Abstract
The elastic-supported tilting pad journal bearing brings new momentum and opportunities for improving the lubrication performance and dynamic stability of high-speed bearing–rotor systems. The objective of this study is to investigate the dynamic and lubrication characteristics of a dual parallel spring-supported tilting pad journal bearing (DPSTPJB) system under unbalanced journal excitation. Considering the tilting angle and radial displacement of the pads, a 10-DOF dynamic model of the four-pad DPSTPJB system is established, accounting for the effects of unbalanced load, nonlinear fluid film force, and parallel spring force/moment. Numerical solutions are obtained for the dynamic responses of the journal and pads as well as the minimum film thickness and maximum film pressure. The effects of spring stiffness, stiffness ratio, and included angle on journal vibration, minimum film thickness, and maximum film pressure are revealed. The results show that the parallel spring parameters have a positive effect on the optimization of bearing performance with an optimal stiffness ratio that minimizes journal vibration and optimizes fluid film thickness and pressure. This research provides a theoretical basis for the optimization design and application of the DPSTPJB.
1. Introduction
The tilting pad journal bearing (TPJB) is widely used in high-speed rotating equipment such as steam turbines and gas turbines due to its excellent dynamic stability. Although TPJBs exhibit high stability, nonlinear vibration faults such as oil film instability and pad flutter can still occur due to factors such as pivot friction, pad inertia, and installation design. Pad flutter is the unstable vibration of statically unloaded pads, which is often accompanied by repeated impacts of the leading edge of the pad against the journal [1]. This phenomenon severely affects the operational quality and service life of TPJBs. The design of TPJBs with high reliability and stability plays an important role in promoting the development of high-speed rotating equipment.
Elastic support design has become an effective technical approach for enhancing the stability and reducing vibrations of TPJB systems. Significant progress has been made in the lubrication and dynamic analysis of elastic-supported TPJBs. Zhang et al. [2] tested the pad temperature and film thickness of a three-pad TPJB with an elastic pivot on the upper pad and carried out an optimized design of the bearing to improve its operating performance. Liu et al. [3] designed a TPJB with elastic-damped pivots to suppress vibration and improve system stability. Experimental analysis indicated that the bearing could reduce critical amplitudes. Chen et al. [4] developed a tilting pad gas bearing incorporating variable stiffness springs, where the introduction of elastic shims and displacement restriction components allowed the bearing to adapt to varying loads, offering improved performance and a wider operating range. Jin et al. [5] presented an adjustable elastic-pivot TPJB to improve the journal center orbit and fluid film thickness. Huang et al. [6] proposed a double-layer flexible-support TPJB, integrating two layers of springs with distinct functions to reduce vibration amplitude and improve system stability. Wu et al. [7] presented a flexible structure TPJB with spring supports, demonstrating through theoretical and experimental results its vibration suppression and stability under high-speed conditions. Wang et al. [8] proposed a combined system of porous tilting pad gas bearings with hermetic squeeze film dampers to improve load capacity and vibration characteristics. The flexure-pivot TPJB proposed by Armentrout and Paquette [9] achieves rotordynamic stability comparable to that of conventional multi-piece TPJBs while addressing cost and size limitations through simplified construction. Subsequent studies on this design have been conducted by Suh et al. [10], Plantegenet et al. [11], and Koondilogpiboon and Inoue [12].
Some scholars have also investigated the influence of pivot stiffness on the TPJB performance. San Andrés and Tao [13] revealed that TPJB impedance coefficients exhibited strong frequency dependence over a range of pivot stiffness values spanning from 0.1 to 10 times the fluid film stiffness. Dang et al. [14] found that flexible pivots significantly affected the clearance profile, shaft locus, and dynamic coefficients. Zhang et al. [15] demonstrated that appropriate pivot stiffness could reduce the critical speed, enhance system stability, and smooth the journal center orbit. Shin and Palazzolo [16] revealed that pivot shape, flexibility, and friction were critical factors affecting the rotor vibration severity and instability caused by the Morton effect. Ciulli et al. [17] experimentally investigated the stiffness of ball-and-socket pivots in TPJBs, revealing substantial deviations between measured values and traditional Hertzian contact theory predictions. Jin et al. [18] indicated that pivot stiffness significantly contributed to reducing the resonance and operational amplitudes of TPJB-rotor systems. Peixoto et al. [19] revealed that compliant pivots could reduce lubricant pressure, temperature rise, and drag torque by increasing film thickness. Through modeling pivot contact flexibility using a statistical asperity-based microcontact theory for rough surfaces, Wagner [20] revealed that pivot stiffness could be up to three times lower than Hertzian theory predictions. Betti et al. [21] proposed an equivalent rotational pivot stiffness model to account for pivot rolling motion effects in rocker-back TPJBs. Their results revealed that rotational pivot stiffness had a non-negligible impact on cross-coupled dynamic coefficients.
Due to the nonlinear effects of the fluid film force in hydrodynamic journal bearings, research on the lubrication and dynamics of journal bearings has evolved from linear dynamic coefficients to nonlinear dynamic responses. Significant progress has also been made in the study of TPJBs. Tofighi-Niaki et al. [22] discovered periodic, quasi-periodic, and chaotic vibrations induced by varying unbalanced loads and rotational speeds under rub-impact conditions at the journal–pad interface. Kim and Palazzolo [23] demonstrated that pad–pivot friction critically influenced the nonlinear dynamic behavior and stability of rotor systems. Ciulli and Forte [24] demonstrated that deformed rotor orbits under elevated dynamic-to-static load ratios suggested nonlinear stiffness effects. These results were corroborated by analytical models incorporating nonlinear stiffness terms. Jin et al. [25] investigated the effects of design parameters on the dynamic characteristics of water-lubricated TPJBs both with and without static loads. Their findings provided a theoretical basis for the optimal design of water-lubricated TPJBs. Li et al. [26] developed a transient hydrodynamic lubrication model for TPJBs using computational fluid dynamics and fluid–structure interaction methods. Hojjati et al. [27] revealed hardening/softening behaviors, multivalued solutions, and jump phenomena of TPJB-rotor systems under varying excitation forces. Dyk et al. [28] investigated the effects of nonlinear forces and friction in the ball-and-socket pivot on the dynamic behavior of TPJBs. Cao et al. [29] performed a nonlinear dynamic analysis of a turbocharger rotor system supported by TPJBs, revealing the influence of key parameters on the vibration behavior and bifurcation speed. In recent years, theoretical and experimental research on journal bearing lubrication and dynamics has been progressively advancing toward emerging domains encompassing mixed lubrication [30,31], wear mechanisms [32,33], and tribodynamic behaviors [34,35,36].
Research on TPJBs with dual parallel spring supports remains limited. Both the theoretical model and performance characteristics of this bearing demand further investigation. The objective of this paper is to investigate the dynamic and lubrication characteristics of the dual parallel spring-supported tilting pad journal bearing (DPSTPJB) system under unbalanced journal excitation and to explore the effects of the parallel spring parameters on bearing performance.
2. Modeling
The geometric model of the DPSTPJB is shown in Figure 1. The bearing consists of four tilting pads with the static load Wy applied between the pads. Two springs (with stiffnesses k1 and k2 and included angle 2α) are symmetrically placed on the back of each pad, providing radial support stiffness and resistance moment for the pad. This design enhances the load-carrying capacity of the statically loaded pads (pads 3 and 4) while preventing the statically unloaded pads (pads 1 and 2) from experiencing flutter phenomena.

Figure 1.
Geometric model of the DPSTPJB: (a) bearing geometry (b) pad geometry, and (c) spring deformation.
2.1. Governing Equation
The fluid film pressure on each pad of the TPJB is governed by the Reynolds equation. Under the assumptions of constant viscosity, laminar flow, and incompressible fluid, the dynamic Reynolds equation [37] can be written as
where θ and z are the circumferential and axial coordinates, respectively, p is the fluid film pressure, h is the fluid film thickness, μ is the fluid viscosity, ω is the angular speed, R is the journal radius, and t is time.
Considering the two main degrees of freedom for each pad, namely the tilting angle δp and radial displacement ξp, the fluid film thickness on the rigid pad can be expressed as
where xj and yj are the displacement components of the journal in the horizontal and vertical directions, respectively, cp is the radial pad clearance, cb is the radial bearing clearance, δp is the pad tilt angle, ξp is the radial pad displacement, θp is the circumferential coordinate of the pad mass center, and Rp is the distance from the pad mass center to the bearing center.
The motion equation of the DPSTPJB system under unbalanced journal excitation is governed by
where mj is the journal mass, Ip is the pad moment of inertia, mp is the pad mass, eu is the unbalance mass eccentricity, Wy is the static load, k1 and k2 are parallel spring stiffness, α is the half angle between the springs, and ξ1 and ξ2 are spring deformations given by
The nonlinear fluid film force and moment can be derived by integrating the fluid film pressure:
where θ1 and θ2 are the circumferential coordinates at the leading and trailing edges of the pad, respectively, L is the bearing length, and i is the pad number.
2.2. Solving Strategy
The finite difference method with successive over-relaxation iteration is employed to solve the Reynolds equation (Equation (1)). The fluid film on each pad is discretized into equidistant grids of 20 × 14 in the circumferential and axial directions, respectively. The iteration process incorporates Reynolds boundary conditions
with a relative error tolerance of 10−6 for the pressure. The trapezoidal numerical integration method is used to calculate the nonlinear fluid film force and moment (Equations (5)–(8)). The system motion equation (Equation (3)) is solved using the ode15s solver in MATLAB R2023b, with a relative error tolerance of 10−6, an absolute error tolerance of 10−8, and an initial value of zero.
2.3. Model Validation
The accuracy of the present model is validated by comparing the journal center orbits calculated in this study with those reported by Fillon et al. [37]. The present study adopts identical Reynolds equations and boundary conditions to those employed in the reference literature, thereby ensuring consistency in the lubrication model. The principal distinction lies in the governing equations for pad motion, which arises from the implementation of parallel spring-supported pads in this investigation compared to the rigid pivot-supported pads utilized in the cited work. Notably, the rigid pivot configuration can be effectively approximated by specifying k1 = k2 = 1 × 1011 N/m and α = 0 in the present model. Furthermore, the bearing geometric parameters and operating conditions maintain consistency with the benchmark case established in the reference literature, enabling a direct comparative analysis of numerical results. Figure 2 presents a comparison of journal center orbits for unbalanced eccentricities of 40 µm and 100 µm. It is evident that the results obtained in this study are in excellent agreement with the data from the literature.
Figure 2.
Comparison of journal center orbits between the present calculations and Fillon et al.’s results [37]: (a) eu = 40 μm, and (b) eu = 100 μm.
3. Results and Discussion
This section presents the dynamic response of the DPSTPJB system over 10 cycles (0.15 s), including journal displacement, pad tilt angle, pad displacement, minimum film thickness, and maximum film pressure. After removing the transient effects from the initial cycles, the stable responses are extracted to investigate the effects of various parameters of the parallel springs (spring stiffness, stiffness ratio, and included angle) on the bearing performance (journal vibration, minimum film thickness, and maximum film pressure). The bearing system parameters used in the case study are summarized in Table 1.
Table 1.
Parameters of the DPSTPJB system.
3.1. Dynamic Response with and Without Unbalanced Load
The parameters k1 = k2 = 0.5 GN/m and 2α = 70° are used in this section.
Figure 3 shows the dynamic response of the bearing system over ten cycles as it converges from the initial position to the equilibrium position when eu = 0. The bearing system reaches equilibrium within two cycles (0.03 s). At the equilibrium position, the horizontal and vertical displacements of the journal are 20.4 µm and −19.6 µm, respectively. The journal center stabilizes in the fourth quadrant with an attitude angle of 46°, which differs from the traditional TPJBs where the journal’s attitude angle is zero. This is due to the parallel springs providing a resisting moment to the pads, resulting in a certain cross-coupled stiffness in the bearing. Among the pads, pad 4 exhibits the largest tilt angle (0.00405°), largest displacement (10.7 µm), smallest film thickness (32.1 µm), and maximum film pressure (5.32 MPa), indicating that it is the primary load-carrying pad. Pad 3 is the secondary load-carrying pad with radial displacement and maximum pressure slightly lower than those of the primary load-carrying pad. Pads 1 and 2 have minimal tilt angle, displacement, and pressure, as they do not bear the static load but only the preload.
Figure 3.
Dynamic response of the DPSTPJB without unbalanced load: (a) journal displacement response, (b) journal center trajectory, (c) pad tilt angle response, (d) pad displacement response, (e) minimum film thickness response, and (f) maximum film pressure response.
Figure 4 shows the dynamic response of the bearing system over ten cycles as it converges from the initial position to stable vibration when eu = 20 μm. The amplitudes of the journal in the horizontal and vertical directions are nearly identical with peak-to-peak amplitudes of 42.3 µm and 43.4 µm, respectively. The journal center orbit indicates that the journal undergoes synchronous forward precession around the static equilibrium position. All the bearing pads simultaneously experience both tilting and radial vibrations. Among them, pad 4 has the largest tilting amplitude, with a peak-to-peak value of 0.00388°, while pad 3 exhibits the largest radial amplitude, with a peak-to-peak value of 18.6 µm. Pad 2 shows the smallest vibration in both directions. Due to the periodic vibration of the journal and pads, the minimum film thickness and maximum film pressure on each pad fluctuate periodically. The minimum value of film thickness response and the maximum value of pressure response are key parameters for evaluating the hydrodynamic lubrication performance of the dynamically loaded journal bearing. The minimum film thickness and maximum film pressure in the bearing occur on pad 4 with values of 23.2 µm and 9.34 MPa, respectively.
Figure 4.
Dynamic response of the DPSTPJB with unbalanced load: (a) journal displacement response, (b) journal center orbit, (c) pad tilt angle response, (d) pad displacement response, (e) minimum film thickness response, and (f) maximum film pressure response.
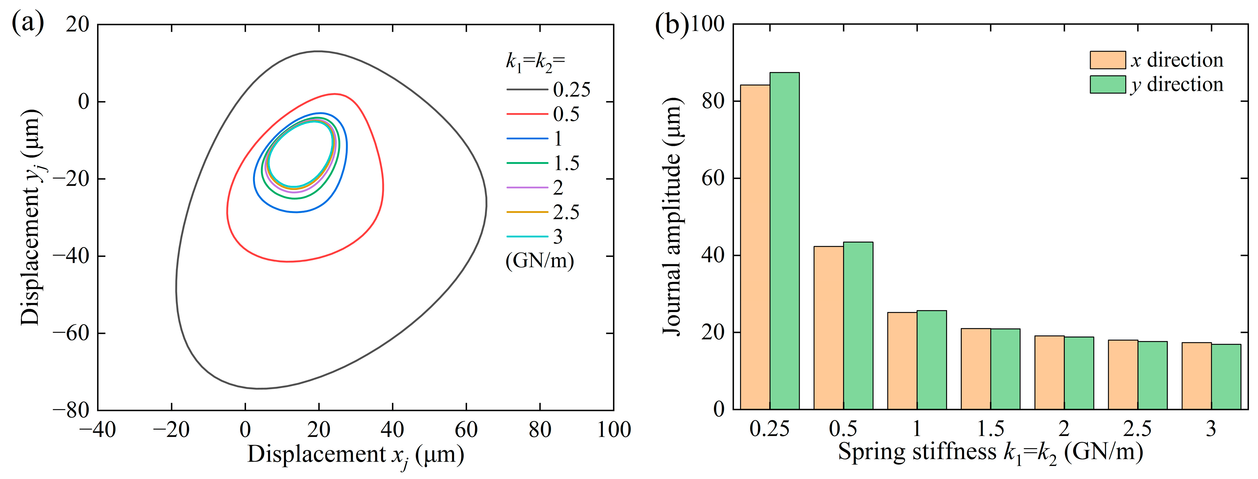
3.2. Effect of Spring Stiffness
The parameter 2α = 70° is used in this section.
The effect of spring stiffness on the journal center orbit and journal amplitude is shown in Figure 5. As the spring stiffness increases, the overall stiffness of the bearing system also increases, leading to a gradual reduction in both the orbit size and journal amplitude. This change is nonlinear and tends to level off as stiffness increases. This occurs because as spring stiffness increases, the elastic support gradually transitions to a more rigid support, enhancing the bearing’s constraint on the journal. Specifically, as spring stiffness increases from 0.25 GN/m to 3 GN/m, the horizontal peak-to-peak amplitude decreases from 84.2 μm to 17.4 μm (−79%), and the vertical peak-to-peak amplitude decreases from 87.4 μm to 16.9 μm (−81%).
Figure 5.
Effect of spring stiffness on (a) journal center orbit and (b) journal amplitude.
The effect of spring stiffness on the minimum film thickness and maximum film pressure on each pad is shown in Figure 6 with the time-domain details provided in Figure 7. It can be observed that when k1 = k2 = 0.25 GN/m, the bearing’s minimum film thickness occurs on pad 1, and the bearing’s maximum film pressure occurs on pad 3. When k1 = k2 ∈ [0.5,3] GN/m, both the minimum film thickness and maximum film pressure in the bearing occur on pad 4. As the spring stiffness increases from 0.25 GN/m to 1 GN/m, the bearing’s minimum film thickness gradually increases. However, when the spring stiffness exceeds 1 GN/m, the minimum film thickness no longer changes significantly, indicating that at higher stiffness values, the bearing’s minimum film thickness becomes less sensitive to changes in spring stiffness. Furthermore, the effect of spring stiffness on the bearing’s maximum film pressure is relatively small with the maximum pressure variation remaining insignificant and always within a range of [9.03,9.36] MPa.
Figure 6.
Effect of spring stiffness on (a) minimum film thickness and (b) maximum film pressure on each pad.
Figure 7.
Effect of spring stiffness on the time domain waveforms of (a) minimum film thickness and (b) maximum film pressure on each pad within two periods.
3.3. Effect of Stiffness Ratio
The parameters k1 + k2 = 1 GN/m and 2α = 70° are used in this section.
The effect of the spring stiffness ratio on the journal center orbit and journal amplitude is shown in Figure 8. The stiffness ratio has a significant effect on the shape of the journal center orbit; as it increases, the journal center orbit gradually becomes more elongated. Additionally, the journal amplitude initially decreases and then increases as the stiffness ratio increases. Specifically, when k1/k2 = 1, the journal amplitude reaches its minimum value with the horizontal and vertical peak-to-peak amplitudes being approximately 42.3 μm and 43.4 μm, respectively. The results indicate that the spring stiffness ratio plays an important role in adjusting journal vibration characteristics. The proper selection of the stiffness ratio can help optimize the dynamic performance of the bearing system.
Figure 8.
Effect of the spring stiffness ratio on (a) journal center orbit and (b) journal amplitude.
The effect of the spring stiffness ratio on the minimum film thickness and maximum film pressure on each pad is shown in Figure 9 with the time-domain details provided in Figure 10. From Figure 9a, it can be observed that the bearing’s minimum film thickness occurs on pad 3 when k1/k2 ∈ [1/16,1/8] and on pad 4 when k1/k2 ∈ [1/4,8]. Overall, as the stiffness ratio increases, the bearing’s minimum film thickness first increases and then decreases. The minimum film thickness reaches its maximum value of 27.8 µm when k1/k2 = 1/4. From Figure 9b, it can be seen that the bearing’s maximum film pressure occurs on pad 3 when k1/k2 ∈ [1/16,1/4] and on pad 4 when k1/k2 ∈ [1/2,8]. Overall, as the stiffness ratio increases, the bearing’s maximum film pressure first decreases and then increases. The maximum film pressure reaches its minimum value of 8.72 MPa when k1/k2 = 1/2. The results show that both large and small stiffness ratios can cause a sharp decrease in the bearing’s minimum film thickness and a sharp increase in the bearing’s maximum film pressure. Therefore, selecting an appropriate spring stiffness ratio is crucial for optimizing the bearing’s hydrodynamic lubrication performance.
Figure 9.
Effect of the spring stiffness ratio on (a) minimum film thickness and (b) maximum film pressure on each pad.
Figure 10.
Effect of the spring stiffness ratio on the time domain waveforms of (a) minimum film thickness and (b) maximum film pressure on each pad within two periods.
3.4. Effect of Angle Between Springs
The parameters k1 = k2 = 0.5 GN/m are used in this section.
The effect of the included angle between the springs on the journal center orbit and journal amplitude is shown in Figure 11. As the angle increases, the journal center orbit gradually expands, and the journal amplitude increases. This occurs because an increase in the angle reduces the combined radial stiffness of the parallel springs, thereby weakening the overall stiffness of the bearing system. When the angle between the springs increases from 10° to 70°, the peak-to-peak amplitude of the journal in the horizontal direction increases from 16.1 μm to 42.3 μm, while the journal amplitude in the vertical direction increases from 16.0 μm to 43.4 μm.
Figure 11.
Effect of the angle between springs on (a) journal center orbit and (b) journal amplitude.
The effect of the included angle between the springs on the minimum film thickness and maximum film pressure on each pad is shown in Figure 12 with the time-domain details provided in Figure 13. It can be observed that the minimum film thickness and maximum film pressure in the bearing occur on pad 4. As the angle increases, the journal center orbit expands outward, causing the minimum film thickness to gradually decrease and the maximum film pressure to gradually increase. Specifically, when the angle increases from 10° to 70°, the bearing’s minimum film thickness decreases from 34.1 μm to 23.2 μm (−32%), while the bearing’s maximum film pressure increases from 7.36 MPa to 9.34 MPa (+27%).
Figure 12.
Effect of the angle between springs on (a) minimum film thickness and (b) maximum film pressure on each pad.
Figure 13.
Effect of the angle between springs on the time domain waveforms of (a) minimum film thickness and (b) maximum film pressure on each pad within two periods.
4. Conclusions
This paper investigates the dynamic and lubrication characteristics of the DPSTPJB under unbalanced journal excitation, revealing the significant influences of spring stiffness, stiffness ratio, and included angle on bearing performance. The main conclusions are summarized as follows:
- The journal whirl center of the DPSTPJB stabilizes in the fourth quadrant with a specific attitude angle. Pad 4 serves as the primary load-carrying pad, while pad 3 acts as the secondary load-carrying component.
- With increasing spring stiffness, the journal center orbit gradually contracts, the journal amplitude progressively decreases, the bearing’s minimum film thickness increases and stabilizes, and the bearing’s maximum film pressure exhibits negligible variation.
- An optimal stiffness ratio exists that minimizes the journal amplitude, maximizes the bearing’s minimum film thickness, and minimizes the bearing’s maximum film pressure. For larger stiffness ratios, both the minimum film thickness and maximum film pressure occur on pad 4. Conversely, these critical parameters manifest on pad 3 when smaller stiffness ratios are employed.
- As the included angle increases, the journal center orbit gradually expands, the attitude angle of the journal whirl center progressively increases, the journal amplitude gradually rises, the bearing’s minimum film thickness continuously decreases, and the bearing’s maximum film pressure steadily increases.
This study provides a theoretical foundation for the optimal design and application of DPSTPJBs. Current limitations lie in the isoviscous hydrodynamic lubrication assumption neglecting thermal effects. Future work will extend the theoretical model to incorporate thermal–fluid–solid coupling effects and conduct experimental validation.
Author Contributions
Conceptualization, Y.J.; methodology, Y.J.; software, Z.W.; validation, X.Z.; formal analysis, X.Z.; investigation, X.Z.; resources, X.Z.; data curation, Z.W.; writing—original draft preparation, Z.W.; writing—review and editing, Y.J.; visualization, Y.J.; supervision, Y.J.; project administration, Y.J.; funding acquisition, Y.J. All authors have read and agreed to the published version of the manuscript.
Funding
This research was funded by the National Natural Science Foundation of China (No. 12202090), the Natural Science Foundation of Liaoning (No. 2023-BS-069), and the Fundamental Research Funds for the Central Universities (No. 3132023116).
Data Availability Statement
The original contributions presented in the study are included in the article; further inquiries can be directed to the corresponding author.
Conflicts of Interest
Author Xuefei Zhao was employed by State Grid Liaoning Electric Power Co., Ltd. The remaining authors declare that the research was conducted in the absence of any commercial or financial relationships that could be construed as a potential conflict of interest.
References
- Rendl, J.; Dyk, S.; Smolík, L. Nonlinear dynamic analysis of a tilting pad journal bearing subjected to pad fluttering. Nonlinear Dyn. 2021, 105, 2133–2156. [Google Scholar] [CrossRef]
- Zhang, F.; Ouyang, W.; Hong, H.L.; Guan, Y.S.; Yuan, X.Y.; Dong, G.N. Experimental study on pad temperature and film thickness of tilting-pad journal bearings with an elastic-pivot pad. Tribol. Int. 2015, 88, 228–235. [Google Scholar] [CrossRef]
- Liu, S.Y.; Xiao, Z.H.; Yan, Z.Y.; Chen, Z.J. Vibration characteristics of rotor system with tilting-pad journal bearing of elastic and damped pivots. J. Cent. South Univ. 2015, 22, 134–140. [Google Scholar] [CrossRef]
- Chen, S.T.; Yang, S.J.; Zhou, Q.; Hou, Y.; Lai, T.W. Numerical study on tilting pad journal gas bearing with variable stiffness springs. J. Mech. Sci. Technol. 2015, 29, 3059–3067. [Google Scholar] [CrossRef]
- Jin, Y.Z.; Chen, F.; Zhang, F.; Yuan, X.Y. Nonlinear dynamic performance of tilting-pad journal bearing with adjustable elastic pivot design. Tribol. Int. 2019, 136, 533–547. [Google Scholar] [CrossRef]
- Huang, G.Y.; Wang, X.J.; Qin, X.; Zhu, L.M.; Yi, S.X. Experimental investigation of dynamic behavior of rotor system with a novel double layers flexible support tilting pad bearing. Adv. Mech. Eng. 2022, 14, 16878132221116482. [Google Scholar] [CrossRef]
- Wu, Y.Y.; Zhang, W.W.; Yi, S.X.; Wang, X.J.; Qin, Y.Y.; Peng, S.X. Theoretical and Experimental Study of Flexible Structure Tilting Pad Bearings Considering Deformation. Lubricants 2024, 12, 284. [Google Scholar] [CrossRef]
- Wang, J.W.; Han, S.C.; Zhang, H.X.; Li, H.; Wang, P.; Feng, K. Experimental and theoretical investigation on rotodynamic characterization of porous tilting pad bearings with hermetic squeeze film dampers. Mech. Syst. Signal Proc. 2024, 218, 111548. [Google Scholar] [CrossRef]
- Armentrout, R.W.; Paquette, D.J. Rotordynamic Characteristics of Flexure-Pivot Tilting-Pad Journal Bearings. Tribol. Trans. 1993, 36, 443–451. [Google Scholar] [CrossRef]
- Suh, J.; Palazzolo, A.; Choi, Y.S. Numerical Modeling and Analysis of Flexure-Pivot Tilting-Pad Bearing. ASME J. Tribol. 2017, 139, 051704. [Google Scholar] [CrossRef]
- Plantegenet, T.; Arghir, M.; Jolly, P. Experimental analysis of the thermal unbalance effect of a flexible rotor supported by a flexure pivot tilting pad bearing. Mech. Syst. Signal Proc. 2020, 145, 106953. [Google Scholar] [CrossRef]
- Koondilogpiboon, N.; Inoue, T. Nonlinear Vibration Analysis of a Flexible Rotor Supported by a Flexure Pivot Tilting Pad Journal Bearing in Comparison to a Fixed Profile Journal Bearing With Experimental Verification. ASME J. Eng. Gas. Turbines Power 2021, 143, 091007. [Google Scholar] [CrossRef]
- San Andrés, L.; Tao, Y.J. The Role of Pivot Stiffness on the Dynamic Force Coefficients of Tilting Pad Journal Bearings. ASME J. Eng. Gas. Turbines Power 2013, 135, 112505. [Google Scholar] [CrossRef]
- Dang, P.V.; Chatterton, S.; Pennacchi, P. The Effect of the Pivot Stiffness on the Performances of Five-Pad Tilting Pad Bearings. Lubricants 2019, 7, 61. [Google Scholar] [CrossRef]
- Zhang, F.; Yin, P.; Liu, Y.Y.; Wang, J.M. Numerical and experimental study on dynamic characteristics of tilting-pad journal bearings considering pivot stiffness in a vertical rotor system. Ind. Lubr. Tribol. 2021, 73, 1275–1285. [Google Scholar] [CrossRef]
- Shin, D.; Palazzolo, A.B. Tilting Pad Bearing Pivot Friction and Design Effects on Thermal Bow-Induced Rotor Vibration. ASME J. Tribol. 2021, 143, 121804. [Google Scholar] [CrossRef]
- Ciulli, E.; Forte, P.; Antonelli, F.; Minelli, R.; Panara, D. Tilting Pad Journal Bearing Ball and Socket Pivots: Experimental Determination of Stiffness. Machines 2022, 10, 81. [Google Scholar] [CrossRef]
- Jin, Y.Z.; Niu, Q.L.; Qu, Y.P.; Yuan, X.Y. Pivot Stiffness Effect on Transient Dynamic Characteristic of Tilting Pad Journal Bearing-Rotor System Passing through Critical Speed. Lubricants 2023, 11, 125. [Google Scholar] [CrossRef]
- Peixoto, T.F.; Tuckmantel, F.W.D.; Daniel, G.B.; Cavalca, K.L. Effect of direct injection and pivot stiffness on the static performance parameters of tilting pad journal bearings. Proc. Inst. Mech. Eng. Part J J. Eng. Tribol. 2023, 237, 1487–1510. [Google Scholar] [CrossRef]
- Wagner, L.F. Tilting-Pad Bearings-The Contact Flexibility of the Pivot. Lubricants 2023, 11, 189. [Google Scholar] [CrossRef]
- Betti, A.; Forte, P.; Panara, D.; Ciulli, E. Investigation on Pivot Rolling Motion Effect on the Behavior of Rocker Back Tilting Pad Journal Bearings. Appl. Sci. 2023, 13, 5563. [Google Scholar] [CrossRef]
- Tofighi-Niaki, E.; Asgharifard-Sharabiani, P.; Ahmadian, H. Nonlinear dynamics of a flexible rotor on tilting pad journal bearings experiencing rub-impact. Nonlinear Dyn. 2018, 94, 2937–2956. [Google Scholar] [CrossRef]
- Kim, S.; Palazzolo, A.B. Pad-Pivot Friction Effect on Nonlinear Response of a Rotor Supported by Tilting-Pad Journal Bearings. ASME J. Tribol. 2019, 141, 091701. [Google Scholar] [CrossRef]
- Ciulli, E.; Forte, P. Nonlinear Response of Tilting Pad Journal Bearings to Harmonic Excitation. Machines 2019, 7, 43. [Google Scholar] [CrossRef]
- Jin, Y.Z.; Chen, F.; Xu, J.M.; Yuan, X.Y. Nonlinear dynamic analysis of low viscosity fluid-lubricated tilting-pad journal bearing for different design parameters. Friction 2020, 8, 930–944. [Google Scholar] [CrossRef]
- Li, Q.; Tang, X.H.; Zhang, S.; Wang, Y.J.; Xu, W.W.; Wang, Z.B. Dynamic Response Analysis of Tilting Pad Journal Bearing Considering Fluid-Structure Interaction. J. Appl. Fluid Mech. 2021, 14, 1827–1837. [Google Scholar]
- Hojjati, M.; Navazi, H.M.; Haddadpour, H. Nonlinear vibrations of a rotor on nonlinear tilting-pad-journal-bearings. J. Braz. Soc. Mech. Sci. Eng. 2021, 43, 168. [Google Scholar] [CrossRef]
- Dyk, S.; Rendl, J.; Bulín, R.; Smolík, L. Influence of detailed ball-and-socket modelling on tilting pad journal bearings dynamics. Nonlinear Dyn. 2023, 111, 8155–8171. [Google Scholar] [CrossRef]
- Cao, Z.W.; Guo, H.L.; Cheng, Z.Y.; Men, R.; Zhang, Z.Y.; Wang, T.Y. Nonlinear dynamics characteristics of a tilting pad journal bearing supported turbocharger. Nonlinear Dyn. 2024, 112, 16941–16961. [Google Scholar] [CrossRef]
- Wang, L.W.; Xiang, G.; Han, Y.F.; Yang, T.Y.; Zhou, G.W.; Wang, J.X. A mixed visco-hyperelastic hydrodynamic lubrication model for water-lubricated rubber bearings. Int. J. Mech. Sci. 2025, 286, 109887. [Google Scholar] [CrossRef]
- Pan, F.P.; Ouyang, W.; Ning, C.X.; Dong, X.W. Wide-area film thickness measurement method of water-lubricated polymer bearing based on ultrasonic reflection coefficient phase. Measurement 2025, 242, 116121. [Google Scholar] [CrossRef]
- Xiang, G.; Goltsberg, R.; Etsion, I. Role of intermolecular potential in adhesive wear behaviors for elastic-plastic spherical microcontacts. Tribol. Int. 2024, 199, 110054. [Google Scholar] [CrossRef]
- Zhang, X.Q.; Hu, F.; Ouyang, W.; Ning, C.X.; Sheng, C.X. An Ultrasound-Based In Situ Monitoring for Water-Lubricated Thrust Bearing Wear. IEEE Sens. J. 2025, 25, 2921–2933. [Google Scholar] [CrossRef]
- Song, C.S.; Zhang, R.H.; Zhou, Y.; Tan, J.J.; Zhu, C.C. Transient analysis of non-uniform tilting-pad journal bearing for wind turbine main shaft under dynamical loading. Mech. Mach. Theory 2024, 203, 105792. [Google Scholar] [CrossRef]
- Liu, Q.L.; Ouyang, W.; Li, R.Q.; Yang, J. Experimental exploration on the nonlinear dynamic behavior of marine propeller shaft-bearing system. Ocean Eng. 2024, 310, 118595. [Google Scholar] [CrossRef]
- Yang, T.Y.; Xiang, G.; Cai, J.L.; Wang, L.W.; Lin, X.; Wang, J.X.; Zhou, G.W. Five-DOF nonlinear tribo-dynamic analysis for coupled bearings during start-up. Int. J. Mech. Sci. 2024, 269, 109068. [Google Scholar] [CrossRef]
- Fillon, M.; Desbordes, H.; Frene, J.; Wai, C.C.H. A global approach of thermal effects including pad deformations in tilting-pad journal bearings submitted to unbalance load. ASME J. Tribol. 1996, 118, 169–174. [Google Scholar] [CrossRef]
Disclaimer/Publisher’s Note: The statements, opinions and data contained in all publications are solely those of the individual author(s) and contributor(s) and not of MDPI and/or the editor(s). MDPI and/or the editor(s) disclaim responsibility for any injury to people or property resulting from any ideas, methods, instructions or products referred to in the content. |
© 2025 by the authors. Licensee MDPI, Basel, Switzerland. This article is an open access article distributed under the terms and conditions of the Creative Commons Attribution (CC BY) license (https://creativecommons.org/licenses/by/4.0/).













