Sign in to use this feature.

Years

Between: -

Subjects

remove_circle_outline
remove_circle_outline
remove_circle_outline
remove_circle_outline
remove_circle_outline
remove_circle_outline
remove_circle_outline
remove_circle_outline
remove_circle_outline

Journals

remove_circle_outline
remove_circle_outline
remove_circle_outline
remove_circle_outline
remove_circle_outline
remove_circle_outline
remove_circle_outline
remove_circle_outline
remove_circle_outline
remove_circle_outline
remove_circle_outline
remove_circle_outline
remove_circle_outline
remove_circle_outline
remove_circle_outline
remove_circle_outline

Article Types

Countries / Regions

remove_circle_outline
remove_circle_outline
remove_circle_outline
remove_circle_outline
remove_circle_outline

Search Results (2,367)

Search Parameters:
Keywords = pyrolysis process

Order results
Result details
Results per page
Select all
Export citation of selected articles as:
16 pages, 1349 KB  
Article
Multi-Scale Copper–Cobalt-Supported Carbon Catalysts for Efficient CO2 and O2 Reduction
by Lingke Sun, Wenqi Song, Yangfei Wang and Yujun Song
Coatings 2026, 16(2), 260; https://doi.org/10.3390/coatings16020260 - 19 Feb 2026
Abstract
A sequenced ultrasonic atomization coupled with a pyrolysis process is developed to synthesize a series of cross-scale (Co/Cu)-NC catalysts. The catalysts demonstrate high metal utilization efficiency with a metal loading of 22.45 ± 0.07 wt%. Electrochemical evaluations for the oxygen reduction reaction (ORR) [...] Read more.
A sequenced ultrasonic atomization coupled with a pyrolysis process is developed to synthesize a series of cross-scale (Co/Cu)-NC catalysts. The catalysts demonstrate high metal utilization efficiency with a metal loading of 22.45 ± 0.07 wt%. Electrochemical evaluations for the oxygen reduction reaction (ORR) suggest that the best (Co/Cu)-NC catalysts are prepared with a Co/Cu ratio of 1/1 and a calcination temperature of 800 °C, which achieve a half-wave potential of 0.87 V and an electrochemical impedance spectroscopy semicircle radius as low as 30 ohms. Linear sweep voltammetry measurements indicate that (Co/Cu)-NC catalysts exhibit the highest current density. Under a potential of −0.73 V versus the reversible hydrogen electrode, (Co/Cu)-NC catalysts demonstrate long-term stability with the CO Faradaic efficiency of about 70% for catalyzing carbon dioxide reduction reaction (CO2RR). Overall, the above metrics identify CoCu-800 as the optimal bifunctional catalyst among the tested samples for ORR and CO2RR under the investigated conditions. Full article
(This article belongs to the Special Issue Environmentally Friendly Energy Conversion Materials and Thin Films)
23 pages, 697 KB  
Review
Thermodynamic Analysis of Plastic Waste Conversion to Hydrogen: Heat Integration and System Performance—A Review
by Sharif H. Zein
Thermo 2026, 6(1), 14; https://doi.org/10.3390/thermo6010014 - 19 Feb 2026
Abstract
Thermochemical conversion of plastic waste to hydrogen and synthesis gas represents a potential pathway for energy recovery from heterogeneous waste streams. The feasibility and performance of such systems are fundamentally governed by thermodynamic constraints and heat-management requirements. This review critically examines the thermodynamic [...] Read more.
Thermochemical conversion of plastic waste to hydrogen and synthesis gas represents a potential pathway for energy recovery from heterogeneous waste streams. The feasibility and performance of such systems are fundamentally governed by thermodynamic constraints and heat-management requirements. This review critically examines the thermodynamic and heat-integration aspects of plastic waste conversion to hydrogen and syngas, with emphasis on pyrolysis, steam reforming, gasification, and system-level behaviour. Key thermodynamic features of plastic pyrolysis, reforming, and gasification are discussed, including reaction endothermicity, equilibrium limitations, temperature effects, and product distribution trends. The role of steam reforming and water–gas shift reactions in enhancing hydrogen yield is assessed from equilibrium and energy-demand perspectives. Heat integration emerges as a critical determinant of overall efficiency, with recoverable waste heat present at multiple process stages offering opportunities for internal heat recovery. Energy and exergy analyses identify dominant sources of irreversibility and enable comparison of plastic-derived hydrogen systems with conventional thermochemical hydrogen production routes. Quantitatively, conventional steam methane reforming achieves energy efficiencies of 65–75% and exergy efficiencies of 60–70%, whilst plastic-derived systems without extensive heat integration report 45–60% and 40–55%, respectively. Key challenges include limited thermodynamic property data for real plastic-derived mixtures, insufficient reconciliation of equilibrium and kinetic behaviour, incomplete system-level heat-integration analysis, and scarcity of comprehensive exergy-based evaluations. This review provides a thermodynamic framework for assessing the opportunities and limitations of hydrogen production from plastic waste. Full article
Show Figures

Graphical abstract

15 pages, 1675 KB  
Article
Pyrolysis of Cellulose with Gallium/HZSM-5 Catalysts via Py/GC-MS
by Hessam Jahangiri, Kamran Keynejad, Mukesh Goel, Khaled Alrashidi, Ali Mubarak Al-Qahtani and Omid Doustdar
Environments 2026, 13(2), 113; https://doi.org/10.3390/environments13020113 - 17 Feb 2026
Viewed by 132
Abstract
Cellulose has received significant attention, given its high demand for the transition to sustainable fuels and renewable energy, addressing the environmental challenges of fossil fuels. Fast pyrolysis is a process that can transform cellulose into bio-oil. Although the bio-oils produced contain considerable amounts [...] Read more.
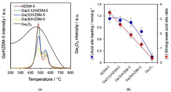
Cellulose has received significant attention, given its high demand for the transition to sustainable fuels and renewable energy, addressing the environmental challenges of fossil fuels. Fast pyrolysis is a process that can transform cellulose into bio-oil. Although the bio-oils produced contain considerable amounts of oxygen and water, they are highly corrosive and highly viscous, which limits their utility as biofuels. Pyrolysis bio-oils require upgrading to remove oxygen and corrosive components, thereby enhancing their stability for use as biofuels and their environmental sustainability. This study investigates the catalytic pyrolysis of cellulose without a catalyst and with Ga/HZSM-5 catalysts with various gallium loadings (0.3, 3 and 9 wt%) and bulk Ga2O3 catalysts using pyrolysis/gas chromatography–mass spectrometry (Py/GC-MS). The catalytic influence of different gallium loadings on HZSM-5 in cellulose pyrolysis reactions is discussed using a range of characterisation techniques, including ICP, XRD, N2 porosimetry, DRIFTS, and TPRS. The main production of oxygenated compounds (furan, sugar, ketone and phenol) and hydrocarbon products, including total aromatic and monocyclic and polycyclic aromatics, as well as benzene, toluene, xylene (BTX) and naphthalene compounds, using a family of Ga-doped HZSM-5 catalysts for cellulose pyrolysis is investigated for making sustainable cellulose-derived fuel. Ga(3)/HZSM-5 formed the highest amount of aromatics, displaying that aromatic yield depends on the Brønsted-to-Lewis acid balance (2.3 ratio) and total acidity (1.03 mmol·g−1), rather than on gallium loading alone. Full article
Show Figures

Figure 1

22 pages, 2600 KB  
Article
Synthesis of Wetland Plant-Based Biochar for Aqueous Cr(VI) Adsorption
by Xu Zhang, Mengyi Wei, Xing Gao, Ximo Chen and Suqing Wu
Water 2026, 18(4), 503; https://doi.org/10.3390/w18040503 - 17 Feb 2026
Viewed by 185
Abstract
Due to its advantages in specific surface area and oxygen-containing functional groups, biochar was often utilized for water pollution control. In this study, biochar was prepared from three types of wetland plants—Lotus Leaf, Arundo donax L., and Canna indica L. through [...] Read more.
Due to its advantages in specific surface area and oxygen-containing functional groups, biochar was often utilized for water pollution control. In this study, biochar was prepared from three types of wetland plants—Lotus Leaf, Arundo donax L., and Canna indica L. through slow pyrolysis. This biochar was utilized to adsorb Cr(VI) from wastewater, and the adsorption performance of the biochar under different pyrolysis temperatures and KOH modification ratios was investigated. The experimental results of biochar preparation demonstrated that under the pyrolysis of 500 °C and the lotus leaf powder/KOH mass ratio of 1:3, the prepared biochar (LBC-500(1:3)) exhibited the optimal adsorption capacity for Cr(VI) at a concentration of 50 mg·L−1, with an adsorption capacity reaching up to 27.88 mg·g−1. The optimal pH for Cr(VI) adsorption by LBC-500(1:3) was 3, with an adsorption capacity of 32.14 mg·g−1 at this pH. When the dosage amounted to 60 mg, LBC-500(1:3) demonstrated its highest adsorption capacity for Cr(VI), achieving a maximum of 19.39 mg·g−1. When the initial concentration peaked at 80 mg·L−1, the adsorption capacity was able to attain a value of 34.80 mg·g−1. Characterization analyses of the biochar prior to and subsequent to adsorption were conducted to elucidate the adsorption mechanisms of biochar for Cr(VI). The results revealed that the primary removal mechanisms of LBC-500(1:3) for Cr(VI) were coordination, electrostatic adsorption, and pore filling. The analysis of adsorption kinetics and isotherms revealed that the biochar predominantly adsorbed the Cr(VI) through monomolecular layer chemisorption. Adsorption thermodynamics results demonstrated that the adsorption process of the biochar was a spontaneous endothermic reaction. This study provides new insights and technical support for water pollution control, which holds significant environmental importance and application value. Full article
(This article belongs to the Special Issue Advanced Adsorption Technology for Water and Wastewater Treatment)
Show Figures

Figure 1

20 pages, 1781 KB  
Article
Effect of Pyrolysis Temperature on Chemical Structure and Thermal Stability of Digestate-Based Biochar
by Justyna Kujawska, Wojciech Cel, Barbara Charmas and Dorota Szala
Energies 2026, 19(4), 1043; https://doi.org/10.3390/en19041043 - 16 Feb 2026
Viewed by 232
Abstract
Biochar obtained from digestate is a promising material in the context of digestate management. However, it is important to note that the properties of the resulting material are largely dependent on the parameters of the pyrolysis process, with temperature being a particularly significant [...] Read more.
Biochar obtained from digestate is a promising material in the context of digestate management. However, it is important to note that the properties of the resulting material are largely dependent on the parameters of the pyrolysis process, with temperature being a particularly significant factor. The objective of this study was to evaluate the impacts of the digestate pyrolysis temperature on the chemical structure, thermal stability, and thermal decomposition characteristics of biochar produced at temperatures of 400, 500, 600, and 800 °C in an inert nitrogen atmosphere. Material characterization was performed using a range of analytical techniques, including elemental analysis, FTIR spectroscopy, thermogravimetric analysis (TGA/DTG), and coupled TGA–FTIR analysis, in order to identify volatile products released during the heating process. The results demonstrated that elevating the pyrolysis temperature results in progressive carbonization and aromatization of the carbon structure. Concurrently, functional groups containing oxygen and hydrogen were eliminated, as evidenced by declines in the H/C and O/C atomic ratios. FTIR analysis confirmed the disappearance of aliphatic and hydroxyl bands, as well as the dominance of aromatic structures and mineral components in biochar subjected to high-temperature treatment. The TGA results demonstrated an enhancement in thermal stability with increasing pyrolysis temperature. Concurrently, the TGA–FTIR analysis revealed a substantial decline in the emission of volatile decomposition products from biochar obtained at temperatures ≥600 °C. Overall, the pyrolysis temperature of digestate determines the utilization potential of the resulting biochar; in particular, low-temperature biochar can be used as a soil amendment and methane fermentation stimulant, while high-temperature biochar can be used for contaminant immobilization in soil and long-term carbon sequestration. Full article
(This article belongs to the Special Issue Advances in Waste-to-Energy Technologies)
Show Figures

Figure 1

25 pages, 6630 KB  
Article
Surface and Structural Characterization of Buckwheat Husk-Derived Activated Carbons: Correlation of SEM, Elemental, FTIR, Raman, and Porous Properties with Electrokinetic Behavior
by Laura Seimukhanova, Ulan Zhantikeyev, Inabat Sapargali, Makhabbat Kunarbekova, Kenes Kudaibergenov, Ewa Skwarek and Seitkhan Azat
Int. J. Mol. Sci. 2026, 27(4), 1803; https://doi.org/10.3390/ijms27041803 - 13 Feb 2026
Viewed by 126
Abstract
This study focuses on the synthesis and characterization of buckwheat husk-derived activated carbon, chemically activated with potassium hydroxide (KOH) and subsequently modified with urea and Prussian Blue (PB). The obtained carbons were evaluated in terms of particle-size distribution, surface morphology, structural features, and [...] Read more.
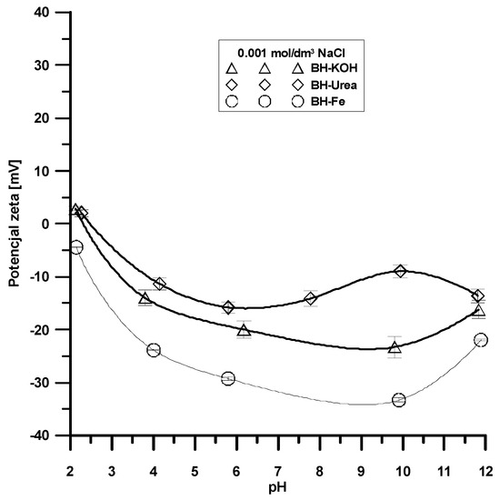
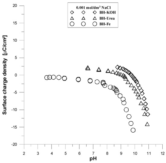
This study focuses on the synthesis and characterization of buckwheat husk-derived activated carbon, chemically activated with potassium hydroxide (KOH) and subsequently modified with urea and Prussian Blue (PB). The obtained carbons were evaluated in terms of particle-size distribution, surface morphology, structural features, and electrokinetic properties using scanning electron microscopy coupled with energy-dispersive X-ray spectroscopy (SEM–EDS), Fourier-transform infrared spectroscopy (FTIR), Raman spectroscopy, and electrophoresis, as well as N2 adsorption–desorption (BET surface area and porosity analysis). The results confirmed that both pyrolysis conditions and the type of modifier significantly affect the physicochemical properties of the activated carbon and its behavior in electrolyte solutions. Colloidal stability and particle size were strongly dependent on pH and the type of anions present in solution, with sodium nitrate (NaNO3) systems showing higher stability than sodium chloride (NaCl). Modification with KOH and urea imparted a more basic surface character, whereas PB introduced more acidic properties. All samples exhibited predominantly negative surface charges and mesoporous structures, which are favorable for adsorption processes and enhance affinity for heavy-metal cations. Among the tested materials, BH-KOH-Fe (Fe-modified KOH-activated carbon) showed the most favorable performance for the targeted application, while BH-KOH (KOH-activated buckwheat husk-derived carbon) exhibited high surface area and good colloidal stability. The prepared materials show promising applicability for water purification, including the removal of organic pollutants and radionuclides (e.g., 137Cs and 90Sr), as well as metal cations (K+, Na+, and Li+). Full article
Show Figures

Figure 1

29 pages, 996 KB  
Article
Sustainable Conversion of Household Organic Residues into Biochars: Physicochemical Characterization and Process Comparison
by Leticia Perez-Rial, Rocio Maceiras, Jose Luis Salgueiro and Maria Justicia
Sustainability 2026, 18(4), 1952; https://doi.org/10.3390/su18041952 - 13 Feb 2026
Viewed by 171
Abstract
Organic residues from households and food-service facilities, such as orange peels, spent coffee grounds, banana peels and potato skins, represent abundant biomass resources that can release undesirable compounds during degradation. Their conversion into carbonized materials through thermochemical processes offers a sustainable route for [...] Read more.
Organic residues from households and food-service facilities, such as orange peels, spent coffee grounds, banana peels and potato skins, represent abundant biomass resources that can release undesirable compounds during degradation. Their conversion into carbonized materials through thermochemical processes offers a sustainable route for waste valorization. In this study, residues were characterized by proximate and elemental analyses, density, porosity, and calorific value. Valorization was performed using microwave-assisted pyrolysis and two hydrothermal carbonization (HTC) routes. Pyrolysis experiments were conducted at 450, 600 and 800 W with residence times of 20–70 min. Conventional HTC was carried out at 180, 200 and 220 °C for 20 h, while autoclave HTC was performed at 134 °C for 2 and 4 h. The resulting biochars and hydrochars were evaluated for their physicochemical and energetic properties and ANOVA was applied to assess the influence of operating conditions. Conventional HTC at higher temperatures produced the highest calorific values, whereas microwave-assisted pyrolysis at 800 W provided competitive HHVs with high solid yields. Autoclave HTC enhanced solid retention and carbon preservation. Among the investigated residues, spent coffee grounds exhibited the most favorable solid-phase energetic performance. These findings demonstrate that thermochemical conversion enables the transformation of common residues into carbon-rich materials with physicochemical and energetic properties relevant for comparative assessment and future application-oriented studies. It should be noted that conventional hydrothermal carbonization experiments were conducted using pre-dried biomass, which represents a methodological limitation of the comparative assessment. Full article
33 pages, 6181 KB  
Article
Optimization of Spray-Pyrolyzed Cu2ZnSnS4 Thin Films Through Gamma Irradiation and Box–Behnken Design to Enhance Photocatalytic Degradation Efficiency
by Anis Akkari, Sahar Raissi, Olfa Kamoun, Wafa Sassi, Iulian Spinu, Iulian Vasile Antoniac, Ruxandra Vidu, Haikel Jelassi and Najoua Turki-Kamoun
Technologies 2026, 14(2), 120; https://doi.org/10.3390/technologies14020120 - 13 Feb 2026
Viewed by 292
Abstract
An integrated methodology was employed, incorporating spray pyrolysis synthesis, gamma irradiation post-treatment, and Box–Behnken statistical optimization. This approach was designed to systematically refine the structural and optical properties of CZTS thin films, with the objective of enhancing their photocatalytic degradation efficiency. At a [...] Read more.
An integrated methodology was employed, incorporating spray pyrolysis synthesis, gamma irradiation post-treatment, and Box–Behnken statistical optimization. This approach was designed to systematically refine the structural and optical properties of CZTS thin films, with the objective of enhancing their photocatalytic degradation efficiency. At a dose of 5 kGy, gamma irradiation resulted in an approximately 300% increase in crystallite size and improved crystallinity relative to non-irradiated samples. As the irradiation increases, the films exhibited a stronger preferential orientation along the (112) plane, which peaked at 20 kGy. Analysis using the Williamson–Hall method revealed complex microstructural evolution, showing crystallite sizes varying from ~12.48 nm to ~71.27 nm based on the irradiation dose applied. The photocatalytic activity was assessed through the UV-driven degradation of Brun Sella Solid dye, employing H2O2 as a co-reactant. The optimization process, guided by the Box–Behnken design which tested parameters such as pH (2 to 14), gamma dose (0 to 20 kGy), and H2O2 volume (100 to 500 μL), achieved a remarkable maximum degradation efficiency of 98% under optimal conditions. This study highlights the synergistic combination of controlled defect engineering through gamma irradiation and meticulous parameter optimization establishing a robust framework for the development of high-performance, earth-abundant photocatalysts suitable for environmental remediation applications. Full article
Show Figures

Figure 1

16 pages, 3475 KB  
Article
Hydrogen/Oxygen Transfer Mechanisms and Endogenous Methyl Features in Dealkaline Lignin Pyrolysis Revealed by Isotope Tracing
by Shaoxuan Hu, Yichen Zhang, Gang Li, Xiang Han, Anning Zhou, Bin Su, Qiuhong Wang, Zhenmin Luo and Fuxin Chen
Appl. Sci. 2026, 16(4), 1850; https://doi.org/10.3390/app16041850 - 12 Feb 2026
Viewed by 124
Abstract
Lignin pyrolysis is a pivotal route for biomass valorization, yet the intricate radical reaction network involved results in ambiguous hydrogen/oxygen transfer pathways and product formation mechanisms, severely impeding precise control over directed conversion processes. This study employed a combination of multi-isotope tracing techniques [...] Read more.
Lignin pyrolysis is a pivotal route for biomass valorization, yet the intricate radical reaction network involved results in ambiguous hydrogen/oxygen transfer pathways and product formation mechanisms, severely impeding precise control over directed conversion processes. This study employed a combination of multi-isotope tracing techniques and GC-MS analysis to elucidate the formation mechanisms of four phenolic products during the 500 °C hydrothermal pyrolysis of dealkaline lignin. Experiments using D2O and H218O revealed that the M + 2 signal was predominantly derived from double deuterium substitution, with an abundance difference spanning 13–81 folds. Phenol exhibited the highest M + 1 abundance (3.947) due to the full exposure of its exchangeable hydrogen sites, while its M + 2 abundance ranked second only to that of 2-methylphenol. For 2-methylphenol, the hyperconjugation effect of the ortho-methyl group activated the phenolic structure, leading to the highest M + 2 abundance among all products (M + 2/M + 1 = 2.3). In contrast, 3-methylphenol showed relatively low abundances (M + 2/M + 1 = 1.67) because the meta-methyl group lacked activating effects and introduced steric hindrance. For guaiacol, the steric hindrance of the methoxy group completely overshadowed its electronic activation effect, resulting in the lowest M + 2 abundance (1.545). CD3OD tracing experiments and the absence of detectable M + 3 peaks confirmed that the methyl groups in 2-methylphenol and 3-methylphenol were entirely endogenous to the structural units of lignin itself. By precisely tracking the migration pathways of hydrogen and oxygen, this study revealed that hydrogen transfer dominated the pyrolysis process, while oxygen transfer was hindered and methyl groups exhibited endogenous characteristics. These findings establish a mechanistic foundation for designing efficient catalysts tailored to lignin pyrolysis and for rationally steering product selectivity. Full article
(This article belongs to the Section Energy Science and Technology)
Show Figures

Figure 1

23 pages, 4776 KB  
Article
In Situ Synthesis of SiO2/Polyimide Aerogels with Improved Thermal Safety via Introducing Methyltrimethoxysilane
by Zhi Li, Fang Zhou, Kai Shen, Miao Liu, Yumin Duan, Jiahui Chen, Shuai Li and Haoxuan Yu
Fire 2026, 9(2), 81; https://doi.org/10.3390/fire9020081 - 12 Feb 2026
Viewed by 211
Abstract
Polyimide aerogels (PIAs) possess enormous application potential in high-temperature thermal insulation scenarios. As high-efficiency thermal insulation materials, their thermal safety and thermal insulation performance are of crucial importance. Currently, poor dimensional stability, high-temperature pyrolysis, and severe shrinkage remain the key factors restricting their [...] Read more.
Polyimide aerogels (PIAs) possess enormous application potential in high-temperature thermal insulation scenarios. As high-efficiency thermal insulation materials, their thermal safety and thermal insulation performance are of crucial importance. Currently, poor dimensional stability, high-temperature pyrolysis, and severe shrinkage remain the key factors restricting their development and practical application. In this work, we employ an in situ co-gelation synthesis strategy, where methyltrimethoxysilane (MTMS) is introduced as the silica precursor to fabricate SiO2/polyimide aerogels (Si@PIAs). This strategy enhances the interfacial bonding strength between the organic and inorganic phases, enabling their complementation of strengths. Experimental results demonstrate that the incorporation of the inorganic SiO2 phase endows Si@PIAs with higher thermal safety, superior thermal insulation performance, lower density, and reduced shrinkage. Among them, Si10@PIA performs best with a density of 85 mg/cm3, a thermal conductivity of 23.28 mW/(m·K), and a heat flow peak temperature of 720.7 °C. More importantly, pyrolysis analysis reveals that the pyrolysis process of Si@PIAs shifts to a randomized nucleation and growth model (n = 2/5) with the mechanism function g(α) = [−ln(1 − α)]5/2. Compared with pure PIAs, Si@PIAs possess stronger resistance to pyrolysis, lower gross calorific value, and improved thermal safety. This study provides theoretical and practical guidance for the development of high-performance aerogel materials, promoting their application in lithium-ion battery separators, high-temperature insulation, and fire-resistant materials. Full article
(This article belongs to the Special Issue Advanced Analysis of the Mechanism of Biomass Pyrolysis and Oxidation)
Show Figures

Figure 1

16 pages, 3894 KB  
Article
Evaluation of Activated Biochar Derived from Sargassum spp. as a Sustainable Substrate for the Development of Electrochemical DNA Biosensing
by Jorge A. Campoy-Ramírez, Nikola Batina, Mauricio Castañón-Arreola, Eduardo O. Madrigal-Santillán, José A. Morales-González, Javier Jiménez-Salazar, Pablo Damián-Matsumura, José G. Téllez, Xariss M. Sánchez-Chino, Berenice Carbajal-López, Abraham Cetina-Corona, José A. Garcia-Melo and Luis Fernando Garcia-Melo
Biosensors 2026, 16(2), 115; https://doi.org/10.3390/bios16020115 - 10 Feb 2026
Viewed by 206
Abstract
This study aims to develop an innovative electrochemical genosensor based on activated biochar (ABC) derived from the biomass of the seaweed Sargassum spp. The synthesis process begins with the pyrolysis of Sargassum spp. at 500 °C to obtain biochar (BC), which [...] Read more.
This study aims to develop an innovative electrochemical genosensor based on activated biochar (ABC) derived from the biomass of the seaweed Sargassum spp. The synthesis process begins with the pyrolysis of Sargassum spp. at 500 °C to obtain biochar (BC), which is chemically activated with nitric acid (HNO3). The physicochemical properties of the resulting material, such as morphology and surface area, were characterized using techniques including scanning electron microscopy (SEM), X-ray diffraction (XRD), thermogravimetric analysis (TGA), and the Brunauer–Emmett–Teller (BET) method for surface area. BET results showed an increase in surface area from 22.9367 ± 0.0879 m2/g (BC) to 159.2915 ± 2.2641 m2/g (ABC). For the development of the genosensor, a hydrolyzed collagen gel matrix enriched with ABC is created. This nanostructured, biocompatible mixture is used to immobilize a DNA probe on a graphite electrode, employing the large surface area of ABC and the formation of a functional HC-based coating. The system’s viability was evaluated by cyclic voltammetry (CV), which showed changes in the maximum anodic peak current (Ipa) during fabrication: 27.78 ± 1.87 μA for the bare electrode, 35.25 ± 1.24 μA for ABC 30%, and 39.25 ± 1.84 μA for HC + ABC 30%. After ssDNA immobilization and hybridization to dsDNA, Ipa decreased to 28.81 ± 1.565 μA and 23.10 ± 1.25 μA, respectively. Finally, hematoxylin (Hx) was used as an intercalating indicator from hybridization, reducing the maximum anodic peak current to 15.51 ± 1.13 μA, consistent with additional interfacial limitations associated with dsDNA formation. Overall, the developed system demonstrates a sustainable, promising platform for molecular diagnostics in electrochemical DNA biosensor development. Full article
Show Figures

Figure 1

19 pages, 1239 KB  
Systematic Review
Current Research Status on the Phase Behavior Evolution of Shale Oil During In Situ Conversion
by Mengyao Zhang, Lianhua Hou, Huizhu Xiang, Ke Zhang and Xuhuan Lian
Processes 2026, 14(4), 606; https://doi.org/10.3390/pr14040606 - 10 Feb 2026
Viewed by 214
Abstract
China possesses abundant shale oil resources, which, despite their overall low maturity, hold significant development potential. In situ conversion technology is the key to the efficient development of these medium-low maturity shale oil resources. Research in this area is a focal point in [...] Read more.
China possesses abundant shale oil resources, which, despite their overall low maturity, hold significant development potential. In situ conversion technology is the key to the efficient development of these medium-low maturity shale oil resources. Research in this area is a focal point in the oil and gas sector. Studying the phase behavior evolution of organic components during the heating process is crucial for both laboratory simulation and guiding extraction operations. However, comprehensive research methodologies specifically targeting phase behavior evolution during in situ conversion remain scarce, with no mature approach established. This paper begins by reviewing previous explorations and studies on predicting the phase behavior of oil and gas in low-maturity source rocks, detailing the principles, technical key points, and application cases of the Phase Kinetics method, as well as the advantages and improvements of the PhaseSnapShot method. Building upon the previously proposed two methods and considering the reservoir characteristics and hydrocarbon generation features of medium-low maturity shale oil, this paper introduces suitable hydrocarbon generation thermal simulation experiments, pyrolysis product analysis techniques, and equations of state for simulating the in situ conversion process. Finally, it proposes a research methodology for predicting phase behavior tailored to the in situ conversion of medium-low maturity shale oil. Full article
(This article belongs to the Section Petroleum and Low-Carbon Energy Process Engineering)
Show Figures

Figure 1

31 pages, 11643 KB  
Article
Unraveling Co-Pyrolysis Mechanisms for Municipal Sludge and Microplastics: Thermodynamic, Kinetic, and Product Insights
by Jingyong Liu, Zhibin Chen, Fanjing Liang, Ziting Lin, Leyao Tao, Fatih Evrendilek, Yao He, Yuan Xie, Weixin Li and Chunxiao Yang
Processes 2026, 14(4), 591; https://doi.org/10.3390/pr14040591 - 9 Feb 2026
Viewed by 287
Abstract
This study aimed to characterize the impacts of high density polyethylene (HDPE) and polyethylene terephthalate (PET) on the co-pyrolysis mechanisms and products of municipal sludge (MS) by using thermogravimetric analysis. Compared with PET, the addition of 30% HDPE maximized the comprehensive pyrolysis index [...] Read more.
This study aimed to characterize the impacts of high density polyethylene (HDPE) and polyethylene terephthalate (PET) on the co-pyrolysis mechanisms and products of municipal sludge (MS) by using thermogravimetric analysis. Compared with PET, the addition of 30% HDPE maximized the comprehensive pyrolysis index of MS from 7.68 to 20.37 × 10−6 %3/(min2·°C3). Between 350 and 500 °C, the facilitatory effect of the MS-PET co-pyrolysis was stronger than that of HDPE-MS. Between 500 and 1000 °C, the addition of PET/HDPE exerted an inhibitory effect on the MS pyrolysis. Prior to adding either plastic, the two main pyrolysis stages of MS followed distinct reaction models: a first-order reaction between 162.6 and 431.5 °C and a sixth-order (F6) reaction between 431.5 and 735.8 °C. However, the addition of HDPE transformed the high-temperature stage kinetics from the F6 model to nucleation growth. Throughout the (co-)pyrolysis process, the decomposition of alcohols, aliphatic hydrocarbons, acids, and aromatic substances occurred, accompanied by the formation of new aromatic compounds. The addition of HDPE further disrupted the char structure, while the addition of PET formed a barrier within the co-pyrolytic char, hindering the release of volatiles. Multi-objective optimization revealed that both HDPE and PET yielded superior energy performance compared with the MS pyrolysis. Increasing HDPE content further enhanced energetic optimization, with temperature and plastic type identified as the primary factors governing energy output at a heating rate of 10 °C/min. This study introduces a novel co-pyrolytic approach for tightening the co-circularity of both MS and PET/HDPE. Full article
Show Figures

Figure 1

17 pages, 8747 KB  
Article
Process Design and Kinetic-Based Simulation of a Coupled Biomass Gasification and Chemical Looping Ammonia Generation System
by Zhongyuan Liu, Qingbo Yu, Huaqing Xie, Lunbo Luo, Ziwen Chen, Guangming Yu and Chen Wang
Processes 2026, 14(4), 588; https://doi.org/10.3390/pr14040588 - 8 Feb 2026
Viewed by 207
Abstract
Conventional ammonia production via the Haber–Bosch process is energy-intensive and carbon-heavy. Emerging biomass-based approaches offer a sustainable alternative but often lack rigorous system-level analysis based on actual reaction kinetics. This study presents a novel integrated process coupling biomass pyrolysis/gasification with Chemical Looping Ammonia [...] Read more.
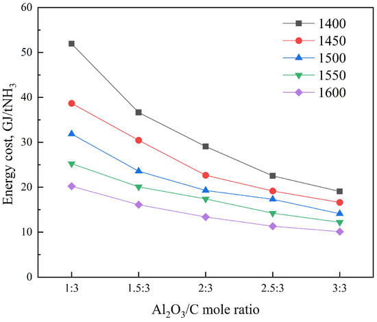
Conventional ammonia production via the Haber–Bosch process is energy-intensive and carbon-heavy. Emerging biomass-based approaches offer a sustainable alternative but often lack rigorous system-level analysis based on actual reaction kinetics. This study presents a novel integrated process coupling biomass pyrolysis/gasification with Chemical Looping Ammonia Generation (CLAG) and waste heat recovery. Unlike previous models relying on simplified assumptions, this simulation incorporates experimental kinetic data for both N-absorption and N-desorption stages to ensure high fidelity. The system’s energy and mass flows were rigorously evaluated using Aspen Plus. Results indicate that the gasification stage is optimal at an O2/biomass molar ratio of 0.2 and 750 °C. In the CLAG unit, a higher N-absorption temperature (1600 °C) and α-Al2O3/C ratio (3:3) significantly enhance ammonia yield. Under these optimal conditions, the system achieves a remarkably low energy consumption of 10.12 GJ/t-NH3 and specific CO2 emissions of 3.2 t/t-NH3—a reduction of over 60% compared to traditional coal-based routes. The integration of waste heat recovery is identified as a critical factor in minimizing net energy input. This work validates the feasibility of the biomass-based CLAG process as a low-carbon, energy-efficient pathway for sustainable ammonia synthesis. Full article
(This article belongs to the Section Energy Systems)
Show Figures

Figure 1

23 pages, 1741 KB  
Review
New Trends in the Valorisation of the Solid Fraction of Digestate for the Production of Value-Added Bioproducts
by Jana Font-Pomarol, Esther Molina-Peñate, Adriana Artola and Antoni Sánchez
Processes 2026, 14(3), 577; https://doi.org/10.3390/pr14030577 - 6 Feb 2026
Viewed by 286
Abstract
The rapid expansion of anaerobic digestion (AD) as a key technology for producing renewable energy has led to a substantial increase in digestate generation. This has intensified the need for sustainable management strategies that align with circular economy principles. While the solid fraction [...] Read more.
The rapid expansion of anaerobic digestion (AD) as a key technology for producing renewable energy has led to a substantial increase in digestate generation. This has intensified the need for sustainable management strategies that align with circular economy principles. While the solid fraction of digestate (SD) is traditionally applied to land or composted, its heterogeneous composition, regulatory constraints, and handling challenges restrict its wider use. This review aims to clarify the current state of SD treatment and highlight emerging opportunities to convert this underexploited resource into value-added bioproducts. A systematic bibliographic analysis of the past decade was conducted to identify consolidated and emerging SD valorisation technologies, supported by an evaluation of EU-level regulatory frameworks and the role of mechanical solid–liquid separation in enabling downstream valorisation. In addition, a comprehensive comparative table compiling physicochemical characterisation data of SD from various feedstocks and separation methods is presented, emphasising the significant variability in composition and its implications for valorisation pathways. The results show that, while composting and thermochemical routes, particularly pyrolysis, remain predominant, novel approaches such as advanced drying, pelletisation, vermicomposting, insect bioconversion, and fermentation-based pathways (including submerged and solid-state fermentation) are rapidly gaining interest. These emerging technologies enable the production of high-value products such as biochar, pellets, enzymes, microbial biopesticides, protein sources, and fungal biomass. However, their adoption is currently limited by feedstock heterogeneity, process complexity, scalability constraints, and economic considerations. Overall, SD is a versatile feedstock whose valorisation is expanding beyond agricultural applications. However, regulatory harmonisation, quality assurance, and process optimisation are still needed to encourage industrial uptake and to fully integrate SD into circular bioeconomy frameworks. Full article
(This article belongs to the Special Issue Feature Review Papers in Section "Environmental and Green Processes")
Show Figures

Figure 1

Back to TopTop