Abstract
This study investigates the interfacial behavior of four phosphate ester ionic liquids (ILs) with contrasting cation hydrophobicity under humid environments. Through tribological tests, surface analysis, and molecular dynamics simulations, we reveal how moisture absorption governs lubricant film organization at metal interfaces. Aromatic ILs (imidazolium/pyridinium cations) exhibit significant degradation in lubrication after moisture exposure, with friction coefficients increasing by 0.03–0.05 and wear volumes scaling with humidity. This deterioration arises from competitive water–cation adsorption, where hydrogen bonding disrupts Fe-cation coordination bonds and destabilizes the protective film. In contrast, aliphatic ILs (tetraalkylammonium/phosphonium cations) maintain robust tribological performance. Their alkyl chains spatially confine water to outer adsorption layers (>17 Å from the surface), preserving a stable core lubricating film (~14 Å thick). Molecular dynamics simulations confirm that water co-adsorbs with aromatic cations (RDF peak: 2.5 Å), weakening interfacial interactions, while aliphatic ILs minimize cation–water affinity (RDF peak: 4 Å). These findings establish cation hydrophobicity as a critical design parameter for humidity-resistant lubricants, providing fundamental insights into water-mediated interfacial phenomena in complex fluid systems.
1. Introduction
Ionic liquids (ILs) have gained significant attention as a new generation of advanced lubricants due to their unique potential for addressing extreme operating conditions in modern industries, including high loads, wide temperature ranges, and vacuum environments [1]. With sectors such as advanced equipment manufacturing, aerospace, and new energy imposing increasingly demanding requirements on lubricant performance, traditional mineral oils and synthetic lubricants are progressively approaching their performance limits in terms of volatility, thermal stability, and environmental adaptability. ILs, defined as molten salts composed entirely of ions with melting points typically below 100 °C, offer negligible volatility, exceptional thermal stability, wide liquid ranges, and tunable physicochemical properties, thereby presenting innovative pathways for lubrication technology advancement under extreme conditions [2,3,4].
A fundamental characteristic of ILs is their modular nature. Through rational combination of anions and cations, precise molecular design can be achieved to control boundary lubrication mechanisms, including interfacial adsorption behavior, film-forming characteristics, anti-wear performance, and surface passivation capability [5,6,7,8]. This design flexibility, analogous to a “molecular Lego” approach, enables tailoring of properties such as viscosity, hydrophobicity, and surface affinity to meet specific application requirements. Our study leverages this fundamental principle by systematically selecting different ion pairs to investigate structure–performance relationships in tribological applications.
However, a critical challenge impeding widespread industrial implementation of ILs is their hygroscopicity, which compromises reliability in humid environments. Most ILs, particularly those containing hydrophilic ions (e.g., imidazolium cations, [BF4]− anions), rapidly absorb atmospheric moisture, leading to viscosity reduction, ion hydrolysis, and corrosion of metal interfaces [9,10,11]. For instance, the conventional IL [BMIM] [PF6], undergoes hydrolysis in humid air, releases corrosive HF and damages steel surfaces [12]. Consequently, developing humidity-resistant IL systems has become paramount for advancing their industrial adoption.
Recent investigations have highlighted the crucial role of cation architecture in regulating IL hygroscopicity and tribological performance [13,14]. Imidazolium facilitates water penetration through strong hydrogen bonding interactions, accelerating lubricating film failure [15]. In contrast, aliphatic cations (e.g., tetraalkylammonium) effectively impede water molecule intrusion into the interfacial adsorption layer via steric effects created by alkyl chains, significantly enhancing corrosion resistance and film stability [16,17]. Despite these advances, the nanoscale distribution of water molecules within IL adsorption layers and its impact on interfacial structure evolution remain inadequately understood. Key unanswered questions include whether water molecules penetrate the primary adsorption layer at metal interfaces and how their spatial organization is influenced by cation hydrophilicity/hydrophobicity.
This study systematically investigates humidity-induced restructuring mechanisms of IL lubricating films through an integrated approach combining interfacial chemical analysis, tribological testing, and molecular dynamics (MD) simulations. We examine four phosphate ester-based ILs: [BMIM] [DBP] (1-butyl-3-methylimidazolium dibutyl phosphate) and [Bpy] [DBP] (N-butylpyridinium dibutyl phosphate) as representatives with aromatic cations, alongside [N4444] [DBP] (tetrabutylammonium dibutyl phosphate) and [P4444] [DBP] (tetrabutylphosphonium dibutyl phosphate) as representatives with aliphatic cations. Through surface energy measurements, XPS interface analysis, and MD simulations, we address three fundamental scientific aspects: (i) the disruption mechanism of interfacial adsorption structures mediated by hydrogen bonding between water molecules and cations; (ii) the dynamic process through which aliphatic cations protect critical adsorption sites via spatial exclusion effects; and (iii) the evolution of film failure modes under synergistic temperature–humidity influences. This work establishes crucial connections between molecular-level interactions and macroscopic lubrication performance, providing theoretical foundations and novel strategies for designing ILs with enhanced stability for humid industrial environments.
2. Materials and Methods
2.1. Materials
[BMIM] [DBP], [By] [DBP], [N4444] [DBP], and [P4444] [DBP], as detailed in Table 1, were sourced from the Center for Green Chemistry and Catalysis, LICP, CAS (Lanzhou, China). Prior to experimentation, the ILs were placed in a P2O5 vacuum drying box and maintained at a constant temperature of 50 °C for 96 h to eliminate any residual moisture in the samples. The water used in the experiments was laboratory-made deionized water.
Table 1.
The structure of organic phosphate ILs.
2.2. Hygroscopic Process
To ensure that the hygroscopic behavior of ILs reaches phase equilibrium, an isopiestic method is employed. Constant temperature and humidity equipment is utilized to control the environmental conditions precisely, allowing the ILs to absorb moisture under closely monitored temperature and humidity levels. The ILs are placed in a constant temperature and humidity chamber, set at 25 °C, under varying humidity levels (50% RH, 60% RH, 70% RH, 80% RH, 90% RH). Their masses are measured every 12 h until no further increase is observed. Subsequently, the water content in ILs can be calculated by following Equation (1):
where mt and m0 represent the mass of the ILs after and before water absorption, respectively.
2.3. Physicochemical Properties Characterization
The viscosity of ionic liquids was measured using a calibrated Cannon-Fenske type capillary viscometer following standard procedures. The viscometer was carefully loaded with the sample and immersed in a thermostated water bath (Julabo F12, temperature stability ±0.01 °C) for at least 30 min to ensure thermal equilibrium. Measurements were performed by timing the flow of liquid between the upper and lower calibration marks of the viscometer using a digital stopwatch (accuracy ±0.01 s). Each measurement was repeated five times, and the average flow time was used for viscosity calculations. The kinematic viscosity (ν) was calculated using Equation (2):
where K is the viscometer constant and t is the flow time in seconds.
The surface tension of ILs before and after water absorption was calculated by ring detachment method with surface tension meter (Krüss K100, Hamburg , Germany). The contact angles and surface energy were evaluated by a DSA 10 video measuring devices (Krüss, Hamburg, Germany). Through the contact angle on the polished steel (AISI 52100, 650–700 HV) surface, the spreading coefficient (S) of steel surface were estimated by the Young-Dupré Equation (3):
where
is the total surface tension of model liquid,
is contact angles of ionic liquids on steel surface.
2.4. Lubricating Properties Characterization
The tribological properties of ILs before and after hygroscopic exposure were analyzed using an Optimol SRV-IV micro-dynamic friction and wear testing machine (Munich, Germany). Prior to initiating the experiment, approximately 20 μL of the test sample was applied between the friction pair and the substrate. The experimental setup employed a ball-type mode, where the upper ball, made of AISI 52100 bearing steel, measures 10 mm in diameter and has a hardness ranging from 750 to 800 HV. The lower block, also made of AISI 52100 bearing steel, possesses a hardness of 650 to 700 HV and dimensions of ϕ24.9 × 7.9 mm. During the friction testing, the load was set at 200 N, with a frequency of 25 Hz and an amplitude of 1 mm.
The wear volume (WV) generated through friction was quantified using a non-contact 3D surface profiler (RECT, SMT-200, Los Angeles, CA, USA). High-resolution 3D surface profiles were acquired via white light interferometry using a 50× Mirau objective. The wear scar morphologies were obtained using a reflected light metallographic microscope (Olympus BX51M, Tokyo, Japan) equipped with 80× and 500× long-working-distance objectives, allowing for both macroscopic scar profiling and microscopic surface feature examination. Digital images were captured using an integrated CCD camera (Pixelink PL-B742, Ottawa, ON, Canada) under uniform bright-field illumination conditions. The morphology, surface elements, and compounds were analyzed using optical microscopy, X-ray photoelectron spectroscopy (XPS, PHI-5702, Chanhassen, MN, USA), and additional surface molecular techniques. XPS measurements were performed with a monochromatic Al Kα X-ray source (hν = 1486.6 eV). Prior to analysis, all samples were subjected to surface cleaning via argon ion sputtering (2 keV, 1 μA/cm2, 120 s). During measurements, the base pressure in the analysis chamber was maintained below 3 × 10−8 Torr, with an operating pressure kept under 5 × 10−8 Torr. Energy calibration was referenced to the adventitious carbon C1s peak (C-C/C-H, 284.8 eV), with charge compensation achieved using a low-energy electron flood gun (1.5 eV). High-resolution spectra were acquired with a pass energy of 69 eV and an energy step size of 0.125 eV, with each sample scanned three times to improve signal-to-noise ratio. Data processing was performed using Avantage software 6.9.0, employing Shirley background subtraction and Voigt function peak fitting (Gaussian-Lorentzian mix ratio of 70:30).
2.5. Molecular Dynamics Simulations
We conducted a comprehensive study of the adsorption structure of [BMIM] [DBP] and [N4444] [DBP] on the Fe (001) model surface under various conditions, both in the absence and presence of water molecules, using molecular dynamics simulations. Initially, 160 [BMIM] [DBP] molecules were systematically arranged on the Fe (001) surface to establish the [BMIM] [DBP]/Fe (001) model. A similar arrangement was employed with 160 [N4444] [DBP] molecules to construct the [N4444] [DBP]/Fe (001) model. To more accurately simulate real-world scenarios, we incorporated 160 water molecules into each system, combined with 160 [BMIM] [DBP] and 160 [N4444] [DBP] molecules, respectively, resulting in the [BMIM] [DBP]-H2O/Fe (001) and [N4444] [DBP]-H2O/Fe (001) models.
Following the initial setup, each model system underwent an energy minimization process to rectify any steric overlaps or geometric irregularities that might affect the accuracy of the simulations. Subsequently, annealing was conducted using the NVT ensemble, involving five cycles of temperature variations from 500 K to 300 K and back to 500 K, with increments of 5 K per cycle. Each annealing cycle lasted for 100 ps. After annealing, a 500 ps NVT molecular dynamics simulation at 300 K was performed to observe the dynamic behavior and interactions within each system. Data were collected for subsequent statistical analyses at a time step of 1.0 ps. Throughout the simulation process, the Fe (001) surface was maintained in a fixed position to more accurately replicate experimental conditions.
For the molecular dynamics simulations, the Forcite module and COMPASS forcefield from Materials Studio were utilized, recognized for their precision and reliability in simulating molecular systems [18,19]. To effectively capture the electrostatic and van der Waals interactions within the systems, the Particle–Particle Particle–Mesh (PPPM) summation method was employed, complemented by atom-based summation with a cutoff distance of 15.5 Å. The molecular dynamics simulations were conducted with a time step of 1.0 fs, and temperature control was managed using the Nosé–Hoover thermostat [20]. The integration of equations of motion was performed using the Verlet velocity method, noted for its stability and accuracy.
3. Results
3.1. Physicochemical Properties
Figure 1a illustrates the water content of [BMIM] [DBP], [By] [DBP], [N4444] [DBP], and [P4444] [DBP] at 25 °C under varying humidity levels (50%, 60%, 70%, 80%, and 90% RH) post water absorption. It is observed that the water content in all ILs escalates with increasing humidity, primarily due to phase equilibrium between the ILs with higher water content and water vapor at elevated humidity levels. Furthermore, the sequence of water content in the ILs is [BMIM] [DBP] > [By] [DBP] > [N4444] [DBP] > [P4444] [DBP]. It is important to note that the classification of ILs as ‘hydrophobic’ or ‘hydrophilic’ is often relative. While the aliphatic-cation ILs ([N4444] [DBP] and [P4444] [DBP]) investigated herein still absorb a measurable amount of water, their uptake is significantly lower than that of the aromatic-cation ILs ([BMIM] [DBP] and [By] [DBP]), as shown in Figure 1a. This stark contrast in hygroscopicity stems from the fundamental difference in cation structure: the aromatic cations (imidazolium, pyridinium) possess strong hydrogen-bond accepting sites (e.g., the C2-H group) that interact readily with water molecules, whereas the aliphatic cations (tetraalkylammonium, tetraalkylphosphonium) lack such sites and primarily exhibit steric shielding through their alkyl chains [21]. Therefore, in line with the reviewer’s suggestion and to be chemically more precise, we categorize the ILs in this study based on their cation core structure (aromatic vs. aliphatic) rather than an absolute ‘hydrophobic/hydrophilic’ dichotomy [22].
Figure 1.
The water content (a) and viscosity (b) of [BMIM] [DBP], [By] [DBP], [N4444] [DBP], [P4444] [DBP] after water absorption at 25 °C, different humidity (50%, 60%, 70%, 80%, 90% RH).
3.2. Effect of Hygroscopic Behavior on Viscosity
The hygroscopic behavior of ILs significantly impacts their viscosity, which in turn influences their tribological properties [23]. Comprehensive characterization of water-content-dependent viscous behavior in hygroscopic ionic liquids therefore emerges as an essential research requirement. Figure 1b presents the comparative viscosity profiles of ionic liquids (ILs) under anhydrous and hygroscopic conditions. The data reveal a significant viscosity reduction correlated with increasing relative humidity. This phenomenon originates from water-mediated disruption of cation-anion electrostatic networks, where absorbed H2O molecules act as charge screens, effectively weakening Coulombic interactions and thereby lowering the overall viscosity. [N4444] [DBP] and [P4444] [DBP] maintain higher viscosities both before and after moisture absorption, attributed to their higher symmetry, larger molecular volume, easier accumulation, and stronger ion interactions. However, the disruption caused by absorbed water molecules during the moisture absorption process leads to a substantial decrease in their viscosities, owing to poor symmetry and relatively loose internal structures [24].
3.3. Effect of Hygroscopic Behavior on Surface Performance
As shown in Table 2, the surface characteristics of four phosphate ester ionic liquids on steel substrates exhibit markedly different behaviors under varying humidity conditions. The aromatic imidazolium-based ILs ([BMIM] [DBP] and [By] [DBP]) show a substantial increase in total surface energy with rising humidity. For instance, the surface energy of [BMIM] [DBP] increases by nearly 16% when the humidity rises from 0% to 90%. This pronounced change results in progressively more negative spreading coefficients (decreasing from −0.90 to −8.60 mJ/m2 for [BMIM] [DBP]), indicating increased interfacial tension and compromised wettability. Water molecules preferentially interact with the polar cationic groups, thereby weakening direct cation adsorption onto the steel surface and disrupting the stability of the boundary lubrication layer.
Table 2.
The of spreading coefficient (S) organic phosphate ILs with the increase in humidity.
In contrast, the aliphatic quaternary ammonium ([N4444] [DBP]) and phosphonium ([P4444] [DBP]) ILs maintain relatively stable surface energy profiles under humid conditions, with increases of less than 8% over the entire humidity range. The bulky alkyl chains of these cations create effective spatial shielding that sterically hinders water penetration. Notably, their spreading coefficients demonstrate a clear trend of improvement with increasing humidity (e.g., [P4444] [DBP] changing from −1.16 to −10.53 mJ/m2), reflecting enhanced interfacial compatibility and preserved lubricant film integrity. This distinct behavior underscores the crucial role of cation hydrophobicity in maintaining interfacial stability and lubrication performance in humid environments.
3.4. Tribological Properties
The impact of water content on the tribological performance of ILs was investigated by examining the friction coefficients (COFs) before and after water absorption, as illustrated in Figure 2. The pure ILs of [BMIM] [DBP] and [By] [DBP] exhibit outstanding lubrication performance on steel surfaces (COF = 0.10 and 0.08, respectively), which is fundamentally attributed to the adsorption interactions between cations and the metal interface (Figure 2a,b). The imidazolium/pyridinium cations rapidly form a physically adsorbed layer via Van der Waals forces, while chemical adsorption is achieved through electronic interactions between the polar groups of the cations and iron surface atoms: the π electrons of the imidazolium ring coordinate with Fe 3d orbitals to form coordination bonds and the lone pair electrons of the pyridinium nitrogen directly participate in Fe-N covalent bonding [25]. [BMIM] [DBP] and [By] [DBP] exhibit strong adsorption on the steel surface [26]. The interaction between the imidazolium and pyridine cations with the iron surface results in the formation of both physical and chemical adsorption layers, and potentially coordinate bonds as well. The bonds enhance the adhesion of imidazolium cations to the iron surface, creating a dense protective film, thereby maintaining low COFs for pure ILs [27]. The DBP− anions facilitate the ordered arrangement of cations through steric hindrance effects, ultimately forming a compact composite adsorption film with a thickness.
Figure 2.
Friction coefficients of [BMIM] [DBP] (a), [By] [DBP] (b), [N4444] [DBP] (c), [P4444] [DBP] (d) before and after water absorption at room temperature and different RH (the friction condition: 25 Hz and 200 N).
After moisture absorption, the COFs of the ILs increase (ΔCOF ≈ 0.03–0.05) with heightened fluctuations (standard deviation increased by 50–80%), primarily attributed to the threefold disruption of the adsorption layer by water molecules: Water molecules form a robust hydrogen-bonding network with the polar groups of the cations, leading to cation solvation and a reduction in the effective surface adsorption concentration [28,29]. Water preferentially occupies high-energy sites on the steel surface (e.g., grain boundaries, defects) with higher adsorption energy compared to the physical adsorption energy of cations, significantly suppressing cation coordination bond formation [15]. Water penetration disrupts the continuity of the adsorption layer, causing localized film fracture during shear.
The tribological behavior of aliphatic ILs ([N4444] [DBP] and [P4444] [DBP]) exhibits a distinct moisture response compared to aromatic ILs. While pure samples demonstrate stable friction coefficients (COFs = 0.10–0.12), moisture absorption leads to an anomalous COF reduction (Δ = −0.04) accompanied by prolonged running-in periods. This counterintuitive phenomenon stems from water-induced modulation of adsorption-rheology coupling effect. The tetra-alkyl cations ([N4444]+/[P4444]+) lack strong polar groups (e.g., π-electrons or lone pairs), resulting in weak van der Waals adsorption [30]. Upon moisture absorption, an anomalous reduction in COFs (Δ = −0.04) is observed, accompanied by prolonged running-in periods. This counterintuitive behavior arises from water-induced modulation of adsorption-rheology coupling effects: Trace water disrupts the Coulombic network within the ILs. This facilitates a transition to hydrodynamic lubrication, lowering shear resistance. Water molecules polarize ion pairs, weakening electrostatic interactions, thereby enhancing IL compressibility and fluidity under boundary lubrication conditions [31]. While water preferentially partitions into the bulk phase, it marginally destabilizes the physical adsorption layer and increases film thickness fluctuations.
Figure 3 presents the WV of ILs before and after moisture absorption. It is observed that the WVs of [BMIM] [DBP] and [By] [DBP] increase with rising air humidity. Extensive moisture absorption can lead to critical structural damage in ILs, which results in elevated friction coefficients and wear rates. These changes ultimately affect the tribological performance of the system. However, the WVs for [N4444] [DBP] and [P4444] [DBP] do not exhibit significant variation before and after moisture absorption, regardless of the increase in humidity. Due to their low water content, the introduction of water molecules minimally impacts the lubricating protective film of these ILs. Figure 3 reveals the humidity-dependent wear responses between aromatic and aliphatic ILs. For aromatic ILs ([BMIM] [DBP] and [By] [DBP]), the WV increases proportionally with air humidity. Water molecules displace chemisorbed cations at the steel interface, disrupting the protective film’s integrity and unstable COFs promote wear. However, the WVs for [N4444] [DBP] and [P4444] [DBP] do not exhibit significant variation before and after moisture absorption, regardless of the increase in humidity. Due to their low water content, the introduction of water molecules minimally impacts the lubricating protective film of these ILs.
Figure 3.
The wear volumes lubricated by [BMIM] [DBP] (a), [By] [DBP] (b), [N4444] [DBP] (c), [P4444] [DBP] (d) before and after water absorption at 25 °C and different RH (the friction condition: 25 Hz and 200 N).
To investigate the impact of temperature on the lubricating performance of mixtures, the COFs of ILs before and after moisture absorption were studied at various temperatures (25 °C, 50 °C, 75 °C, and 100 °C). As depicted in Figure 4a, the COFs for [BMIM] [DBP], both in its pure state and after moisture absorption, increase with rising temperature. Under low-temperature operating conditions (25 °C, 50 °C and 75 °C), moisture-absorbed ILs exhibit higher friction coefficients compared to their pure counterparts. However, under high-temperature operating conditions, moisture-absorbed ILs exhibit lower friction coefficients compared to their pure counterparts. At elevated temperatures, the average distance between IL molecules and water molecules increases, making the formation and maintenance of hydrogen bonds more challenging. The strength of the adsorption film formed by the moisture-absorbed ILs on the steel surface remains comparable to that of the pure ILs. Additionally, the desorption of H2O from the steel surface contributes to the stabilization of the lubricating films.
Figure 4.
The COFs by [BMIM] [DBP] (a), [By] [DBP] (b), [N4444] [DBP] (c), [P4444] [DBP] (d) before and after water absorption at different temperature and different RH (the friction condition: 25 Hz and 200 N).
For [N4444] [DBP] and [P4444] [DBP], the COFs increase significantly with temperature (Figure 4c,d). At high temperatures, enhanced molecular activity can lead to a deterioration in film stability. The elevated thermal energy may weaken intermolecular interactions within the film, causing structural loosening and potential local damage or delamination. Notably, the moisture-absorbed ILs exhibit lower COFs than their pure counterparts at high temperatures, suggesting that the change in their tribological performance is primarily associated with temperature-induced viscosity variations. This behavior highlights the critical role of molecular interactions and film stability in determining the temperature-dependent lubrication performance of ILs, particularly under humid conditions.
It is noteworthy that during the 1800 s friction tests conducted at elevated temperatures (up to 100 °C), the moisture absorbed in the ionic liquids may partially evaporate, particularly above 60–80 °C. This evaporation could alter the local composition and structure of the lubricating film, especially for aromatic ILs such as [BMIM] [DBP] and [By] [DBP], which exhibit significant water uptake. The observed reduction in friction coefficients for hygroscopic ILs at 100 °C (Figure S7) may be partially attributed to the desorption of water molecules from the steel surface, which releases interfacial energy and transiently stabilizes the lubricating film after the disruption of hydrogen bonds. For aliphatic ILs, the minimal initial water content and their structural resistance to water penetration likely mitigate any substantial evaporation-induced effects. Therefore, while the trends in Figure 4 remain valid in illustrating the temperature-dependent behavior, the potential partial loss of moisture during testing should be considered when interpreting the high-temperature tribological performance, particularly in systems where water plays a competitive or disruptive role in interfacial adsorption.
3.5. Surface Analysis
Figure 5 displays representative optical micrographs comparing wear scar morphologies on steel surfaces lubricated by [BMIM] [DBP], [By] [DBP], [N4444] [DBP], and [P4444] [DBP] under both anhydrous and hygroscopic conditions at 25 °C. Under dry conditions, the imidazolium- and pyridinium-based ILs ([BMIM] [DBP] and [By] [DBP]) produce relatively narrow wear tracks. These scars exhibit well-defined, shallow furrows characteristic of mild abrasive wear mechanisms. The observed morphology correlates with their effective lubrication performance in moisture-free environments, as reflected in their low baseline COFs. These morphological characteristics are indicative of mild abrasive wear mechanisms and demonstrate the effective boundary lubrication performance of these ILs in moisture-free environments. The narrow, uniform wear scar profiles particularly highlight the excellent load-carrying capacity and surface protection provided by these ionic liquids when maintained under anhydrous conditions. In contrast to their anhydrous performance, steel surfaces lubricated by hygroscopic [BMIM] [DBP] and [By] [DBP] exhibit significantly broader wear scars with pronounced, deeper furrows. This morphological degradation is directly correlated with the measured increase in WV and elevation in COFs, as quantified in our tribological tests. The wear scars lubricated by both hygroscopic and pure [N4444] [DBP] and [P4444] [DBP] are small, with narrow furrows due to the lower COFs. The results suggest that the abrasion resistance of [BMIM] [DBP] and [By] [DBP] is reduced following hygroscopic behavior. Conversely, for [N4444] [DBP] and [P4444] [DBP], water molecules have little significant impact on their wear properties.
Figure 5.
The wear scar lubricated by pure and hygroscopic [BMIM] [DBP] (a,b), [By] [DBP] (c,d), [N4444] [DBP] (e,f), [P4444] [DBP] (g,h) at 70% RH optical micrographs (×500 a1–h1).
The comparative analysis reveals a clear dichotomy in the humidity-dependent tribological behavior of the studied ILs. Quaternary ammonium/phosphonium-based ILs ([N4444] [DBP] and [P4444] [DBP]) demonstrate exceptional environmental stability, maintaining consistent wear track morphology and stable frictional properties regardless of humidity exposure. This remarkable performance stems from their aliphatic cation structures that effectively suppress water penetration and preserve lubricant film integrity.
To elucidate the underlying lubrication mechanisms, we performed XPS to systematically analyze the elemental composition and chemical states of worn steel surfaces. Figure 6 and Figure S1 presents high-resolution XPS spectra of surfaces lubricated with [BMIM] [DBP] under both anhydrous and 70%RH conditions. The Fe 2p spectrum (Figure 6) exhibits distinct peaks, corresponding to Fe3+ (Fe2O3) and Fe2+ (FeO), respectively [7]. Notably, we observe a characteristic peak of FePO4 which is unequivocally attributed to Fe-O-P bonding configurations. This assignment is further corroborated by the corresponding P 2p3/2 signal at 133.2 eV (Figure 6) [8]. The N 1s spectrum (Figure 6) reveals significant chemical transformations, with peaks at 402.0 eV and 399.8 eV. The higher binding energy component (402.0 eV) clearly indicates the formation of nitrogen oxides, while the peak at 399.8 eV is characteristic of amide nitrogen species. These findings provide compelling evidence for the oxidative degradation of imidazolium cations during frictional contact, resulting in the generation of both nitrogen-oxygen compounds and amide derivatives. This degradation pathway likely contributes to the observed tribological behavior under different environmental conditions. Comparative analysis of the N 1s XPS spectra reveals that the wear tracks lubricated with moisture-absorbed ionic liquids demonstrate substantially increased peak intensities at both: (i) the higher binding energy region, indicative of nitrogen oxidation products, and (ii) the lower binding energy region (399–400 eV), associated with amine/amide species, when contrasted with surfaces lubricated by pure ILs. The XPS N1s peak for the hygroscopic IL appears at 399.8 eV, indicating the presence of nitrogen oxides. This peak suggests that the introduction of water molecules facilitates the oxidation of imidazolium cations [32]. Consequently, the IL post-moisture absorption exhibits diminished film-forming stability and inferior tribological properties on the steel surface. The XPS elemental maps of the wear scar surfaces before and after moisture absorption are presented in Figures S2 and S5, which also support the above analysis.
Figure 6.
XPS spectra of lubricated by [BMIM] [DBP] before (1) and after absorbing moisture at a relative humidity (RH) of 70% (2).
Figure 7 and Figure S3 display the XPS spectra of the worn surfaces corresponding to [N4444] [DBP] and [P4444] [DBP], respectively, before and after moisture absorption at 70% RH. According to Figure 7 the N1s peaks at 401 eV and 399.8 eV correspond to quaternary ammonium salt and for [N4444] [DBP] before and after moisture absorption, respectively. This indicates that tribo-chemical reactions involving the oxidation of quaternary ammonium salts occur regardless of the presence of water molecules, leading to the formation of a more durable lubricating film on the substrate surface. Additionally, the peaks at 133.2 eV are attributed to inorganic phosphate, suggesting that anions may undergo chemical reactions with the metal surface to generate phosphates with lubricating properties. These compounds can form a protective lubricating film on the friction surface, effectively reducing friction and wear. Similar tribo-chemical reactions are observed for both [N4444] [DBP] and [P4444] [DBP] ILs before and after moisture absorption during the friction process. The XPS elemental maps of the wear scar surfaces before and after moisture absorption are presented in Figures S4 and S6, which also support the above analysis. The scan times for each spectrum and the curve-fitting procedures for the C1s, O1s, N1s, P2p, and Fe2p peaks are provided in the Supporting Information S1.
Figure 7.
XPS spectra of lubricated by [N4444] [DBP] before (5) and after (6) absorbing moisture at a relative humidity (RH) of 70%.
3.6. Molecular Dynamics Simulations
Molecular dynamics simulations were employed to investigate the interactions between lubricant molecules and metal substrates in various environments [33,34,35]. Figure 8 displays the optimal adsorption orientations of ILs ([BMIM] [DBP] and [N4444] [DBP]) on the Fe (001) surface, both before and after water absorption. The RDF of Fe atoms in hygroscopic and non-hygroscopic ILs are also illustrated in Figure 9. As shown in Figure 9a, for the pure [BMIM] [DBP]/Fe (001) system, the first peak of the RDF is located at 2.5 Å. This sharp peak indicates that the cations form Fe-N coordination bonds (binding energy = 1904.67 kcal/mol) with the iron surface, enabling tight adsorption and the formation of an ordered monolayer. Concurrently, the phosphate ester groups (P=O) of the DBP− anions interact with Fe to establish Fe-O-P bonds, collaboratively constructing a dense and robust lubricating film. For the moisture-absorbed [BMIM] [DBP]-H2O/Fe (001) system, the first peak of the radial distribution function (RDF) exhibits significant changes. The RDF first peak for Fe-[BMIM]+ interactions shifts from 2.5 Å in the pure system to 2.9 Å in the hygroscopic system (Figure 9b) and decreases compared to the pure IL system. Water molecules form O-H·N hydrogen bonds with the imidazolium cations, leading to the formation of solvation clusters. This reduces the effective adsorption density of cations at the interface and disrupts their direct interaction with Fe. And water molecules occupy Fe surface sites, suppressing Fe-N coordination bonds (binding energy decreases from −1904.67 kcal/mol to −1662.07 kcal/mol).
Figure 8.
The representative configurations of (a) [BMIM] [DBP]/Fe (001), (b) [BMIM] [DBP]-H2O/Fe (001), (c) [N4444] [DBP]/Fe (001), and (d) [N4444] [DBP]-H2O/Fe (001) models. (Colors: O, red; C, green; H, white; N, blue; P, pink; Fe, purple).
Figure 9.
Radial distribution functions of different species with Fe in (a) [BMIM] [DBP]/Fe (001), (b) [BMIM] [DBP]-H2O/Fe (001), (c) [N4444] [DBP]/Fe (001), and (d) [N4444] [DBP]-H2O/Fe (001) models.
The density analysis, as depicted in Figure 10, clearly indicates the formation of an adsorption layer at a position approximately 14 Å away from the surface in the presence of pure [BMIM] [DBP]. After moisture absorption, both water molecules and ILs form adsorption layers at comparable positions (~14.5Å) on the steel surface. This indicates a synergistic effect between water molecules and [BMIM] [DBP], jointly contributing to the formation of the adsorption layer. Meanwhile, water molecules exhibit competitive adsorption on the iron surface, potentially displacing cations from their original adsorption sites. Since the adsorption layer is composed of both IL and water, its strength is notably reduced. This reduction can be attributed to two primary factors: firstly, the introduction of water molecules significantly decreases the adsorption energy between the ions and the steel surface; secondly, water molecules demonstrate relatively low adsorption energy on the steel surface. As a result, the adsorption layer formed by the ILs on the steel surface experiences a notable decrement in its strength due to the presence of absorbed water molecules.
Figure 10.
Density profiles of different species along Z axis in (a) [BMIM] [DBP]/Fe (001), (b) [BMIM] [DBP]-H2O/Fe (001), (c) [N4444] [DBP]/Fe (001), and (d) [N4444] [DBP]-H2O/Fe (001) models.
The RFT of [N4444] [DBP] and [N4444] [DBP]-H2O with Fe are shown in Figure 9. For pure [N4444] [DBP], the first peak of RFT is located at 2.6 Å. This means that the adsorption behavior of pure [N4444] [DBP] on the surface is comparable to that of [BMIM] [DBP]. After absorbing moisture, the IL exhibits a first peak position that is similar to that of the pure IL, with water molecules positioned at 4.2 Å. This means that the arrangement of the IL on the Fe (001) surface remains unchanged after moisture absorption and the interaction force between water molecules and the iron surface is weak. The above results indicate that the presence of water molecules does not affect the formation of the adsorption film of the IL on the steel surface. These findings are supported by data in Table 3, which shows that the interfacial interaction energy between Fe (001) and the cations of [N4444] [DBP] does not change significantly before and after moisture.
Table 3.
Interfacial interaction energy of Fe (001) with cation of [BMIM] [DBP] and [N4444] [DBP].
Figure 10 illustrates that [N4444] [DBP] forms adsorption layers at a distance of approximately 14 Å from the surface, both before and after moisture absorption. In contrast, water molecules establish adsorption layers at a distance of about 17.3 Å from the surface. This observation suggests that the adsorption performance of [N4444] [DBP] is not significantly affected by the presence of absorbed water molecules, primarily due to the relatively weak interaction forces between the water molecules and [N4444] [DBP]. Evidence supporting this assertion is provided in Table 3, which shows no significant changes in the interfacial interaction energy between Fe (001) and the cations of [N4444] [DBP] before and after moisture absorption. Furthermore, [N4444] [DBP] predominantly forms the inner layer of the film, with water molecules positioned at the outer layer of the adsorption structure. In conclusion, the structural integrity of the [N4444] [DBP] adsorption layer on the steel surface remains largely unchanged after moisture absorption.
4. Discussion
4.1. Correlation Between Surface Properties and Lubricating Performance
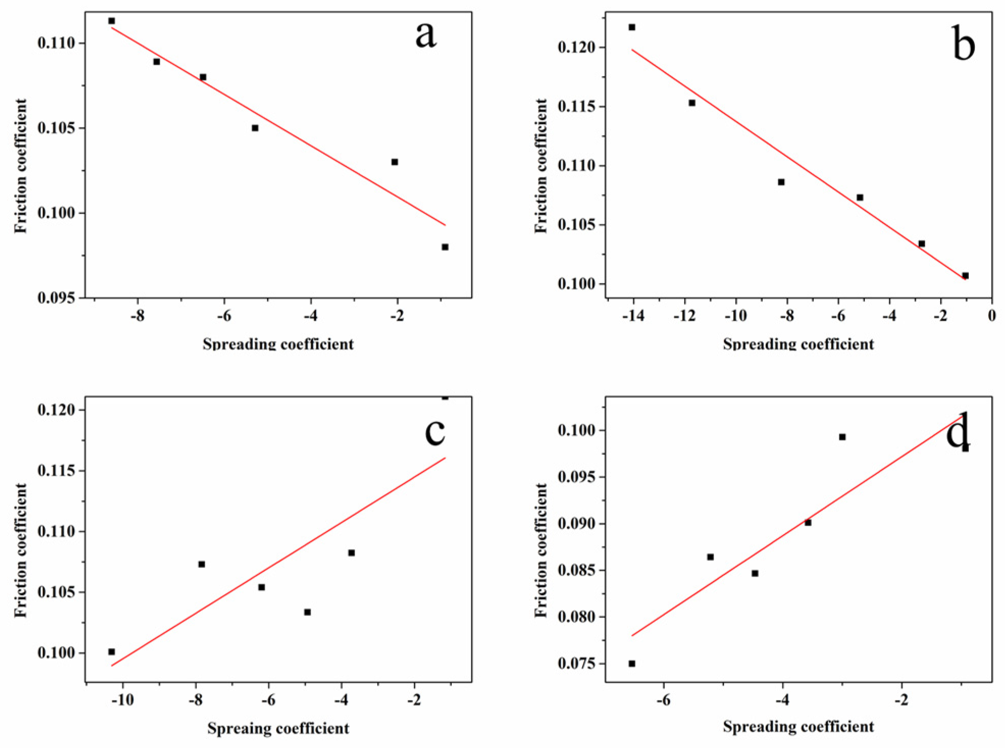
With increasing environmental humidity, the spreading coefficient of [BMIM] [DBP] and [By] [DBP] decreases significantly, while their friction coefficient shows a clear upward trend (with an increase of 0.03–0.05), as shown in Figure 11a,b. This phenomenon arises from the interfacial adsorption layer restructuring and competitive adsorption mechanism triggered by water molecules. As humidity rises, water molecules strongly solvate the imidazolium/pyridinium cations via hydrogen bonding, thereby weakening the critical Fe-N coordination bonds between the cations and the iron surface (binding energy decreases by approximately 12.8%). Molecular dynamics simulations confirm that the intrusion of water molecules increases the interaction distance between the cations and the Fe surface from 2.5 Å to 2.9 Å and significantly reduces the adsorption density. Simultaneously, water molecules preferentially occupy high-energy sites on the steel surface, disrupting the order and continuity of the original lubricating film, transforming it from a dense composite adsorption layer into a weaker mixed film. This destabilization of the microstructure macroscopically manifests as an increase in the friction coefficient and its fluctuation, along with a significant rise in wear volume. Therefore, the decrease in the spreading coefficient essentially reflects the deterioration of interfacial wettability and the loss of lubricating film stability, clearly indicating the lubrication failure process of aromatic ionic liquids in humid environments.
For [N4444][DBP] and [P4444][DBP], increased environmental humidity triggers a detrimental cycle: moisture absorption elevates leads to a sharp decrease (more negative) in the spreading coefficient (S) (Figure 11c,d). This degradation in wettability is a direct precursor to interfacial failure, as water molecules competitively adsorb on the metal surface, disrupting key Fe-cation coordination bonds and resulting in a weakened, disorganized lubricating film. Consequently, this manifests macroscopically as a significant increase in both the friction coefficient and wear. In stark contrast, aliphatic ILs exhibit remarkable resilience. Their minimal moisture uptake ensures the spreading coefficient remains stable or even improves slightly. This stability stems from the spatial shielding effect of their alkyl chains, which effectively exclude water molecules from the core adsorption layer. This preservation of the intact interfacial structure, notably the stable core lubricating film (~14 Å thick), allows them to maintain or even slightly enhance their tribological performance under humid conditions.
Figure 11.
The correlation curve between Spreading coefficient and Friction coefficient of [BMIM] [DBP] (a), [By] [DBP] (b), [N4444] [DBP] (c) and [P4444] [DBP] (d).
Figure 11.
The correlation curve between Spreading coefficient and Friction coefficient of [BMIM] [DBP] (a), [By] [DBP] (b), [N4444] [DBP] (c) and [P4444] [DBP] (d).

4.2. Lubrication Mechanisms
This study investigates the structural and compositional changes in lubricating films in four phosphate ester ILs under humid environments and their effects on tribological performance, revealing the following key lubrication mechanisms (as shown in Figure 12):
After moisture absorption, water molecules form hydrogen bonds with cations (e.g., C2-H in imidazolium/pyridinium rings), reducing cation adsorption capacity on metal surfaces (adsorption energy decreases by ~12.8%, Table 2). Water preferentially occupies high-energy sites (e.g., grain boundaries, defects) on steel surfaces, suppressing cation-Fe coordination bonds, leading to discontinuous lubricating films (Figure 5). Spreading coefficient becomes more negative, indicating elevated interfacial energy, reduced wettability, and unstable hybrid lubrication layers. The COFs increase with higher fluctuations, and WVs rise linearly with humidity (Figure 3), attributed to localized film fracture and aggravated abrasive wear (Figure 5a,b). Water and cations co-adsorb (RDF peak at 2.5 Å, Figure 9a,b), weakening film strength (interfacial interaction energy decreases by 242.6 kcal/mol, Table 3). XPS analysis reveals oxidation of imidazolium cations in aromatic ILs weakening chemisorption.
Figure 12.
The diagram lubrication mechanism of ILs before and after moisture absorption.
Figure 12.
The diagram lubrication mechanism of ILs before and after moisture absorption.

Aliphatic tetraalkyl cations form spatial barriers, preventing water penetration into the core lubricating film (Figure 8c,d). Water molecules remain at the outer adsorption layer (density profile shows water layer ~17.3 Å from the surface, Figure 10), leaving cation-metal interactions intact (adsorption energy change <0.1%, Table 3). Minimal water absorption (Figure 1) ensures negligible impact on lubricating films. Molecular dynamics simulations confirm stable cation adsorption configurations on Fe (001) surfaces (Figure 9c,d), with consistent film thickness (~14 Å) and density profiles (Figure 10). Post-absorption COFs and WVs show no significant variation (Figure 3c,d), as the core lubricating film remains intact. Reduced viscosity (−45%) induced by water may transiently improve friction via hydrodynamic effects (Figure 2c,d). In aliphatic ILs, weak cation–water interactions (RDF peak at 4 Å, Figure 9c,d) preserve film stability. In aliphatic ILs, oxidation of quaternary ammonium/phosphonium cations forms stable oxynitrides (Figure 7), enhancing film durability.
It is noteworthy that the tribological tests were conducted under ambient atmospheric conditions without active humidity control during the measurements. While the possibility of water molecule migration or localized desorption due to shear and frictional heating cannot be entirely ruled out, several lines of evidence suggest that the absorbed water maintains a persistent influence on the interfacial structure rather than being completely expelled. For aromatic ILs, even partial removal of free water would likely leave behind a fraction of water molecules strongly associated with cations via hydrogen bonding, sufficient to disrupt the coordination bonds and film integrity, as reflected in the sustained higher COFs with increased fluctuations. This is corroborated by our MD simulations (Figure 9 and Figure 10), which reveal co-adsorption of water and cations at the interface, forming a stabilized yet weakened hybrid layer. For aliphatic ILs, the observed friction reduction post-moisture absorption further supports the notion that trace water remains within the system, predominantly in the bulk phase, where it modulates rheological properties rather than being entirely excluded from the interfacial region.
At 100 °C, COFs of hygroscopic ILs are lower than pure ILs (Figure 4a), due to water desorption releasing interfacial energy and transient film stabilization after hydrogen bond disruption. Elevated temperatures intensify molecular motion, weakening intermolecular interactions and increasing COFs, yet hygroscopic ILs still outperform pure ILs (Figure 4c,d), highlighting viscosity modulation as a key friction regulator.
The humidity sensitivity of lubrication performance depends on IL cation structures: aromatic ILs degrade due to water-induced competitive adsorption and oxidation, while aliphatic ILs maintain film integrity via spatial shielding. Molecular dynamics and surface analyses elucidate the microscopic roles of water in interfacial adsorption, hydrogen bonding, and chemical reactions, providing theoretical guidance for designing humidity-resistant lubricants.
5. Conclusions
This study systematically investigates the influence of hygroscopic behavior on the structural and tribological properties of four phosphate ester ILs (ILs) under humid environments. The key findings are summarized as follows:
Imidazolium-based ([BMIM] [DBP]) and pyridinium-based ([By] [DBP]) ILs exhibit significant increases in friction coefficients and wear volumes (WVs) after moisture absorption. This degradation arises from competitive adsorption of water molecules with cations, disrupting hydrogen bonding and weakening Fe-cation coordination (binding energy reduced by ~12.8%). Water preferentially occupies high-energy sites on steel surfaces, destabilizing the lubricating film and promoting abrasive wear. Quaternary ammonium ([N4444] [DBP]) and phosphonium ([P4444] [DBP]) ILs maintain stable tribological performance post moisture absorption. Their aliphatic tetraalkyl chains spatially shield water molecules, confining them to the outer adsorption layer (~17.3 Å from the surface). This preserves the integrity of the core lubricating film (~14 Å thickness) and minimizes changes in interfacial interaction energy. Molecular dynamics simulations reveal that aromatic ILs form co-adsorbed water–cation layers (RDF peak at 2.53 Å), reducing film strength. In contrast, aliphatic ILs exhibit weak cation–water interactions (RDF peak at 4 Å), ensuring stable adsorption configurations. XPS analysis confirms oxidation of aromatic cations (N1s shift to 399.8 eV), while aliphatic ILs generate durable oxynitride films.
The findings underscore the critical role of cation hydrophobicity in designing humidity-resistant lubricants. Aliphatic ILs, with their stable film-forming capabilities, are promising candidates for applications in humid or variable-temperature environments. Future studies should explore ILs with tailored alkyl chain lengths and functional groups to optimize performance under extreme conditions. This work provides a molecular-level understanding of water–IL interactions, advancing the development of next-generation lubricants for industrial and environmental sustainability.
Supplementary Materials
The following supporting information can be downloaded at: https://www.mdpi.com/article/10.3390/lubricants13110475/s1, Figure S1: XPS spectra of lubricated by [BMIM][DBP] before (1) and after absorbing moisture at a relative humidity (RH) of 70% (2). Figure S2: XPS spectra(O1s,C1s) of lubricated by [By][DBP] before (3) and after absorbing moisture at a relative humidity (RH) of 70% (4). Figure S3: XPS spectra (O1s, C1s) of lubricated by [N4444][DBP] before (5) and after absorbing moisture at a relative humidity (RH) of 70% (6). Figure S4: XPS spectra (O1s, C1s) of lubricated by [P4444][DBP] before (7) and after absorbing moisture at a relative humidity (RH) of 70% (8). Figure S5: XPS spectra (Fe2p, P2p, N1s) of lubricated by [By][DBP] before (3) and after absorbing moisture at a relative humidity (RH) of 70% (4). Figure S6: XPS spectra (Fe2p, P2p, N1s) of lubricated by [By][DBP] before (7) and after absorbing moisture at a relative humidity (RH) of 70% (8). Figure S7: XPS spectra (Fe2p, P2p, N1s) of lubricated by [P4444][DBP] before (7) and after absorbing moisture at a relative humidity (RH) of 70% (8). Figure S8. The COFs for [BMIM][DBP] (a), [By][DBP] (b), [N4444] [DBP] (c), and [P4444][DBP] (d) before (up) and after (bottom) water absorption at different temperatures and different RHs (the friction conditions: 25 Hz and 200 N). Table S1: Scan times for each spectrum and curve fitting procedures for the peaks of C1s, O1s, N1s, P2p, and Fe2p spectra.
Author Contributions
Conceptualization, D.Q. and D.F.; methodology, D.Q.; software, Z.B.; validation, D.Q. and J.Z.; formal analysis, Z.B.; investigation, Z.B.; resources, D.Q.; data curation, Z.B.; writing—original draft preparation, Z.B.; writing—review and editing, D.Q.; visualization, Z.B.; supervision, D.F.; project administration, D.F.; funding acquisition, D.F. All authors have read and agreed to the published version of the manuscript.
Funding
The authors are grateful for the financial support from National Natural Science Foundation of Shandong Province (ZR2022QE050), Youth Innovation Promotion Association CAS (2021422), and Major Science and Technology Project of Gansu Province (No. 23ZDGA011), Taishan Industrial Experts Program (No. tscx202306141).
Data Availability Statement
The data presented in this study are available on request from the corresponding author.
Conflicts of Interest
Author Jian Zhang was employed by the company Shandong Dongyue Polymer Materials Co., Ltd. The remaining authors declare that the research was conducted in the absence of any commercial or financial relationships that could be construed as a potential conflict of interest.
References
- Cai, M.; Yu, Q.; Liu, W.; Zhou, F. Ionic liquid lubricants: When chemistry meets tribology. Chem. Soc. Rev. 2020, 49, 7753–7818. [Google Scholar] [CrossRef]
- Zhou, Y.; Qu, J. Ionic liquids as lubricant additives: A review. ACS Appl. Mater. Interfaces 2017, 9, 3209–3222. [Google Scholar] [CrossRef] [PubMed]
- Zhao, Q.; Li, Y.; Wu, X.; Ma, R.; Zhao, G.; Wang, X. A tribological study of DIPE esters containing ionic liquids as high temperature and heavy load lubricants. Tribol. Int. 2020, 142, 105971. [Google Scholar] [CrossRef]
- Keller, A.; Karlson, K.-O.; Grebe, M.; Schüler, F.; Goehringer, C.; Epp, A. Practical Evaluation of Ionic Liquids for Application as Lubricants in Cleanrooms and under Vacuum Conditions. Lubricants 2024, 12, 194. [Google Scholar] [CrossRef]
- Chen, W.; Feng, Y.; Wan, Y.; Zhang, L.; Yang, D.; Gao, X.; Yu, Q.; Wang, D. Investigation on anti-wear and corrosion-resistance behavior of steel-steel friction pair enhanced by ionic liquid additives under conductive conditions. Tribol. Int. 2023, 177, 108002. [Google Scholar] [CrossRef]
- Shaikh, S.; Sadeghi, M.; Cruz, S.; Ferreira, F. Recent Progress on the Tribology of Pure/Doped Diamond-like Carbon Coatings and Ionic Liquids. Coatings 2024, 14, 71. [Google Scholar] [CrossRef]
- Song, W.; Zhang, J.; Campen, S.; Yan, J.; Ji, H.; Wong, J.S.S. Lubrication mechanism of a strong tribofilm by imidazolium ionic liquid. Friction 2023, 11, 425–440. [Google Scholar]
- Yu, Q.; Zhang, C.; Dong, R.; Shi, Y.; Wang, Y.; Bai, Y.; Zhang, J.; Cai, M.; Zhou, F.; Liu, W. Physicochemical and tribological properties of gemini-type halogen-free dicationic ionic liquids. Friction 2021, 9, 344–355. [Google Scholar] [CrossRef]
- Wang, B.; Qin, L.; Mu, T.; Xue, Z.; Gao, G. Are Ionic Liquids Chemically Stable? Chem. Rev. 2017, 117, 7113–7131. [Google Scholar] [CrossRef]
- Gardas, R.L.; Ge, R.; Ab Manan, N.; Rooney, D.W.; Hardacre, C. Interfacial tensions of imidazolium-based ionic liquids with water and n-alkanes. Fluid. Phase Equilib. 2010, 294, 139–147. [Google Scholar]
- Yu, L.; Huang, J.; Wang, S.; Qi, L.; Wang, S.; Chen, C. Ionic Liquid “Water Pocket” for Stable and Environment-Adaptable Aqueous Zinc Metal Batteries. Adv. Mater. 2023, 35, 2210789. [Google Scholar] [CrossRef]
- Swatloski, R.P.; Holbrey, J.D.; Rogers, R.D. Ionic liquids are not always green: Hydrolysis of 1-butyl-3-methylimidazolium hexafluorophosphate. Green. Chem. 2003, 5, 361–363. [Google Scholar] [CrossRef]
- Barnhill, W.C.; Qu, J.; Luo, H.; Meyer, H.M., III; Ma, C.; Chi, M.; Papke, B.L. Phosphonium-Organophosphate Ionic Liquids as Lubricant Additives: Effects of Cation Structure on Physicochemical and Tribological Characteristics. ACS Appl. Mater. Interfaces 2014, 6, 22585–22593. [Google Scholar] [CrossRef]
- Huang, G.; Fan, S.; Ba, Z.; Cai, M.; Qiao, D. Insight into the lubricating mechanism for alkylimidazolium phosphate ionic liquids with different alkyl chain length. Tribol. Int. 2019, 140, 105886. [Google Scholar] [CrossRef]
- Ba, Z.; Huang, G.; Qiao, D.; Feng, D. Experimental and calculation studies on the relationship between the hygroscopic behavior and lubrication properties of ionic liquids. Appl. Surf. Sci. 2020, 529, 147031. [Google Scholar] [CrossRef]
- Akira, Y.; Masatoshi, O. Destruction of the Water Layer on a Hydrophobic Surface Induced by the Forced Approach of Hydrophilic and Hydrophobic Cations. J. Phys. Chem. Lett. 2010, 1, 1487–1491. [Google Scholar] [CrossRef]
- Han, Y.; Qiao, D.; Zhang, L.; Feng, D. Study of tribological performance and mechanism of phosphonate ionic liquids for steel/aluminum contact. Tribol. Int. 2015, 84, 71–80. [Google Scholar] [CrossRef]
- Biovia, D.S. Materials Studio. R2; Dassault Systèmes BIOVIA: San Diego, CA, USA, 2017. [Google Scholar]
- Sun, H. COMPASS: An ab initio force-field optimized for condensed-phase applications overview with details on alkane and benzene compounds. J. Phys. Chem. B 1998, 102, 7338–7364. [Google Scholar] [CrossRef]
- Shuichi, N. Constant temperature molecular dynamics methods. Prog. Theor. Phys. Suppl. 1991, 103, 1–46. [Google Scholar] [CrossRef]
- Cao, Y.; Chen, Y.; Sun, X.; Zhang, Z.; Mu, T. Water sorption in ionic liquids: Kinetics, mechanisms and hydrophilicity. Phys. Chem. Chem. Phys. 2012, 14, 12252–12262. [Google Scholar] [CrossRef]
- Angelica, M.; Andrea, M.; Janusz, N.; Justyna, Ł.; Lorenzo, G. Betaine and l-carnitine ester bromides: Synthesis and comparative study of their thermal behaviour and surface activity. J. Mol. Liq. 2021, 334, 115988. [Google Scholar] [CrossRef]
- Lin, L.; Kedzierski, M.A. Density and viscosity of a polyol ester lubricant: Measurement and molecular dynamics simulation. Int. J. Refrig. 2020, 118, 188–201. [Google Scholar] [CrossRef] [PubMed]
- Stanković, I.; Dašić, M.; Jovanović, M.; Martini, A. Effects of Water Content on the Transport and Thermodynamic Properties of Phosphonium Ionic Liquids. Langmuir 2024, 40, 9049–9058. [Google Scholar] [CrossRef] [PubMed]
- Cai, J.; Liu, J.; Mu, S.; Liu, J.; Hong, J.; Zhou, X.; Ma, Q.; Shi, L. Corrosion Inhibition Effect of Three Imidazolium Ionic Liquids On Carbon Steel In Chloride Contaminated Environment. Int. J. Electrochem. Sci. 2020, 15, 1287–1301. [Google Scholar] [CrossRef]
- Sonia, R.; Sushil Kumar, S.S.; Chandrabhan, V.; Saif Ali, C.; Shriniwas, G. Evaluation of inhibition performance of methylimidazolium ionic liquids on surface of mild steel in sulfuric acid. Surf. Coat. Technol. 2024, 485, 130875. [Google Scholar]
- Khan, A.M.; Wu, H.; Ma, Q.; Chung, Y.-W.; Wang, Q.J. Relating Tribological Performance and Tribofilm Formation to the Adsorption Strength of Surface-Active Precursors. Tribol. Lett. 2019, 68, 6. [Google Scholar] [CrossRef]
- Sabine, M.; Miquel, S. Adsorption of Water. Surf. Interface Sci. 2015, 357–390. [Google Scholar] [CrossRef]
- Schiros, T.; Ogasawara, H.; Näslund, L.Å.; Andersson, K.J.; Ren, J.; Meng, S.; Karlberg, G.S.; Odelius, M.; Nilsson, A.; Pettersson, L.G. Cooperativity in Surface Bonding and Hydrogen Bonding of Water and Hydroxyl at Metal Surfaces. J. Phys. Chem. C 2010, 114, 10240–10248. [Google Scholar] [CrossRef]
- McCrum, I.T.; Hickner, M.A.; Janik, M.J. Quaternary Ammonium Cation Specific Adsorption on Platinum Electrodes: A Combined Experimental and Density Functional Theory Study. J. Electrochem. Soc. 2018, 165, J3009–J3016. [Google Scholar] [CrossRef]
- Fajardo, O.Y.; Bresme, F.; Kornyshev, A.A.; Urbakh, M. Water in Ionic Liquid Lubricants: Friend and Foe. ACS Nano 2017, 11, 6825–6831. [Google Scholar] [CrossRef]
- Yu, Q.; Zhang, C.; Wang, J.; Fan, F.; Yang, Z.; Zhou, X.; Tang, Z.; Cai, M.; Zhou, F. Tribological performance and lubrication mechanism of new gemini quaternary phosphonium ionic liquid lubricants. J. Mol. Liq. 2021, 322, 114522. [Google Scholar] [CrossRef]
- ISolovyova, I.V.; Yang, S.; Starovoytov, O.N. Molecular dynamics simulation studies of 1,3-dimethyl imidazolium nitrate ionic liquid with water. J. Chem. Phys. 2023, 158, 024502. [Google Scholar] [CrossRef]
- Stephan, S.; Schmitt, S.; Hasse, H.; Urbassek, H.M. Molecular dynamics simulation of the Stribeck curve: Boundary lubrication, mixed lubrication, and hydrodynamic lubrication on the atomistic level. Friction 2023, 11, 2342–2366. [Google Scholar] [CrossRef]
- Liu, T.; Panwar, P.; Khajeh, A.; Rahman, M.H.; Menezes, P.L.; Martini, A. Review of Molecular Dynamics Simulations of Phosphonium Ionic Liquid Lubricants. Tribol. Lett. 2022, 70, 44. [Google Scholar] [CrossRef]
Disclaimer/Publisher’s Note: The statements, opinions and data contained in all publications are solely those of the individual author(s) and contributor(s) and not of MDPI and/or the editor(s). MDPI and/or the editor(s) disclaim responsibility for any injury to people or property resulting from any ideas, methods, instructions or products referred to in the content. |
© 2025 by the authors. Licensee MDPI, Basel, Switzerland. This article is an open access article distributed under the terms and conditions of the Creative Commons Attribution (CC BY) license (https://creativecommons.org/licenses/by/4.0/).













