- Review
Physiochemical Processes to Reduce Friction and Wear Under Selective Transfer Conditions—A Review
- Filip Ilie,
- Constantin-Daniel Cotici and
- Alina Juganaru
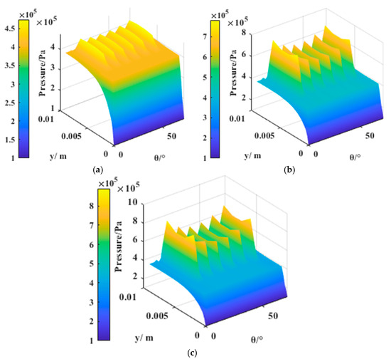
A selective transfer is realized safely if the material pair and the lubricant are adequate, in the presence of a relative motion and an energy favoring the transfer. The paper highlights the mechanism of achieving the selective transfer phenomenon a...

