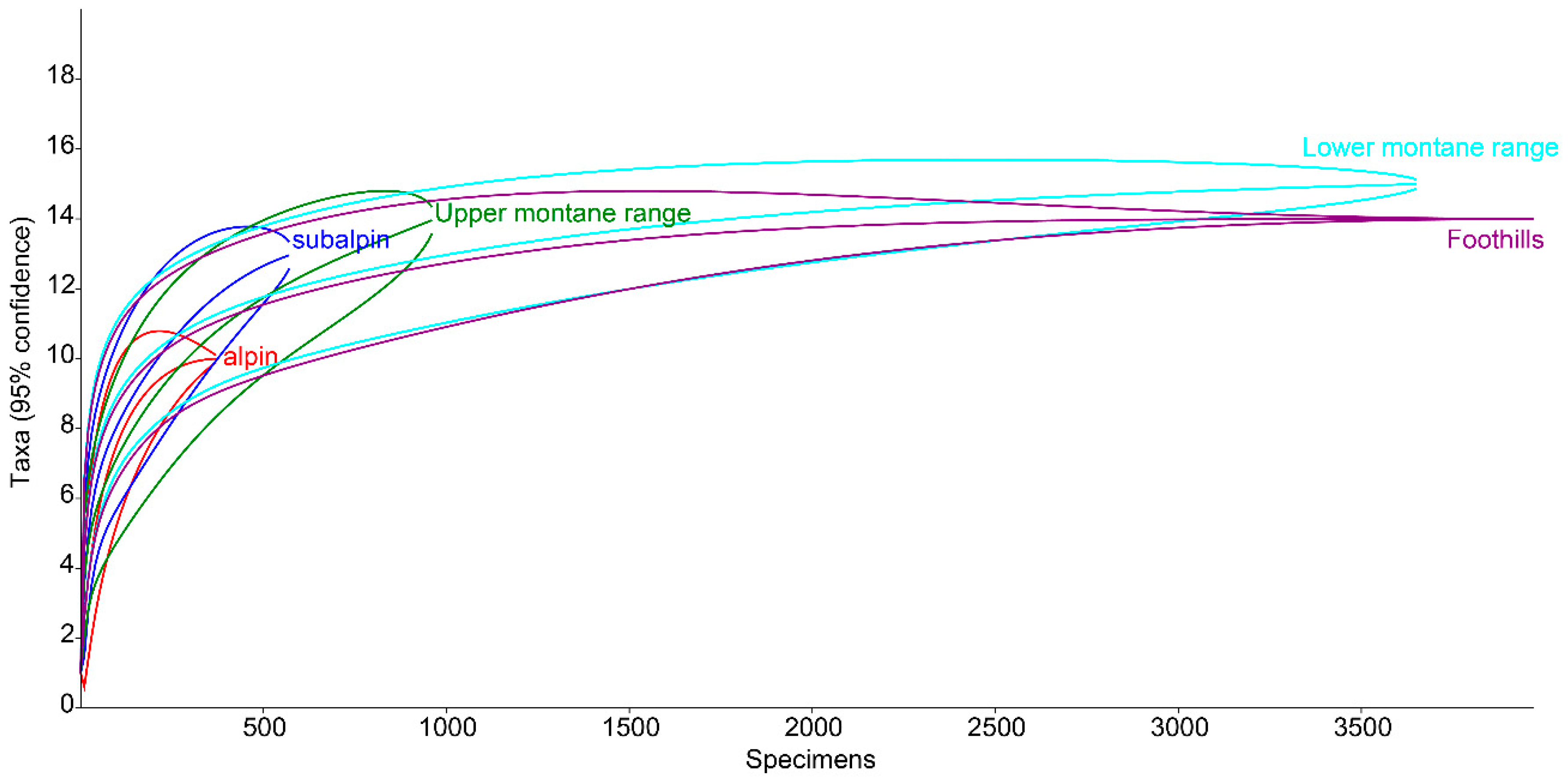
3.2. Altitudinal Distribution of Species in the Polish Carpathians
The species richness of all the vegetation/climate belts within the Polish Carpathians, except for the alpine belt, was very similar (Figure 13). This indicates that the coprophagous Hydrophilidae species found here have a high tolerance to climatic and environmental conditions. The alpine belt, despite extremely unfavourable climatic conditions, is also inhabited by a relatively large group of species (Figure 3). Compared to the lower montane range, with the highest species richness (15 species from this group), the alpine belt cannot be described as especially poor. This indicates that coprophagous Hydrophilidae are not highly dependent on climatic and environmental conditions but only on food substrate availability.
Figure 13.
Vertical range of coprophagous hydrophilids (Coleoptera: Hydrophilidae) in the Polish Carpathians.
3.3. Overview of Collected Species
Cercyon (Cercyon) castaneipennis (Vorst, 2009)This recently described species has been recorded in Belarus, the Canary Islands, Russia, the Czech Republic, Latvia, the Netherlands, Poland, Slovakia and Sweden [34]. In the past, it was not distinguished from C. obsoletus (Gyllenhal, 1808), also known in Poland, although it was described as the color aberration C. obsoletus ab. rubridorsis by Reitter in the early twentieth century [35]. For this reason, its distribution in Poland is not yet well known. Some of the old data on C. obsoletus undoubtedly refer to this species. It has already been recorded in ten regions: the Baltic Coast, the Masurian Lake District, the Wielkopolska-Kujawska Lowland, the Mazovian Lowland, Białowieża Forest, Upper Silesia, the Kraków-Wieluń Upland, the Malopolska Upland, the Western Beskids and the Bieszczady Mountains [6,14,15,36,37]. It lives in the excrement of large herbivores (cows, horses and others) in diverse habitats [13].Recorded at 36 sites in the Polish Carpathians (Table 3), it was found at all altitude gradients in the study area (Figure 14). Within the upper montane range and alpine belt, it belonged to the group of dominants (Figure 4 and Figure 8).
Figure 14. Rarefaction curves for species richness of coprophagous hydrophilid beetles in the Polish Carpathians along the elevation gradient.
Cercyon (Cercyon) haemorrhoidalis (Fabricius, 1775)This very widely distributed Palearctic species was also introduced to the Australian, Oriental, Nearctic and Neotropical regions [34,38]. It inhabits the feces of various herbivorous mammals as well as rotting plant debris, compost piles and carrion. It has also been found in the nests of birds and small rodents [1,38,39,40]. In Poland, it is widespread throughout the country, frequent and in places quite abundant. In the Polish Carpathians, it has been recorded in the Western Beskids, Eastern Beskids and the Bieszczady Mountains [41,42,43,44].It was found at 17 sites in the Polish Carpathians (Table 3). Its vertical range reaches the alpine belt, i.e., a minimum of about 2000 m a.s.l. It is new to the Tatra Mountains.
Cercyon (Cercyon) impressus (Sturm, 1807)This European species was introduced to North America [34]. It lives in all types of decaying plant and animal remains but prefers the excrement of herbivores, especially even-toed ungulates [40]. It is widespread throughout Poland. In the Polish Carpathians, it has been recorded in the Western Beskids, Eastern Beskids, Bieszczady Mountains and Tatra Mountains [36,41,42,43,44,45,46].Found at 45 sites in the Polish Carpathians (Table 3), it is the most abundant species of all those recorded (Table 2). Only within the foothills was it a dominant species (Figure 12), while in all other vegetation/climate belts it was a superdominant (Figure 4, Figure 6, Figure 8 and Figure 10). It was found at all altitude gradients in the study area (Figure 14).
Cercyon (Cercyon) lateralis (Marsham, 1802)This Palearctic species isvery widely distributed in nearly all of Europe and in the Russian part of Asia, as far as Kazakhstan and the Russian Far East. It was introduced to North America, where it became fully acclimated [34,47]. It is found in the excrement of horses, cows, European bison, deer and many other mammals, in rotting plant debris and in rotting fungi. It has also been found in the nests of birds: Turdus philomelos (C. L. Brehm) and Pernis apivorus (Linnaeus) [40,47]. It is widely distributed throughout Poland, where it is a common and abundant species. In the Polish Carpathians, it has been recorded in the Western Beskids, Eastern Beskids, Bieszczady Mountains and Tatra Mountains [36,41,42,43,44,45,46,48].
Cercyon (Cercyon) melanocephalus (Linnaeus, 1758)This species with Palearctic range is widely distributed in Europe and has been found in Asia in Lebanon, Russia (Western and Eastern Siberia) and Uzbekistan [34,49]. It lives in the excrement of herbivores, mainly even-toed ungulates [40]. In Poland, it is distributed throughout the country, but it is seen rarely and only as isolated specimens. It is known across the entire arc of the Polish Carpathians except the Pieniny Mountains [36,41,42,43,44,45,46].
Cercyon (Cercyon) pygmaeus (Illiger, 1801)This is a widely distributed Palearctic species, reaching Eastern Siberia. It has been introduced to North America [34]. It mainly inhabits the feces of herbivores, most often even-toed ungulates [40]. In Poland, it is widespread throughout the country. It is one of the most common coprophagous representatives of the genus. In the Polish Carpathians, it has been recorded in the Western Beskids, Eastern Beskids and Bieszczady Mountains [41,42,43,44,45,46].
Cercyon (Cercyon) quisquilius (Linnaeus, 1761)This species is widespread throughout the Palearctic region. It has been introduced to North America, South America and Australia [34,38,50]. It is polysaprophagous, inhabiting mainly the excrement of mammals (cows, horses, sheep and others). It is often found in compost, rotting fungi and plant waste [39,40,47,49,51,52,53]. It has also been caught in the nest of a black stork, Ciconia nigra (Linnaeus, 1758) [54]. It is widespread throughout Poland and has been recorded many times across the entire Polish Carpathians, except for the Tatra Mountains [36,41,42,43,44,55].
Cercyon (Cercyon) tatricus (Endródy–Younga 1967)This is a mountain species with a very interesting distribution. Until now, it had been recorded in two areas separated by a great distance—the Carpathians in Europe (Slovakia, Ukraine and Romania) and the Russian Far East (Amur Oblast, Khabarovsk Krai, Primorsky Krai and Kamchatka) [27,34]. It is found in the feces of even-toed ungulates, as well as that of bears [27,40]. It has been recorded in the High Tatras in Slovakia—the closest location to Poland—as well as the Belianske and Low Tatras [40]. It is also known in the Ivano-Frankivsk Oblast of Ukraine [27].
Cercyon (Cercyon) unipunctatus (Linnaeus, 1758)This is a widespread Palearctic species found all over Europe, except for its southernmost parts. In Asia, it is known in Kazakhstan, Russia, Mongolia, northern parts of China and Northern Japan [34,50]. In the mid-nineteenth century, it was introduced to North America, where it also spread rapidly [39]. It inhabits various types of decaying plant remains, mammal excrement (especially that of cows, horses and sheep) and chicken manure. It is sometimes found in decaying plant debris near water and in bird nests [54,56]. In Poland, it is widespread throughout the country, where it is very common and numerous. In the Polish Carpathians, it has been recorded many times in the Western Beskids, Eastern Beskids and the Bieszczady and Pieniny Mountains [41,43,44,55,57,58].
Cercyon (Paracycreon) laminatus (Sharp, 1873)This species was originally widespread in the Eastern Palearctic (Japan, Russian Far East and China). It was introduced to Europe in the mid-twentieth century, where it became fully acclimated [40]. It has now been found in Hawaii, Taiwan, Australia and Chile [38,59]. It lives in various kinds of decaying organic matter and the excrement of various mammals [40]. It is often encountered in Poland. Although it was first recorded in Poland relatively recently, it has already been found in 14 regions. In the Polish Carpathians, it is known in the Eastern Beskids and the Bieszczady and Pieniny Mountains [55,60,61,62].Only one individual was found in the Polish Carpathians (Table 2), on Tarnica in the Bieszczady Mountains (1322 m a.s.l.).
Pachysternum capense (Mulsant, 1844)This is a species originating in sub-Saharan Africa, from which it was introduced to Northern Africa, North America, South America, Australia, Europe and many islands including the Canary Islands, Madeira, the Comoros and Mauritius [63]. In Europe, it was first recorded on the basis of specimens caught in Greece in 1997 [24]. It has spread significantly since then and is currently known in France, Italy, Hungary and Romania [34,63,64]. This shows that this African species is fully acclimated in Europe and is rapidly expanding its range.A new species for Polish fauna. In the Polish Carpathians, six individuals were caught at five sites: Ciechań (629 m a.s.l.), Rozstajne (452 m a.s.l.), Stasiówka (395 m a.s.l.) and Zawada (384 m a.s.l.) in the Eastern Beskids and Upłaziańska Kopa (1449 m a.s.l.) in the Tatras (Table 3). The nearest known sites of this species in Romania and Hungary are more than 350 km away [63].
Megasternum immaculatum (Stephens, 1829)M. immaculatum, although described by Stephens almost 200 years ago, was until recently treated as a synonym of M. concinnum (Marsham, 1802) [65]. It was not restored to the status of a separate species until a few years ago [66]. Diagnostic characters provided by the authors, based on the structure of the male copulation apparatus and the upper body color, enable some distinction between the two species. Therefore, previously published data on the occurrence of M. concinnum require verification, since in many cases they probably refer to M. immaculatum. To date, it has been confirmed in the United Kingdom [6,34], Poland [6], Western and Eastern Siberia [67] and Bulgaria [68].Although the authors of the Catalogue of Palaearctic Coleoptera [34] explain in the comments that further research is underway to clarify the taxonomic questions regarding the genus Megasternum (associated with numerous synonyms attributed to M. concinnum), they do not question the presence of two distinct species in Central Europe.The species was found at 12 sites in the Polish Carpathians (Table 3). Its vertical range reached up to about 1660 m a.s.l.
Cryptopleurum minutum (Fabricius, 1775)This is a widely distributed Palearctic species, absent from North Africa, which was introduced to North America [34]. It lives mainly in animal excrement and is also often found in decaying plant debris [40]. It is common throughout Poland. It has been recorded many times over the entire arc of the Polish Carpathians [36,41,42,43,44].
Sphaeridium lunatum (Fabricius, 1792)This is a widely distributed Palearctic species that was introduced to North America [34]. It lives in the excrement of various herbivores, mainly even-toed ungulates [40]. It is common in Poland and probably distributed throughout the country. In the Polish Carpathians, it was previously recorded in the Western Beskids [69], Eastern Beskids [70] and the Bieszczady Mountains [43,58].It was caught at 38 sites in the Polish Carpathians (Table 3). It is the most numerous species of the genus and the second most numerous of all recorded representatives of Hydrophilidae (Table 2). It was a superdominant in the foothills (Figure 12), while within the lower montane range, upper montane range and subalpine belt, it belonged to the group of dominants (Figure 6, Figure 8 and Figure 10). Its vertical range reached up to 1800 m a.s.l. (Figure 14). It is new to the Tatras.
Sphaeridium scarabaeoides (Linnaeus, 1758)This is a Palearctic species that was introduced to Africa, Australia and North America [27]. It lives in the excrement of various herbivores, mainly even-toed ungulates [35]. In Poland, it is common and frequently encountered everywhere. In the Polish Carpathians, it had previously been recorded in the Western Beskids, Eastern Beskids and the Bieszczady and Tatra Mountains [36,38,39,53].
Sphaeridium bipustulatum (Fabricius, 1781)This is a widely distributed Palearctic species that was introduced to North America [34]. It lives in the excrement of various herbivores, mainly even-toed ungulates [40]. In Poland, it is common and frequently encountered. In the Polish Carpathians, it had previously been recorded in the Western Beskids, Eastern Beskids and the Bieszczady and Tatra Mountains [41,43,44,58]. It was caught at 15 sites within the Polish Carpathians (Table 3). Its vertical range reached up to 1322 m a.s.l. (Figure 14).
Sphaeridium marginatum (Fabricius, 1787)This is a widely distributed Palearctic species, also introduced to North America [34]. Like other European representatives of this genus, it lives in the excrements of various herbivores, mainly even-toed ungulates [40]. For a long time, it was treated as a variant of S. bipustulatum, until Van Berge–Henegouwen [26] demonstrated that it was a separate species. For this reason, its distribution in Poland is not yet well known. It has been recorded in five regions: the Wielkopolska-Kujawska Lowland [5,15,37,71,72,73], Podlasie [74], the Białowieża forest [75], Upper Silesia [6,36] and the Malopolska Upland [76,77].
4. Discussion
Research on the coprophagous Hydrophilidae of the Polish Carpathians was conducted from 2011 to 2013, during which time 17 species belonging to five genera were found (Table 2). The species Pachysternum capense and Cercyon tatricus are new to Polish fauna, so the number of coprophagous Hydrophilidae species recorded in Poland has increased to 24. A characteristic feature of coprophagous communities of the beetles of the Hydrophilidae family is usually the dominance of species of the genus Cercyon [8,15]. This was confirmed by the results of the study, as of the 17 species found, 10 belong to the genus Cercyon, and the superdominant within the Polish Carpathians was Cercyon impressus (Table 2). The only typical mountain species was Cercyon tatricus, which in Poland is found only within the Tatra Mountains (Table 2). However, a comparison of the abundance of species common to the Carpathians and the Wielkopolska Lowland [15] indicates that Cercyon impressus, C. castaneipennis and Spheridium lunatum prefer a mountain environment (Figure 15). Species of the genus Megasternum were grouped together on the graph, without distinguishing the species, because M. concinnum was not separated into two species [66] until after the research that was conducted in Wielkopolska Lowland [15], and it is not currently possible to determine which species these data refer to.
Figure 15.
Comparison of abundance of species found in the mountains (Polish Carpathians) and lowlands (Wielkopolska Lowland—based on Przewoźny, Bajerlein) [15].
As in the present research, a study of coprophagous beetles that was conducted on two mountain pastures (about 600 and 800 m a.s.l.) in the Southern Czech Republic [21] found that the most numerous species representing the Hydrophilidae family were Cercyon impressus, Sphaeridium lunatum, Cercyon lateralis, C. castaneipennis and Spaheridium scarabaeoides.
It is a generally accepted rule that in well-researched communities, species with very large populations are the fewest, but it is to these species that most individuals in the community belong [78]. This rule is confirmed by the results of this study: both within the Polish Carpathians as a whole and in individual vegetation/climate belts, there were few highly abundant species, which constituted the majority of the community, and many less numerous species (Table 2, Figure 4, Figure 6, Figure 8, Figure 10 and Figure 12). Therefore, the species diversity of coprophagous hydrophilid beetles in the Polish Carpathians as expressed by the Hill numbers is not very high (1D = 5.39 and 2D = 3.93; Figure 2). The lowest species diversity, expressed in Hill numbers (q order), was found within the alpine belt (Figure 3) and subalpine belt (Figure 5), while the greatest diversity, expressed in Hill numbers, occurs within the lower montane range (Figure 9) and the foothills (Figure 11).
In terms of vertical range, the greatest species richness is usually found at medium elevations [79,80]. Research has shown that in the case of the Polish Carpathians, this refers to habitats located in the range of 400–700 m a.s.l., i.e., within the lower montane belt and foothills [22]. As in the present study on coprophagous Hydrophilidae, the most coprophagous species of the superfamily Scarabaeoidea were also found within this range (Figure 16), with the fewest found in the subalpine and alpine belts. However, this graph shows that Carpathian dung beetle assemblages include species with different habitat and climate requirements [22].
Figure 16.
Rarefaction curves for species richness of dung beetles (Scarabaeoidea) in the Polish Carpathians along the elevation gradient [22].
It should be noted that coprophagous hydrophilid beetles were caught in the Polish Carpathians by the same method and at the same sites as dung beetles (Scarabaeoidea).
Thus, a comparison of both sets of rarefaction curves (Figure 13 and Figure 16) shows that the Carpathian assemblages of coprophagous hydrophilid beetles consist mainly of ubiquitous species, i.e., those with high ecological plasticity. This is also confirmed by the analysis of the vertical ranges of coprophagous hydrophilids (Figure 14).
Among the species recorded, Cercyon impressus, C. lateralis, C. castaneipennis, C. haemorrhoidalis, Cryptopleurum minutum and Spheridium scarabaeoides were present at all altitude gradients in the study area (Figure 2). The species Cercyon melanocephalus, C. quisquilius and Spheridium lunatum were also found at nearly all altitude gradients (Figure 14).
In the case of Cercyom laminatus and C. unipunctatus, however, it was impossible to determine the true vertical range due to the small number of specimens and the small number of sites where they were caught.
It is worth noting that within the Polish Carpathians, the site that was richest in species was the one in Ciechania, where 14 coprophagous hydrophilid beetles were found during the study (Table 3; Figure 1). It should be added that the most coprophagous Scarabaeoidea species—32 species of dung beetles—were also caught at this site [22].
Ciechania is located within the Low Beskid Mountains, which is an exceptional area in terms of both habitat (with many warm, sunny, open pastures) and food availability for coprophagous beetles. Extensive farming, including a large share of cow, sheep and horse farming, is conducted in this area. In addition, there are about 1000 deer in the Low Beskids [22].
It is due to all of these factors—the presence of optimal habitats and adequate food availability throughout the growing season—that this area has the greatest species richness of coprophagous Hydrophilidea and Scarabaeoidea in the entire Polish Carpathians.
The fact that Pachysternum capense was caught in the Tatras at 1445 m above sea level seems to be an extremely interesting phenomenon. This is a species originating in sub-Saharan Africa which, according to research, has acclimated in Europe and is rapidly expanding its range [24,34,63,64]. However, until now this species has inhabited areas with a much milder climate than that prevailing in Poland, especially in the Tatra Mountains. The other sites where this species that is new to Polish fauna was caught are unsurprising, as they are in the vicinity of the Dukla Pass (Ciechań and Rozstajne), the main migration route for fauna and flora across the Carpathians from Southern Europe [81]. Could the capture of one individual in the Tatras be accidental?
Atmospheric transport is well known to be the dominant means of migration for small insects. A great number of small species of insects are most likely adapted to flight during the day under convective conditions, exploiting upward and horizontal air currents to disperse beyond their natal sites [82].
The Tatra Mountains, due to their height, undoubtedly constitute a migration barrier for most animals. They have thus far not been considered a potential migration corridor from Southern to Northern Europe, especially for insects.
However, one of the characteristic features of the Tatra climate is the occurrence of local winds, including the “Liptov” wind [83]. This arises due to stronger heating of the southern slopes of the Tatra Mountains and the Liptov Basin relative to the northern slopes and valleys. In consequence, strong convective air movements occur on the southern side and flow over the ridge of the pass towards the northern slopes [83]. Pachysternum capense was caught in the part of the Tatra Mountains where the Liptov wind occurs. It should be added that Bodilopsis rufa (Moll, 1782) was also found. It is not without significance that the center of the occurrence of B. rufa in the Polish Carpathians was at sites between 400 and 600 m a.s.l. This species was caught only in open areas. Single individuals were caught in the Tatra Mountains at about 1800 m a.s.l. [22].
Both species were caught as single specimens. It can therefore be assumed that they were transported over the pass by the Liptov wind and then caught on the northern side of the Tatras. They are certainly not the only insect species that can migrate from the south to the north of the Tatras by this route. This is confirmed by the high activity of bats at the passes where the Liptov wind phenomenon is observed (unpublished data from Krzysztof Piksa). Insects are well known to be the only diet of bats found in this part of Europe [84,85].
Hence, the Western Tatras, where the Liptov wind occurs, are likely to be a migration corridor for small flying insects.
5. Conclusions
In our study, we found 17 coprophagous Hydrophilidae species from the subfamily Sphaeridiinae in the Polish Carpathians. Two of them, Cercyon tatricus and Pachysternum capense, are species new to Polish fauna. Species of the genus Cercyon were primarily dominant in the Polish Carpathians, and Cercyon impressus was a superdominant.
The species richness of this group of beetles was highly similar in all the vegetation and climate belts studied within the Polish Carpathians, except for the Alpine belt.
The Carpathian assemblages of coprophagous hydrophilid beetles can be said to consist mainly of ubiquitous species, i.e. species with high ecological plasticity.
The fact that Pachysternum capense was caught in the Tatras at an altitude of 1445 m a.s.l. may indicate that there is an unrecognized path of migration of small insects from southern to northern Europe through the Western Carpathians.
Author Contributions
Conceptualization, C.G. and A.G.; Conducted the research, C.G. and A.G.; Methodology, A.G.; Visualization, A.G.; Data curation, C.G. and A.G.; Writing-original draft preparation, C.G. and A.G. All authors have read and agreed to the published version of the manuscript.
Funding
This study was financially supported by the Ministry of Science and Higher Education, grant no. NN304 139940.
Acknowledgments
We thank Sara Wild for her help with the English revision of the manuscript and the reviewers for their critical and constructive comments on the first version of the manuscript.
Conflicts of Interest
The authors declare no conflicts of interest.
References
- Hansen, M. The Hydrophiloidea (Coleoptera) of Fennoscandia and Denmark. Fauna Entomol. Scand. 1987, 18, 1–254. [Google Scholar]
- Hansen, M. The Hydrophiloid beetles, Phylogeny, Classification and a Revision of the Genera (Coleoptera, Hydrophiloidea). Biol. Skr. 1991, 40, 1–367. [Google Scholar]
- Archangelsky, M. Adaptations of immature stages of Sphaeridiinae (Staphyliniformia, Hydrophiloidea: Hydrophilidae) and state of knowledge of preimaginal Hydrophilidae. Coleopt. Bull. 1999, 53, 64–79. [Google Scholar]
- Fikáček, M. Hydrophilidae Leach, 1815. In Australian Beetles: Archostemata, Myxophaga, Adephaga, Polyphaga; Ślipiński, A., Lawrence, J., Eds.; CSIRO Publishing: Clayton, CA, USA, 2019; Volume 2, pp. 271–337. [Google Scholar]
- Przewoźny, M. Hydrophiloidea. In Fauna Polski—Charakterystyka i Wykaz Gatunków; Bogdanowicz, B., Chudzicka, E., Pilipiuk, I., Skibinska, E., Eds.; MiIZ PAN: Warszawa, Poland, 2004; pp. 149–151, 156–158. [Google Scholar]
- Greń, C.; Szołtys, S.; Grzywocz, J.; Królik, R. Chrząszcze (Coleoptera) Śląska Dolnego i Górnego—dotychczasowy stan poznania oraz nowe dane faunistyczne: Kałużnicowate (Hydrophilidae). Acta Ent. Sil. 2015, 23, 97–120. [Google Scholar]
- Hanski, I.; Koskela, H. Niche relations among dung—Inhabiting beetles. Oecologia 1977, 28, 203–231. [Google Scholar] [CrossRef]
- Hanski, I. The community of coprophagous beetles (Coleoptera, Scarabaeidae and Hydrophilidae) in northern Europe. Ann. Ent. Fenn. 1980, 46, 57–73. [Google Scholar]
- Hanski, I. The three coexisting species of Sphaeridium (Coleoptera, Hydrophilidae). Ann. Ent. Fenn. 1980, 46, 39–48. [Google Scholar]
- Hansen, M. De danske arter af slægten Sphaeridium Fabricius (Coleoptera, Hydrophilidae). Ent Meddr. 1990, 58, 59–64. [Google Scholar]
- Romero-Alcaraz, E.; Sánchez-Pinero, F.; Ávila, J.M. Los Sphaeridiinae (Coleóptera: Hydrophilidae) en una zona del suroeste ibérico. I: Composición faunística y fenología. Boln. Asoc. Esp. Ent. 1997, 21, 221–235. [Google Scholar]
- Hutton, S.A.; Giller, P.S. Intra- and interspecific aggregation of north temperate dung beetles on standardised and natural dung pads: The influence of spatial scale. Ecol. Entomol. 2004, 29, 594–605. [Google Scholar] [CrossRef]
- Bajerlein, D.; Przewoźny, M. Coprophagous hydrophilid beetles (Coleoptera: Hydrophilidae) as carriers of phoretic deutonymphs of Uropoda orbicularis (Acari: Mesostigmata) in Poland. Eur. J. Entomol. 2005, 102, 119–122. [Google Scholar] [CrossRef]
- Vorst, O. Cercyon castaneipennis sp. n., an overlooked species from Europe (Coleoptera: Hydrophilidae). Zootaxa 2009, 2054, 59–68. [Google Scholar] [CrossRef]
- Przewoźny, M.; Bajerlein, D. The community of coprophagous hydrophilid beetles (Coleoptera: Hydrophilidae) in a pasture near Poznań (West Wielkopolska, Poland). Pol. J. Entomol. 2010, 79, 253–260. [Google Scholar]
- Mroczyński, R.; Radoslav, K. Differences between beetle communities colonizing cattle and horse dung. Eur. J. Entomol. 2014, 111, 349–355. [Google Scholar] [CrossRef]
- Mroczyński, R.; Marczak, D. Coprophagous beetles (Coleoptera) found in moose (Alces alces L.) feces in Kampinos National Park. WSN 2017, 86, 376–381. [Google Scholar]
- Šlachta, M.; Frelich, J.; Svoboda, L. Seasonal biomass distribution of dung beetles (Scarabaeidae, Geotrupidae, Hydrophilidae) in mountain pastures of South-West Bohemia. J. Agrobiol. 2008, 25, 163–176. [Google Scholar]
- Šlachta, M.; Frelich, J.; Tonka, T. Application of dung-baited pitfall trapping in monitoring study on diversity of coprophagous beetles (Scarabaeidae, Geotrupidae, Hydrophilidae) in cattle pastures. J. Agrobiol. 2009, 26, 83–99. [Google Scholar]
- Šlachta, M.; Frelich, J.; Tonka, T. Composition of community of coprophagous beetles (Coleoptera: Scarabaeidae, Geotrupidae, Hydrophilidae) in beef cattle pasture in Western Bohemia—An application of dung-baited pitfall trapping in monitoring study on coprophagous fauna. Erica 2009, 16, 97–112. [Google Scholar]
- Šlachta, M. Coprophagous beetle community (Coleoptera: Scarabaeidae, Geotrupidae, Hydrophilidae) in two cattle pastures in South Bohemia. J. Agrobiol. 2013, 30, 21–31. [Google Scholar] [CrossRef]
- Górz, A. Dung Beetles of the Polish Carpathians; Pedagogical University Press: Krakow, Poland, 2019; p. 134. [Google Scholar]
- Przewoźny, M. Catalogue of Palearctic Hydrophiloidea (Coleoptera); Internet Version 2019-01-01. Available online: http://waterbeetles.eu/ (accessed on 17 November 2019).
- Fikáček, M.; Boukal, M. Pachysternum capense, a new genus and species for Europe, and updated key to genera and subgenera of European Sphaeridiinae (Coleoptera: Hydrophilidae). Klapalekiana 2004, 40, 1–12. [Google Scholar]
- Freude, H.; Harde, K.W.; Lohse, G.A. Die Käfer Mitteleuropas; Goecke & Evers: Krefeld, Germany, 1971; p. 365. [Google Scholar]
- Van Berge Henegouwen, A. Sphaeridium marginatum reinstated as a species distinct from S. bipustulatum (Coleoptera: Hydrophilidae). Ent. Ber. Amst. 1989, 49, 168–170. [Google Scholar]
- Fikáček, M. Taxonomic status of Cercyon alpinus, C. exorabilis, C. strandi and C. tatricus and notes on their biology (Coleoptera: Hydrophilidae: Sphaeridiinae). Ann. Naturhist. Mus. Wien 2006, 107B, 145–164. [Google Scholar]
- Hortal, J.; Paulo, A.V.; Borges, P.A.; Gaspar, C. Evaluating the performance of species richness estimators: Sensitivity to sample grain size. J. Anim. Ecol. 2006, 75, 274–287. [Google Scholar] [CrossRef] [PubMed]
- Gotelli, N.J.; Colwell, R.K. Estimating species richness. In Biological Diversity: Frontiers in Measurement and Assessment; Magurran, A.E., McGill, B.J., Eds.; Oxford University Press: New York, NY, USA, 2011; pp. 39–54. [Google Scholar]
- Chao, A.; Gotelli, N.J.; Hsieh, T.C.; Sander, E.L.; Ma, K.H.; Colwell, R.K.; Ellison, A.M. Rarefaction and extrapolation with Hill numbers: A framework for sampling and estimation in species diversity studies. Ecol. Monogr. 2014, 84, 45–67. [Google Scholar] [CrossRef]
- Hill, M.O. Diversity and evenness: A unifying notation and its consequences. Ecology 1973, 54, 427–432. [Google Scholar] [CrossRef]
- Jost, L. Entropy and diversity. Oikos 2006, 113, 363–375. [Google Scholar] [CrossRef]
- Jost, L. Partitioning diversity into independent alpha and beta components. Ecology 2007, 88, 2427–2439. [Google Scholar] [CrossRef]
- Fikáček, M.; Angus, R.B.; Gentili, E.; Jia, F.; Minoshima, Y.N.; Prokin, A.; Przewoźny, M.; Ryndevich, S.K. Hydrophilidae. In Catalogue of Palaearctic Coleoptera. Hydrophiloidea—Staphylinoidea, Revised and Updated Edition; Löbl, I., Löbl, D., Eds.; Koninklijke Brill NV: Leiden, The Netherlands; Boston, MA, USA, 2015; Volume 2, pp. 37–76. [Google Scholar]
- Reitter, E. Fauna Germanica. Die Käfer des Deutschen Reiches; II. Band. Schr. Dtsch. Lehrerver. Naturk., 24: Stuttgart, Germany, 1909; p. 392. [Google Scholar]
- Greń, C. Chrząszcze z rodzin Hydrochidae i Hydrophilidae (Coleoptera) w zbiorach Muzeum Górnośląskiego w Bytomiu. Acta Ent. Sil. 2011, 19, 55–69. [Google Scholar]
- Bajerlein, D.; Przewoźny, M. When a beetle is too small to carry phoretic mites? A case of hydrophilid beetles (Coleoptera: Hydrophilidae) and Uropoda orbicularis (acari: Mesostigmata). Can. J. Zool. 2012, 90, 368–375. [Google Scholar] [CrossRef]
- Fikáček, M. Occurrence of introduced species of the genus Cercyon (Coleoptera: Hydrophilidae) in the Neotropical Region. Rev. de la Soc. Entomol. Argent. 2009, 68, 351–357. [Google Scholar]
- Smetana, A. Revision of the subfamily Sphaeridiinae of America north of Mexico (Coleoptera: Hydrophilidae). Mem. Entomol. Soc. Can. 1978, 105, 1–292. [Google Scholar] [CrossRef]
- Boukal, D.S.; Boukal, M.; Fikáček, M.; Hájek, J.; Klečka, J.; Skalický, S.; Šťasný, J.; Trávníček, D. Catalogue of water beetles of the Czech Republic. Klapalekiana 2007, 43, 1–289. [Google Scholar]
- Burakowski, B.; Mroczkowski, M.; Stefańska, J. Chrząszcze—Coleoptera. Adephaga prócz Carabidae, Myxophaga, Polyphaga: Hydrophiloidea; Katalog Fauny Polski; PWN: Warszawa, Poland, 1976; pp. 1–307. [Google Scholar]
- Borowiec, L.; Kania, J. Chrząszcze (Coleoptera) nowe i rzadkie w faunie Bieszczadów. Wiad. Entomol. 1995, 14, 153–157. [Google Scholar]
- Pawłowski, J.; Petryszak, B.; Kubisz, D.; Szwałko, P. Chrząszcze (Coleoptera) Bieszczadów Zachodnich; Monografie Bieszczadzkie BPN: Ustrzyki Dolne, Poland, 2000; Volume 8, pp. 9–143. [Google Scholar]
- Kubisz, D.; Szafraniec, S. Chrząszcze (Coleoptera) masywu Babiej Góry. In Monografia Fauny Babiej Góry; Wołoszyn, B.W., Wołoszyn, D., Celary, W., Eds.; Komitet Ochrony Przyrody PAN: Kraków, Poland, 2003; pp. 163–221. [Google Scholar]
- Greń, C. Chrząszcze wodne (Coleoptera: Dytiscidae, Haliplidae, Hydrophilidae, Elmidae) obszaru źródliskowego Wisły w rezerwacie przyrody „Barania Góra“ (Beskid Śląski). Acta Ent. Sil. 2009, 17, 41–52. [Google Scholar]
- Wojas, T. Materiały do poznania chrząszczy (Insecta: Coleoptera) torfowisk i młak Tatr Polskich. Parki Nar. Rez. Przyr. 2010, 29, 49–75. [Google Scholar]
- Ryndevich, S.K. Review of species of the genus Cercyon Leach, 1817 of Russia and adjacent regions. I. Subgenus Cercyon (s. str.) Leach, 1817. Cercyon lateralis—Group (Coleoptera: Hydrophilidae). Annales Universitatis Mariae Curie-Sklodowska (Section C) 2004, 59, 1–13. [Google Scholar]
- Kubisz, D.; Szafraniec, S. Interesujące gatunki chrząszczy stwierdzone w masywie Babiej Góry, Beskid Zachodni (Coleoptera). Acta Ent. Sil. 2001, 7, 43–48. [Google Scholar]
- Ryndevich, S.K.; Fikáček, M. Faunistic and Zoogeographic Notes on Hydrophiloid Beetles from the Palaearctic Region (Coleoptera: Hydrophilidae). Vestn. BarDU Seriya Biol. Nauk. Selskokhozyaistvennye Nauk. 2013, 1, 32–37. [Google Scholar]
- Ryndevich, S.K.; Jia, F.; Fikáček, M. A review of the Asian species of the Cercyon unipunctatus group (Coleoptera: Hydrophilidae: Sphaeridiinae). Entomol. Musei Natl. Pragae 2017, 57, 535–576. [Google Scholar] [CrossRef][Green Version]
- Smetana, A. Review of the family Hydrophilidae of Canada and Alaska (Coleoptera). Mem. Entomol. Soc. Can. 1988, 142, 3–316. [Google Scholar] [CrossRef]
- Nikitsky, N.B.; Osipov, I.N.; Chemeris, M.V.; Semenov, V.B.; Gusakov, A.A. The beetles of Prioksko-terrasny biosphere reserve—Xylobiontes, mycetobiontes, and Scarabaeidae (with review of the Moscow region fauna of the groups). Arch. Zool. Mus. Mosc. State Univ. 1996, 36, 1–197. [Google Scholar]
- Ryndevich, S.K. Ecological classification on the basis of ecological preferences for the genus Cercyon Leach, 1817 (Coleoptera: Hydrophilidae) of the Palaearctic region. In Materials of the Third All-Russian Symposium on Amphibiotic and Aquatic Insects; Publishing and Printing Center of Voronezh State University: Voronezh, Russia, 2007; pp. 281–284. [Google Scholar]
- Lundyshev, D.S.; Ryndevich, S.K. Water beetles (Coleoptera: Dytiscidae, Noteridae, Helophoridae, Spercheidae, Hydrophilidae, Hydraenidae, Dryopidae) and hydrophilids (Hydrophilidae) in birds nests of Belarus. Vesnik Grodzenskaga Dzyarzhaunaga Universiteta Imya Yanki Kupaly. Seryya 2. Matematyka, Fizika. Infarmatyka, Vylichalnaya Tekhnika i Kiravanne. Biyalogiya 2010, 3, 107–116. [Google Scholar]
- Rossa, R. Materiały do poznania chrząszczy (Coleoptera) Pienińskiego Parku Narodowego. Wiad. Entomol. 1999, 17, 193–194. [Google Scholar]
- Ryndevich, S.K.; Lundyshev, D.S. Beetles of birds nests (Coleoptera: Noteridae, Dytiscidae, Helophoridae, Hydrophilidae & Dryopidae). Latissimus 2005, 20, 17–19. [Google Scholar]
- Galewski, K. Chrząszcze (Coleoptera) Rodzina: Kałużnicowate (Hydrophilidae). Fauna Słodkowodna Polski; PWN: Warszawa, Poland, 1990; p. 261. [Google Scholar]
- Kubisz, D.; Szwałko, P.; Wojas, T. Materials to the fauna of Coleoptera of the Western Bieszczady Mts. (Polisch Eastern Carpathians). Roczn. Muz. górnośl. (Przyr.) 1998, 15, 5–15. [Google Scholar]
- Ryndevich, S.K. Review of species of the genus Cercyon Leach, 1817 of Russia and adjacent regions. IV. The subgenera Paracycreon Orchymont, 1924 and Dicytocercyon Ganglbauer, 1904 (Coleoptera: Hydrophilidae). Zoosystematica Ross. 2008, 17, 89–97. [Google Scholar]
- Kubisz, D.; Szwałko, P. Nowe stanowiska Cercyon laminatus Sharp, Berosus bispina Reiche et Saulcy (Coleoptera, Hydrophilidae). Wiad. Entomol. 1991, 10, 128. [Google Scholar]
- Greń, C. Nowe stanowiska polskich Hydrophilidae (Coleoptera). Acta Ent. Sil. 2003, 9–10, 86. [Google Scholar]
- Przewoźny, M. Nowe stanowiska kałużnic (Coleoptera: Hydrophiloidea) w Polsce. Wiad. Entomol. 2004, 23, 69–80. [Google Scholar]
- Lőkkös, A.; Boukal, M.; Fikáček, M. The hydrophilid beetle Pachysternum capense (Mulsant, 1844) (Coleoptera: Hydrophilidae) became a world-wide adventive species: A summary of distribution with new records from Europe, Australia, and South America. North-West. J. Zool. 2014, 10, 333–336. [Google Scholar]
- Toledo, M.; Rocchi, S. Reperti inediti di Coleotteri acquatici in Italia (Coleoptera: Hydroscaphidae, Gyrinidae, Dytiscidae, Helophoridae, Hydrophilidae, Hydraenidae, Limnichidae, Erirhinidae). Onychium 2017, 13, 63–74. [Google Scholar]
- Hansen, M. Hydrophilidae. In Catalogue of Palaearctic Coleoptera. Hydrophiloidea—Histeroidea—Staphylinoidea; Löbl, I., Smetana, A., Eds.; Apollo Books: Stenstrup, Denmark, 2004; Volume 2, pp. 44–68. [Google Scholar]
- Foster, G.N.; Bilton, D.T.; Friday, L.E. Keys to adults of the water beetles of Britain and Ireland; Volume 4 part 5b; RES Handbooks for the Identification of British Insects: St Albans, UK, 2014; p. 126. [Google Scholar]
- Ryndevich, S.K. New faunistic records of hydrophilid beetles (Coleoptera: Hydrophiloidea: Hydrophilidae) from Eurasia. BarSU Herald. Ser. Biol. Sci. Gen. Biol. Agric. Sci. Agron. 2017, 5, 65–70. [Google Scholar]
- Greń, C.; Lubecki, K. Water beetles (Coleoptera: Adephaga, Hydrophiloidea, Byrrhoidea) in Bulgaria: New records. Ann. Up. Sil. Mus. Bytom Entomol. 2018, 26, 1–20. [Google Scholar]
- Wachtl, F. Spis chrząszczów z dorzecza Soły i Koszarawy. Spraw. Kom. Fizyogr. 1870, 4, 246–262. [Google Scholar]
- Trella, T. Wykaz chrząszczów okolic Przemyśla. Hydrophilidae, Lucanidae, Scarabaeidae. Pol. Pismo Ent. 1937, 14–15, 262–265. [Google Scholar]
- Myrdzik, K. Matriały do fauny chrząszczy lądowych województwa Poznańskiego. Pr. Kom. Mt.-Przyr. PTPN B Poznań 1933, 6, 173–194. [Google Scholar]
- Przewoźny, M. Kałużnice (Coleoptera: Hydrophilidae) w zbiorze Kazimierza Myrdzika. Bad. Fizjogr. Pol. Zach. Ser. C Poznań 2004, 50, 67–69. [Google Scholar]
- Ruta, R.; Orzechowski, R.; Aleksandrowicz, O.; Borowski, J.; Buchholz, L.; Komosiński, K.; Lubecki, K. Przewoźny M. Chrząszcze (Insecta: Coleoptera) Gryżyńskiego Parku Krajobrazowego. Przegl. Przyr. 2016, 27, 28–62. [Google Scholar]
- Przewoźny, M.; Lasoń, A. Nowe dla Podlasia i Wyżyny Lubelskiej kałużnice (Coleoptera: Hyfrophilidae). Wiad. Entomol. 2003, 22, 60–61. [Google Scholar]
- Borowiec, L.; Kania, J.; Wanat, M. Chrząszcze (Coleoptera) nowe dla Puszczy Białowieskiej. Wiad. Entomol. 1992, 11, 133–141. [Google Scholar]
- Przewoźny, M.; Miłkowski, M. Kałużnice (Coleoptera: Hydrophiloidea) i Hydraenidae (Coleoptera: Staphylinoidea) nowe dla Wyżyny Małopolskiej. Wiad. Entomol. 2004, 23, 157–162. [Google Scholar]
- Jaskuła, R.; Przewoźny, M.; Melke, A. Chrząszcze (Coleoptera). In Owady (Insecta) Spalskiego Parku Krajobrazowego Część I; Jaskuła, R., Tończyk, G., Eds.; Mazowiecko-Świętokrzyskie Towarzystwo Ornitologiczne: Spała, Poland, 2009; pp. 27–59. [Google Scholar]
- Weiner, J. Życie i Ewolucja Biosfery; PWN: Warszawa, Poland, 1999; p. 591. [Google Scholar]
- Brown, J. Species diversity. In Analytical Biogeography: An Integrated Approach the Stud" of Animal and Plant Distributions; Myers, A.A., Giller, P.S., Eds.; Chapman and Hall: London, UK, 1988; pp. 57–89. [Google Scholar]
- McCoy, D.E. The Distribution of Insects along Elevational Gradients. Oikos 1990, 58, 313–322. [Google Scholar] [CrossRef]
- Pawłowski, J. Cenne bezkręgowce naziemne Magurskiego Parku Narodowego i terenów ościennych. In Magurski Park Narodowy—Monografia przyrodnicza; Górecki, A., Zemanek, B., Eds.; MPN: Krempna-Kraków, Poland, 2009; pp. 132–146. [Google Scholar]
- Wainwright, C.E.; Stepanian, P.M.; Reynolds, D.R.; Reynolds, A.R. The movement of small insects in the convective boundary layer: Linking patterns to processes. Sci. Rep. 2017, 7, 5438. [Google Scholar] [CrossRef] [PubMed]
- Orlicz, M. Klimat Tatr. In Tatrzański Park Narodowy; Szafer, W., Ed.; PAN: Kraków, Poland, 1962; pp. 15–71. [Google Scholar]
- Fenton, M.B. Feeding ecology of insectivorous bats. Bios 1974, 45, 3–15. [Google Scholar]
- Piksa, K.; Brzuskowski, T.; Cichocki, J.; Gubała, W. Species diversity of bats Chiroptera in the Tatra National Park during the summer activity period. Chrońmy Przyr. Ojcz. 2017, 73, 121–134. [Google Scholar]
© 2020 by the authors. Licensee MDPI, Basel, Switzerland. This article is an open access article distributed under the terms and conditions of the Creative Commons Attribution (CC BY) license (http://creativecommons.org/licenses/by/4.0/).















