Quantification of Tackiness of a Grease: The Road to a Method
Abstract
1. Introduction
2. Materials and Methods
3. Results and Discussion
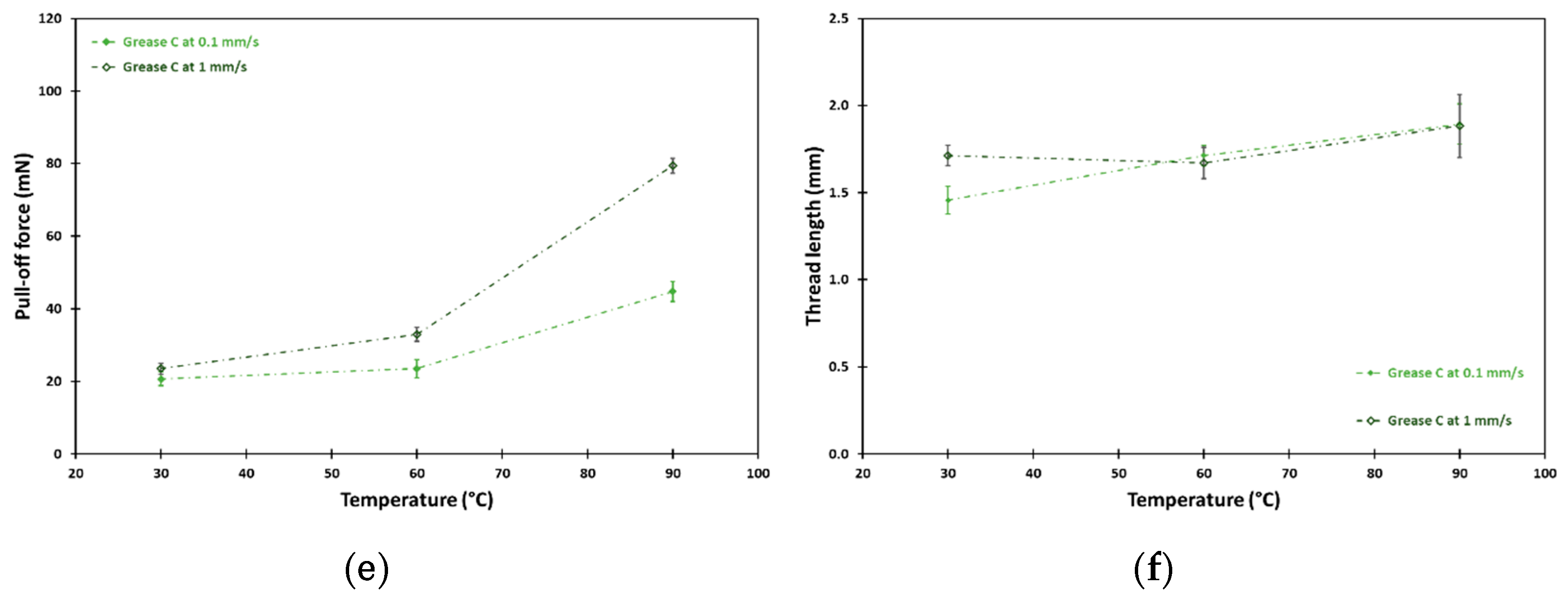
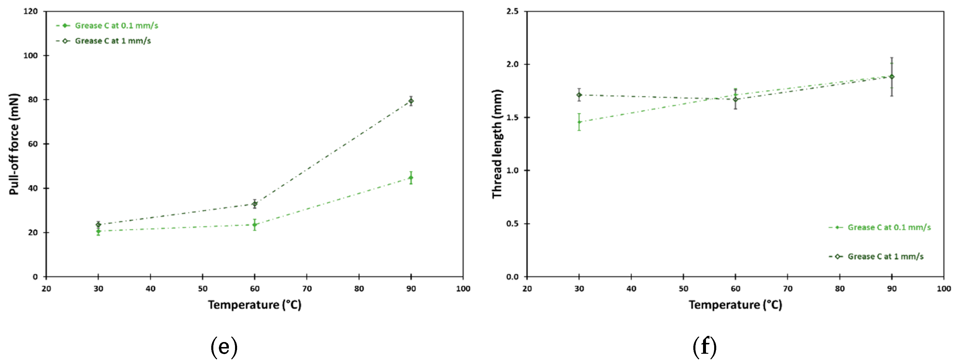
3.1. Effect of Temperature
3.2. Repeatability and Reproducibility of Method
3.3. Other Possibilities: Grease Monitoring
4. Conclusions
Author Contributions
Funding
Institutional Review Board Statement
Informed Consent Statement
Data Availability Statement
Conflicts of Interest
References
- Bikerman, J.J. The fundamentals of tackiness and adhesion. J. Colloid Sci. 1946, 2, 163–175. [Google Scholar] [CrossRef]
- Barquins, M.; Maugis, D. Tackiness of elastomers. J. Adhes. 1981, 13, 53–65. [Google Scholar] [CrossRef]
- Gay, C.; Leibler, L. Theory of tackiness. Phys. Rev. Lett. 1998, 82, 936–939. [Google Scholar] [CrossRef]
- Moon, M. On the right tack. Lubes’n’Greases 2018, 24, 64–69. [Google Scholar]
- Morway, A.J.; Young, D.W. Grease Compositions. U.S. Patent 2,491,055, 13 December 1949. [Google Scholar]
- Achanta, S.; Jungk, M.; Drees, D. Characterisation of cohesion, adhesion, and tackiness of lubricating greases using approach–retraction experiments. Tribol. Int. 2011, 44, 1127–1133. [Google Scholar] [CrossRef]
- Georgiou, E.P.; Drees, D.; De Bilde, M. The quantitive method for measuring grease tackiness. Lube Mag. 2016, 132, 18–19. [Google Scholar]
- Georgiou, E.P.; Drees, D.; De Bilde, M.; Anderson, M. Can we put a value on the adhesion and tackiness of greases? Tribol. Lett. 2018, 66, 60. [Google Scholar] [CrossRef]
- Georgiou, E.P.; Drees, D.; De Bilde, M.; Anderson, M. Quantitative approach to measuring the adhesion and tackiness of industrial greases. Tribol. Und Schmier. 2019, 66, 37–43. [Google Scholar]
- Harmon, M.; Powell, B.; Barlebo-Larsen, I.; Lewis, R. Development of a grease tackiness test. Tribol. Trans. 2019, 62, 207–217. [Google Scholar] [CrossRef]
- Georgiou, E.P.; Drees, D.; De Bilde, M.; Anderson, M. How reliable and sensitive is the new Indentation/Retraction method in measuring tackiness of industrial greases? In Proceedings of the 74th STLE Annual Meeting and Exhibition, Nashville, TN, USA, 19–23 May 2019. [Google Scholar]
- Georgiou, E.P.; Drees, D.; De Bilde, M.; Feltman, F.; Anderson, M. Grease Adhesion and Tackiness: Do They Influence Friction? NLGI Spokesm. 2020, 84, 20–25. [Google Scholar]
- Mang, T. Encyclopedia of Lubricants and Lubrication; Springer: Berlin, Germany, 2014. [Google Scholar]
- Pan, J.; Cheng, Y.; Vacca, A.; Yang, J. Effect of temperature on grease flow properties in pipes. Tribol. Trans. 2016, 59, 569–578. [Google Scholar] [CrossRef]
- Wang, H.; Li, Y.; Zhang, G.; Wang, J. Effect of temperature on rheological properties of lithium-based magnetorheological grease. Smart Mater. Struct. 2019, 28, 035002. [Google Scholar] [CrossRef]
- Hurley, S.; Cann, P.M.; Spikes, H.A. Thermal degradation of greases and the effect on lubrication performance. Tribol. Ser. 1998, 34, 75–83. [Google Scholar]
- Lugt, P.M. Modern advancements in lubricating grease technology. Tribol. Int. 2016, 97, 467–477. [Google Scholar] [CrossRef]
- Booser, E.R.; Khonsari, M.M. Grease life in ball bearings: The effect of temperatures. Tribol. Lubr. Technol. 2010, 66, 36–44. [Google Scholar]
- Williamson, B.P.; Walters, K.; Bates, T.W.; Coy, R.C.; Milton, A.L. The viscoelastic properties of multigrade oils and their effect of journal-bearing characteristics. J. Non-Newton. Fluidmech. 1997, 73, 115–126. [Google Scholar] [CrossRef]
- Delgado, M.A.; Valencia, C.; Sanchez, M.C.; Franco, J.M.; Callegos, C. Thermorheological behaviour of a lithium lubricating grease. Tribol. Lett. 2006, 23, 47–53. [Google Scholar] [CrossRef]
- Delgado, M.A.; Valencia, C.; Sanchez, M.C.; Franco, J.M.; Callegos, C. Influence of soap concentration and oil viscosity on the rheology and microstructure of lubricating greases. Ind. Eng. Chem. Res. 2006, 45, 1902–1910. [Google Scholar] [CrossRef]
- Cyriac, F.; Lugt, P.M.; Bosman, R. On a new method to determine the yield stress in lubricating grease. Tribol. Trans. 2015, 58, 1021–1030. [Google Scholar] [CrossRef]
- Lugt, P.M.; Velickov, S.; Tripp, J.H. On the chaotic behavior of grease lubrication in rolling bearings. Tribol. Trans. 2009, 52, 581–590. [Google Scholar] [CrossRef]











| Step | Retraction Speed (mm/s) | Temperature (°C) | Retraction Distance (mm) | Repeats (Cycles) |
|---|---|---|---|---|
| 1 | 0.1 | 30 | 10 | 10 |
| 2 | 0.5 | 30 | 10 | 10 |
| 3 | 1 | 30 | 10 | 10 |
| 4 | 2 | 30 | 10 | 10 |
| 5 | 5 | 30 | 10 | 10 |
| 6 | 0.1 | 60 | 10 | 10 |
| 7 | 0.5 | 60 | 10 | 10 |
| 8 | 1 | 60 | 10 | 10 |
| 9 | 2 | 60 | 10 | 10 |
| 10 | 5 | 60 | 10 | 10 |
| 11 | 0.1 | 90 | 10 | 10 |
| 12 | 0.5 | 90 | 10 | 10 |
| 13 | 1 | 90 | 10 | 10 |
| 14 | 2 | 90 | 10 | 10 |
| 15 | 5 | 90 | 10 | 10 |
| Grease | NLGI Grade | Thickener | Base Oil |
|---|---|---|---|
| A | 2 | Lithium complex | ISO VG 220 (kinematic viscosity of 220 cSt at 40 °C) |
| B | 2 | Lithium | Mineral base (kinematic viscosity of 220 cSt at 40 °C |
| C | 1–2 | Complex calcium sulphonate | Synthetic (PAO) mineral (kinematic viscosity of 80 cSt at 40 °C) |
| D | 00 | Paratac | Paraffinic base oil (kinematic viscosity of 90 cSt at 40 °C) |
| E | 2 | Lithium complex | Mineral base (kinematic viscosity of 150 cSt at 40 °C |
| F | 2 | Polymer-modified lithium | Mineral base (kinematic viscosity of 115 cSt at 40 °C |
| G | 2 | Polymer-modified lithium | Mineral base (kinematic viscosity of 115 cSt at 40 °C |
| H | 2 | Calcium | mineral base (kinematic viscosity of 115 cSt at 40 °C |
Publisher’s Note: MDPI stays neutral with regard to jurisdictional claims in published maps and institutional affiliations. |
© 2021 by the authors. Licensee MDPI, Basel, Switzerland. This article is an open access article distributed under the terms and conditions of the Creative Commons Attribution (CC BY) license (http://creativecommons.org/licenses/by/4.0/).
Share and Cite
Georgiou, E.P.; Drees, D.; De Bilde, M.; Anderson, M.; Carlstedt, M.; Mollenhauer, O. Quantification of Tackiness of a Grease: The Road to a Method. Lubricants 2021, 9, 32. https://doi.org/10.3390/lubricants9030032
Georgiou EP, Drees D, De Bilde M, Anderson M, Carlstedt M, Mollenhauer O. Quantification of Tackiness of a Grease: The Road to a Method. Lubricants. 2021; 9(3):32. https://doi.org/10.3390/lubricants9030032
Chicago/Turabian StyleGeorgiou, Emmanuel P., Dirk Drees, Michel De Bilde, Michael Anderson, Matthias Carlstedt, and Olaf Mollenhauer. 2021. "Quantification of Tackiness of a Grease: The Road to a Method" Lubricants 9, no. 3: 32. https://doi.org/10.3390/lubricants9030032
APA StyleGeorgiou, E. P., Drees, D., De Bilde, M., Anderson, M., Carlstedt, M., & Mollenhauer, O. (2021). Quantification of Tackiness of a Grease: The Road to a Method. Lubricants, 9(3), 32. https://doi.org/10.3390/lubricants9030032

