Influence of a Walnut Shell Biochar Additive on the Tribological and Rheological Properties of Vegetable Lubricating Grease
Abstract
1. Introduction
2. Materials and Methods
3. Results and Discussion
3.1. Analysis of the Efficiency of the Pyrolysis Process
3.2. Tribological Tests
3.3. Tests of Rheological Properties of Lubricating Greases
4. Conclusions
Author Contributions
Funding
Institutional Review Board Statement
Informed Consent Statement
Data Availability Statement
Conflicts of Interest
References
- Thampi, A.D.; Prasanth, M.A.; Anandu, A.P.; Sneha, E.; Sasidharan, B.; Rani, S. The effect of nanoparticle additives on the tribological properties of various lubricating oils—Review. Mater. Today Proc. 2021, 47, 4919–4924. [Google Scholar] [CrossRef]
- Yan, J.; Zeng, H.; Liu, T.; Mai, J.; Ji, H. Tribological Performance and Surface Analysis of a Borate Calcium as Additive in Lithium and Polyurea Greases. Tribol. Trans. 2016, 60, 621–628. [Google Scholar] [CrossRef]
- Fan, X.; Xia, Y.; Wang, L.; Li, W. Multilayer Graphene as a Lubricating Additive in Bentone Grease. Tribol. Lett. 2014, 55, 455–464. [Google Scholar] [CrossRef]
- Kozdrach, R.; Skowroński, J. The application of polyvinylpyrrolidone as a modifier of tribological properties of lubricating greases based on linseed oil. J. Tribol. 2018, 140, 7. [Google Scholar] [CrossRef]
- Guru, S.R.; Venugopal, C.; Sarangi, M. Effect of polymer additives on the tribological performance of soybean oil. Ind. Lubr. Tribol. 2023, 75, 607–618. [Google Scholar] [CrossRef]
- Kozdrach, R. The influence of montmorilllonite on the value of yield point lubricating grease produced on vegetable base oil. Naft Gaz 2017, 73, 698–706. [Google Scholar] [CrossRef]
- Kozdrach, R. The influence of montmorillonite content on change the physicochemical properties of lubricating greases produced from vegetable base oil. Naft Gaz. 2020, 76, 270–278. [Google Scholar] [CrossRef]
- Mohamed, A.; Osman, T.A.; Khattab, A.; Zaki, M. Tribological Behavior of Carbon Nanotubes as an Additive on Lithium Grease. ASME J. Tribol. 2015, 137, 011801. [Google Scholar] [CrossRef]
- Kozdrach, R.; Drabik, J.; Szczerek, M. Influence of Silicon Additives on Tribological and Rheological Test Results for Vegetable Lubricants. Materials 2023, 16, 6245. [Google Scholar] [CrossRef]
- Mortier, R.M.; Fox, M.F.; Orszulik, S.T. Chemistry and Technology of Lubricants; Springer: Dordrecht, The Netherlands, 2009. [Google Scholar]
- Bloch, H.P. Practical Lubrication for Industrial Facilities; Fairmont Press: New York, NY, USA, 2000. [Google Scholar]
- Lugt, P.M. Grease Lubrication in Rolling Bearings; Wiley: London, UK, 2013. [Google Scholar]
- Mang, T. Encyclopedia of Lubricants and Lubrication; Springer: Berlin, Germany, 2014. [Google Scholar]
- Mang, T.; Dresel, W. Lubricants and Lubrication; Wiley: Weinheim, Germany, 2007. [Google Scholar]
- Ishchuk, Y.L. Lubricating Grease Manufacturing Technology; New Age International: New Delhi, India, 2008. [Google Scholar]
- Pirro, D.M.; Webster, M.; Daschner, E. Lubrication Fundamentals, 3rd ed.; CRC Press: London, UK, 2016. [Google Scholar]
- Rizvi, S.Q.A. A Comprehensive Review of Lubricant Chemistry, Technology, Selection and Design; ASTM International: West Conshohocken, PA, USA; Baltimore, MD, USA, 2009. [Google Scholar]
- Stachowiak, G.; Batchelor, A.W. Engineering Tribology; Elsevier: Oxford, UK, 2007. [Google Scholar]
- Brown, S.F. Tribology & Lubrication Technology; STLE: Chicago, IL, USA, 2015. [Google Scholar]
- Bartz, W.J. Ecotribology: Environmentally Acceptable Tribological Practices. Tribol. Int. 2006, 39, 728–733. [Google Scholar] [CrossRef]
- Blau, P.J. Friction Science and Technology; Marcel Dekker: New York, NY, USA, 1996; pp. 203–213. [Google Scholar]
- Hebda, M. Procesy Tarcia, Smarowania i Zużywania Maszyn—ITeE-PIB; Warszawa-Radom: Radom, Poland, 2007. [Google Scholar]
- Chen, W.; Gao, Y.; Zhang, H. XPS and SEM analyses of self-repairing film formed by mineral particles as lubricant additives on the metal friction pairs. In Advanced Tribology: Proceedings of CIST2008 & ITS-IFToMM2008; Springer: Berlin/Heidelberg, Germany, 2010; pp. 660–664. [Google Scholar]
- Kido, Y.; Koshikawa, T.; Tada, R. Rapid and quantative major element analysis method for wet fine-grained sediments an XRF microscanner. Mar. Geol. 2006, 229, 209–225. [Google Scholar] [CrossRef]
- Reilly, F. XRF for film thickness measurement: Pros. vs. cons of common configurations. Met. Finish. 2007, 105, 496–500. [Google Scholar] [CrossRef]
- Liu, X.; Colman, S.M.; Brown, E.T.; Minor, E.C.; Li, H. Estimation of carbonate, total organic carbon, and biogenic silica content by FTIR and XRF techniques in lacustrine sediments. J. Paleolimnol. 2013, 50, 387–398. [Google Scholar] [CrossRef]
- Mazuritskiy, M.I.; Duimakaev, S.; Skibina, L.M. SEM and XRF spectroscopy methods for studying and controlling the surface morphology of metal-polymer films. J. Surf. Investig. X-Ray Synchrotron Neutron Tech. 2014, 8, 767–774. [Google Scholar] [CrossRef]
- Lu, X.; Wong, K.C.; Wong, P.C.; Mitchell, K.A.R.; Cotter, J.; Eadie, D.T. Surface characterization of polytetrafluoroethylene (PTFE) transfer films during rolling–sliding tribology tests using X-ray photoelectron spectroscopy. Wear 2006, 261, 1155–1162. [Google Scholar] [CrossRef]
- Matsumoto, K.; Rossi, A.; Spencer, N.D. XPS study of Tribo-films formed by phosphorus containing lubricant additives. Tribol. Lett. 2000, 2, 1287–1292. [Google Scholar]
- Unnikrishnan, R.; Christopher, J.; Jain, M.C.; Harinarayan, A.K. An X-ray photoelectron spectroscopy study of the boundary lubrication film formed under Four-Ball Friction test condition using different AW/EP additives. In Proceedings of the 2nd International Symposium on Fuels and Lubricants, New Delhi, India, 10–12 March 2000; Volume 2, pp. 805–810. [Google Scholar]
- McPherson, A. Introduction to Macromolecular Crystallography; John Wiley & Sons: Hoboken, NJ, USA, 2003. [Google Scholar]
- ASM Handbook. Friction, Lubrication and Wear Technology; ASM International: Metals Park, OH, USA, 1992; Volume 18. [Google Scholar]
- Godfrey, D. Friction of grease and grease components during boundary lubrication. ASLE Trans. 1964, 7, 24–31. [Google Scholar] [CrossRef]
- Rudenko, P.; Bandyopadhyay, A. Talc as friction reducing additive to lubricating oil. Appl. Surf. Sci. 2013, 276, 383–389. [Google Scholar] [CrossRef]
- Fan, X.; Xia, Y.; Wang, L. Tribological properties of conductive lubricating greases. Friction 2014, 2, 343–353. [Google Scholar] [CrossRef]
- Rico, E.F.; Minondo, I.; Cuervo, D.G. The effectiveness of PTFE nanoparticle powder as an EP additive to mineral base oils. Wear 2007, 262, 1399–1406. [Google Scholar] [CrossRef]
- Prasannakumar, P.; Sankarannair, S.; Prasad, G.; Hari Krishna, P.H.; Pranav, S.; Vivek, P.; Sidharth, S.; Shanmugam, R. Bio-based additives in lubricants: Addressing challenges and leveraging for improved performance toward sustainable lubrication. Biomass Conv. Bioref. 2025. [Google Scholar] [CrossRef]
- Ali, I.; Basheer, A.A.; Kucherova, A.; Memetov, N.; Pasko, T.; Ovchinnikov, K.; Pershin, V.; Kuznetsov, D.; Galunin, E.; Grachev, V.; et al. Advances in carbon nanomaterials as lubricants modifiers. J. Mol. Liq. 2019, 279, 251–266. [Google Scholar] [CrossRef]
- Wang, Y.; Hou, X.; Zhang, L.; Ali, M.K.A.; Jiang, H.; Ma, Y. Development of nano biochar as a lubricating oil additive for tribological applications. J. Clean. Prod. 2023, 421, 138519. [Google Scholar] [CrossRef]
- Gao, R.; Liu, W.; Chang, Q. Enhanced reducing effect induced by biocarbon-modified magnesium silicate hydroxide for better tribologicalproperties. Wear 2024, 554–555, 205479. [Google Scholar] [CrossRef]
- Syahir, A.Z.; Zulkifli, N.W.M.; Masjuki, H.H.; Kalam, M.A.; Alabdulkarem, A.; Gulzar, M.; Khuong, L.S.; Harith, M.H. A review on bio-based lubricants and their applications. J. Clean. Prod. 2017, 168, 997–1016. [Google Scholar] [CrossRef]
- Mehta, S.; Joshi, P.; Pandey, A.; Goswami, R.N.; Sharma, O.P.; Khatri, O.P. Graphitic Biocarbon from Agrowaste Biomass: A Sustainable Material of Excellent Lubrication Performance. ACS Sustain. Resour. Manag. 2025, 2, 166–176. [Google Scholar] [CrossRef]
- Kozdrach, R.; Radulski, P. Application of chokeberry biochar as a modified additive to the vegetable lubricants: The tribological and rheological properties. Sci. Rep. 2025, 15, 3964. [Google Scholar] [CrossRef]
- Albatrni, H.; Qiblawey, H.; Al-Marri, M.J. Walnut shell based adsorbents: A review study on preparation, mechanism, and application. J. Water Process Eng. 2022, 45, 102527. [Google Scholar] [CrossRef]
- Członka, S.; Strąkowska, A.; Kairytė, A. Effect of walnut shells and silanized walnut shells on the mechanical and thermal properties of rigid polyurethane foams. Polym. Test. 2020, 87, 106534. [Google Scholar] [CrossRef]
- Fordos, S.; Abid, N.; Gulzar, M.; Pasha, I.; Oz, F.; Shahid, A.; Khan, M.K.I.; Khaneghah, A.M.; Aadil, R.M. Recent development in the application of walnut processing by-products (walnut shell and walnut husk). Biomass Conv. Bioref. 2023, 13, 14389–14411. [Google Scholar] [CrossRef]
- Martínez, M.L.; Torres, M.M.; Guzmán, C.A.; Maestri, D.M. Preparation and characteristics of activated carbon from olive stones and walnut shells. Ind. Crops Prod. 2006, 23, 23–28. [Google Scholar] [CrossRef]
- Yang, J.; Qiu, K. Preparation of activated carbons from walnut shells via vacuum chemical activation and their application for methylene blue removal. Chem. Eng. J. 2010, 165, 209–217. [Google Scholar] [CrossRef]
- Zhao, S.; Niu, J.; Yun, L.; Liu, K.; Wang, S.; Wen, J.; Wang, H.; Zhang, Z. The Relationship among the Structural, Cellular, and Physical Properties of Walnut Shells. HortScience 2019, 54, 275–281. [Google Scholar] [CrossRef]
- Abdulwahid, M.Y.; Akinwande, A.A.; Kamarou, M.; Romanovski, V.; Al-Qasem, I.A. The production of environmentally friendly building materials out of recycling walnut shell waste: A brief review. Biomass Conv. Bioref. 2024, 14, 24963–24972. [Google Scholar] [CrossRef]
- Beskopylny, A.N.; Stel’makh, S.A.; Shcherban’, E.M.; Mailyan, L.R.; Meskhi, B.; Shilov, A.A.; Chernil’nik, A.; El’shaeva, D. Effect of Walnut-Shell Additive on the Structure and Characteristics of Concrete. Materials 2023, 16, 1752. [Google Scholar] [CrossRef]
- Li, X.; Qiu, J.; Hu, Y.; Ren, X.; He, L.; Zhao, N.; Ye, T.; Zhao, X. Characterization and comparison of walnut shells-based activated carbons and their adsorptive properties. Adsorpt. Sci. Technol. 2020, 38, 450–463. [Google Scholar] [CrossRef]
- Han, H.; Wang, S.; Rakita, M.; Wang, Y.; Han, Q.; Xu, Q. Effect of Ultrasound-Assisted Extraction of Phenolic Compounds on the Characteristics of Walnut Shells. Food Nutr. Sci. 2018, 09, 1034–1045. [Google Scholar] [CrossRef]
- Qu, W.; Xia, H.; Peng, J.; Zhang, L.; Zhang, Z.; Yang, K. Pyrolysis characteristics and kinetic analysis of walnut shell. Trans. Chin. Soc. Agric. Eng. 2009, 25, 194–198. [Google Scholar]
- Cheng, C.; Shi, Y.; Li, M.; Xing, M.; Wu, Q. Carbon quantum dots from carbonized walnut shells: Structural evolution, fluorescence characteristics, and intracellular bioimaging. Mater. Sci. Eng. C 2017, 79, 473–480. [Google Scholar] [CrossRef]
- Available online: https://pl.atlasbig.com/kraje-wedlug-produkcji-orzecha-wloskiego (accessed on 10 February 2025).
- Available online: https://nawozy.eu/aktualnosci/newsy/owoce/sytuacja-na-globalnym-rynku-orzechow (accessed on 11 March 2021).
- Molza, A.; Bilas, P.; Nomède-Martyr, N.; Césaire, T.; Yacou, C.; Gaspard, S.; Thomas, P. Biomass-Derived Carbons as Friction Reducing Additives for Lubricants: Tribological Properties of Biochars and Activated Carbons Obtained from Sugar Cane Bagasse. Lubricants 2024, 12, 308. [Google Scholar] [CrossRef]
- Tonkonogov, B.P.; Kilyakova, A.Y.; Daudi, D.I.; Spiridonova, A.D.; Krylova, A.Y.; Safieva, R.Z. The use of biochar as filler in polyurea lubricants. Chem. Technol. Fuels Oils 2021, 57, 733–739. [Google Scholar] [CrossRef]
- Molenda, J.; Pawelec, Z.; Pawelec, E.; Kaźmierczak, B. The influence of biocarbon additives on grease functionality. Tribologia 2020, 290, 47–53. [Google Scholar] [CrossRef]
- Pawelec, Z.; Molenda, J.; Kaźmierczak, B. The effect of the biocarbon type on the tribological characteristics of greases manufactured with vegetable and synthetic base oils. Tribologia 2020, 6, 57–63. [Google Scholar] [CrossRef]
- El-Adly, R.A.; Adel, Y.M.; Hussein, M.F.; Ismail, E.A.; Abbas, D.M. Biogrease based on biochar from rice straw and waste cooking oil. Int. J. Adv. Pharm. Biol. Chem. 2015, 4, 91–97. [Google Scholar]
- Adeniyi, A.G.; Abdulkareem, S.A.; Ighalo, J.O.; Amosa, M.K.; Papoola, A.O.; Ogunniyi, S.; Abdulkareem, M.T. Usage of biomass-based carbon materials as lubricant additive: Effects on rheological and tribological properties. Lett. Appl. NanoBioSci. 2021, 10, 2861–2868. [Google Scholar]
- Nowicki, J.; Drabik, J.; Woszczynski, P.; Gebura, K.; Nowakowska-Bogdan, E.; Kozdrach, R. Tribological characterisation of plant oil derived fatty acid esters of higher polyols: Comparative experimental study. Lubr. Sci. 2019, 31, 61–72. [Google Scholar] [CrossRef]
- Drabik, J.; Trzos, M.; Pawelec, E.; Wrona, M.; Kozdrach, R.; Duszynski, G.; Piatkowski, M. Study on properties of ecological lubricants produced on vegetable oil bases. Przem. Chem. 2018, 97, 2194–2199. [Google Scholar]
- Drabik, J.; Trzos, M.; Kozdrach, R.; Wrona, M.; Wolszczak, M.; Duszynski, G.; Piatkowski, M. Modeling and evaluation of properties of lubricants used in the food industry. Przem. Chem. 2018, 99, 2200–2204. [Google Scholar]
- Drabik, J.; Kozdrach, R.; Wolszczak, M.; Wrona, M. The proecological base oils of highly specialized lubricants. Przem. Chem. 2018, 97, 1538–1541. [Google Scholar]
- Kozdrach, R. The influence of dispersed type phase on tribological properties of lubricating greases to form on the linseed oil. Naft Gaz 2018, 6, 471–478. [Google Scholar] [CrossRef]
- ISO 2137:2021; Petroleum Products and Lubricants—Determination of Cone Penetration of Lubricating Greases and Petrolatum. Slovenian Institute for Standardization: Ljubljana, Slovenia, 2021.
- WTWT-94/MPS-025; Wojskowe Tymczasowe Wymagania Techniczne. Badanie Właściwości Przeciwzużyciowych Materiałów Pędnych i Smarowych. Polish Army: Warsaw, Poland, 1994.
- PN-76/C-04147; Przetwory Naftowe—Badanie Własności Smarnych Olejów i Smarów. Wydawnictwa Normalizacyjne: Warszawa, Poland, 1977.
- Hussain, M.D.; Gaval, V.; Pratap, A.; Sonawane, D. Tribological study of vegetable oil and its TMP esters as biolubricants. J. Tribol. 2021, 31, 13–27. [Google Scholar]
- Zheleznyi, L.V.; Bogaichuk, A.W.; Kobylyanskii, E.V.; Mishchuk, O.A. Antiwear properties of high temperature greases. Chem. Technol. Fuels Oils 2007, 43, 488–494. [Google Scholar] [CrossRef]
- Kozdrach, R. The Innovative Research Methodology of Tribological and Rheological Properties of Lubricating Grease. Tribol. Ind. 2021, 43, 117–130. [Google Scholar] [CrossRef]
- Drabik, J.; Kozdrach, R.; Wrona, M.; Iłowska, J. Use of diffusing wave and Raman spectroscopies for evaluation of paraffinic emulsions formed by homogenization. Przem. Chem. 2017, 96, 2544–2549. [Google Scholar]
- Yu, H.; Chen, H.; Zheng, Z.; Qiao, D.; Feng, D.; Gong, Z.; Dong, G. Effect of functional groups on tribological properties of lubricants and mechanism investigation. Friction 2022, 11, 911–926. [Google Scholar] [CrossRef]
- Zhang, Y.; Wang, X.; Li, Y.; Liu, Q. Interfacial adsorption and tribological response of various functional groups on titanium alloy surfaces. Tribol. Int. 2023, 182, 108001. [Google Scholar]












| Designation of the Test Grease | Dispersion Phase | Dispersed Phase | Content of Modified Additive | Pyrolysis Temperature in Which the Additive Was Produced [°C] |
|---|---|---|---|---|
| A | Sunflower oil | Amorphous silica | without additive | - |
| B | Sunflower oil | Amorphous silica | 1% biochar from walnut shell | 400 |
| C | Sunflower oil | Amorphous silica | 5% biochar from walnut shell | 400 |
| D | Sunflower oil | Amorphous silica | 1% biochar from walnut shell | 500 |
| E | Sunflower oil | Amorphous silica | 5% biochar from walnut shell | 500 |
| F | Sunflower oil | Amorphous silica | 5% graphite | - |
| Pyrolysis Temperature (°C) | FTIR Peaks (cm−1) | Characteristics of Chemical Bonds |
|---|---|---|
| 400 | 1974, 1931, 1893 | Stretching (C=O) in anhydrides or carbonyl groups (aldehydes, ketones, and esters) |
| 1832, 1779 | Stretching (C=O) in anhydrides or esters (intense carbonyl bands) | |
| 1683 | Stretching (C=C) in aromatic systems | |
| 1594, 1503 | Stretching (C=C) in aromatic rings (lignin, phenols) | |
| 1434 | Stretching (C-H) in methyl (-CH3) and methylene (-CH2-) groups | |
| 1364 | Bending (C-H) in methyl and methylene groups | |
| 1275, 1216 | Stretching (C-O) in alcohols, phenols, and ethers (cellulose derivatives) | |
| 1026, 948 | Stretching (C-O) in phenols and ethers | |
| 860, 824, 761, 688 | Deformational (C-H) out-of-plane in aromatic rings | |
| 500 | 1683 | Stretching (C=O) in amides, ketones, and carbonyl groups |
| 1559 | Stretching (C=C) in aromatic rings (lignin) | |
| 1432, 1392 | Bending (C-H) in methyl and methylene groups | |
| 1257, 1188 | Stretching (C-O) in phenols | |
| 1070, 1029 | Stretching (C-O) in alcohols and ethers | |
| 971, 864 | Deformational (C-H) in aromatic systems | |
| 816, 758, 718, 674 | Deformational (C-H) out-of-plane in aromatic rings | |
| 600 | 1791, 1693, 1640 | Stretching (C=O) in ketones, amides, and lactones |
| 1520, 1437 | Stretching (C=C) in aromatic rings | |
| 1386, 1325 | Bending (C-H) in methyl and methylene groups | |
| 1121, 1017, 964 | Stretching (C-O) in phenols and ethers | |
| 867, 713, 680 | Deforming (C-H) in aromatic systems | |
| 700 | 1991 | Stretching (C=O) in aromatic systems (aromatic quinones) |
| 1797, 1747 | Stretching (C=O) in ketones and amides | |
| 1689, 1646 | Stretching (C=C) in aromatic rings | |
| 1512 | Deformational (C-H) in aromatic systems | |
| 715, 652 | Deformational (C-H) in aromatic systems | |
| 800 | 1791 | Stretching (C=O) in ketones and amides |
| 1690, 1644 | Stretching (C=C) in aromatic rings | |
| 1518 | Deforming (C-H) in aromatic systems | |
| 824 | Deforming (C-H) in aromatic systems | |
| 715, 654 | Deforming (C-H) in aromatic systems | |
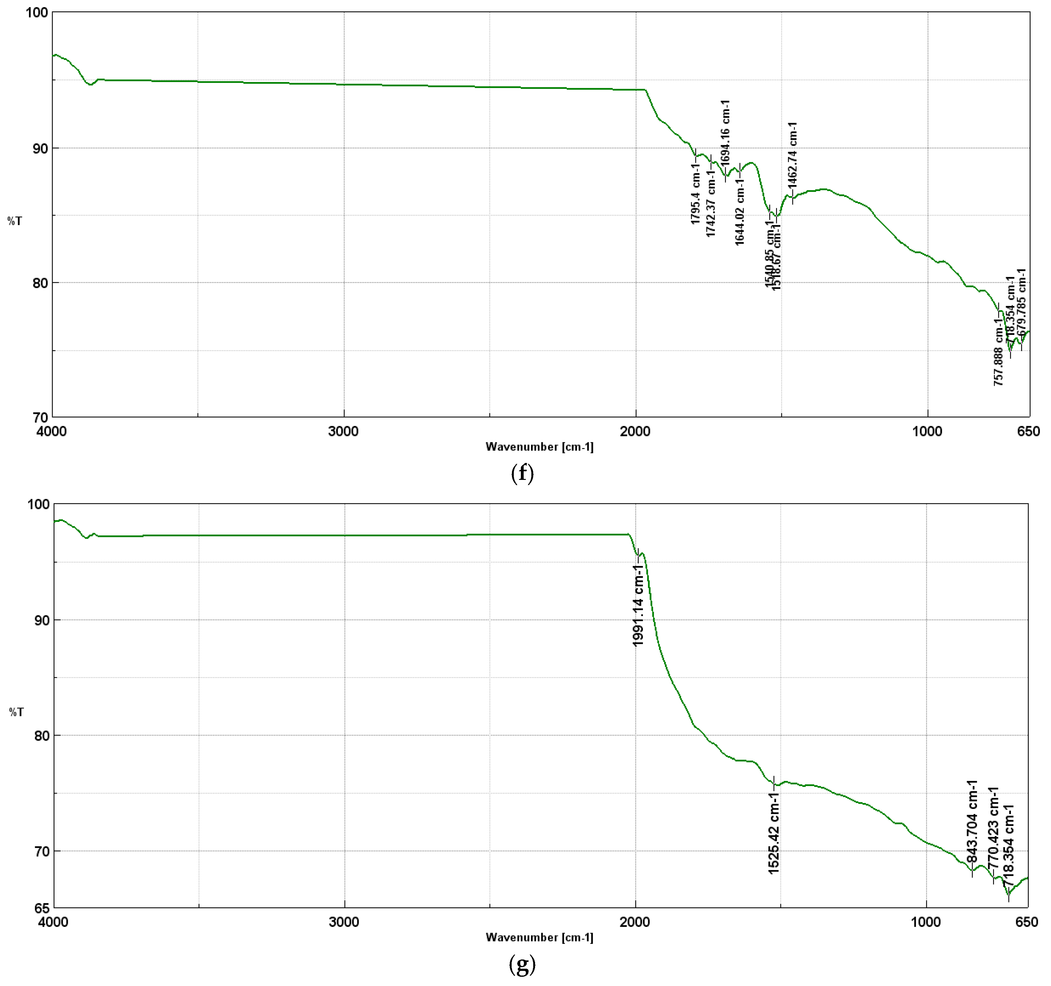
| 900 | 1795, 1742, 1694 | Stretching (C=O) in residual ketones |
| 1644 | Stretching (C=C) in aromatic rings | |
| 1540, 1518 | Deforming vibrations (C-H) in aromatic systems | |
| 1462 | Bending vibrations (C-H) in aromatic groups | |
| 757, 718, 679 | Deforming vibrations (C-H) in aromatic rings | |
| Graphite | 1991 | Stretching (C=O) in residual carbonyl groups |
| 1525 | Stretching (C=C) in highly ordered aromatic rings | |
| 770 | Deformational (C-H) out-of-plane in graphitic systems | |
| 718 | Deformational (C-H) in highly ordered aromatic systems |
| Tested lubricants | A | B | C |
| Image of wear scars after tribological tests | ![]() | ![]() | ![]() |
| Tested lubricants | D | E | F |
| Image of wear scars after tribological tests | ![]() | ![]() | ![]() |
| Tested Vegetable Grease | The Percentage Content of Elements in Wear Scars | ||||
|---|---|---|---|---|---|
| C | O | Si | Cr | Fe | |
| A | 15.366 | 23.494 | 5.113 | 0.981 | 55.045 |
| B | 19.949 | 22.254 | 3.856 | 0.867 | 53.074 |
| C | 15.968 | 4.947 | 0.817 | 1.249 | 77.018 |
| D | 15.691 | 18.867 | 3.826 | 0.977 | 60.639 |
| E | 17.175 | 13.097 | 3.288 | 1.113 | 65.327 |
| F | 17.392 | 26.102 | 6.386 | 0.844 | 49.276 |
Disclaimer/Publisher’s Note: The statements, opinions and data contained in all publications are solely those of the individual author(s) and contributor(s) and not of MDPI and/or the editor(s). MDPI and/or the editor(s) disclaim responsibility for any injury to people or property resulting from any ideas, methods, instructions or products referred to in the content. |
© 2025 by the authors. Licensee MDPI, Basel, Switzerland. This article is an open access article distributed under the terms and conditions of the Creative Commons Attribution (CC BY) license (https://creativecommons.org/licenses/by/4.0/).
Share and Cite
Kozdrach, R.; Radulski, P. Influence of a Walnut Shell Biochar Additive on the Tribological and Rheological Properties of Vegetable Lubricating Grease. Lubricants 2025, 13, 213. https://doi.org/10.3390/lubricants13050213
Kozdrach R, Radulski P. Influence of a Walnut Shell Biochar Additive on the Tribological and Rheological Properties of Vegetable Lubricating Grease. Lubricants. 2025; 13(5):213. https://doi.org/10.3390/lubricants13050213
Chicago/Turabian StyleKozdrach, Rafal, and Pawel Radulski. 2025. "Influence of a Walnut Shell Biochar Additive on the Tribological and Rheological Properties of Vegetable Lubricating Grease" Lubricants 13, no. 5: 213. https://doi.org/10.3390/lubricants13050213
APA StyleKozdrach, R., & Radulski, P. (2025). Influence of a Walnut Shell Biochar Additive on the Tribological and Rheological Properties of Vegetable Lubricating Grease. Lubricants, 13(5), 213. https://doi.org/10.3390/lubricants13050213







