Sign in to use this feature.

Years

Between: -

Subjects

remove_circle_outline
remove_circle_outline
remove_circle_outline
remove_circle_outline
remove_circle_outline
remove_circle_outline
remove_circle_outline
remove_circle_outline
remove_circle_outline

Journals

remove_circle_outline
remove_circle_outline
remove_circle_outline
remove_circle_outline
remove_circle_outline
remove_circle_outline

Article Types

Countries / Regions

remove_circle_outline
remove_circle_outline
remove_circle_outline
remove_circle_outline

Search Results (680)

Search Parameters:
Keywords = competitive adsorption

Order results
Result details
Results per page
Select all
Export citation of selected articles as:
26 pages, 10706 KB  
Article
Design and Performance Evaluation of Cold-Recycled Asphalt Mixtures with Reclaimed Cement-Stabilized Bases
by Zhoucong Xu, Hui Wang, Liping Liu, Dongchang Zhang and Lijun Sun
Sustainability 2026, 18(9), 4391; https://doi.org/10.3390/su18094391 - 30 Apr 2026
Abstract
The sustainable utilization of multiple reclaimed pavement materials is a critical pathway toward green highway construction. This study investigates the performance and synergistic mechanisms of cold-recycled mixtures incorporating both Reclaimed Asphalt Pavement (RAP) and Reclaimed Cement-Stabilized Base (RCSB), using emulsified asphalt as the [...] Read more.
The sustainable utilization of multiple reclaimed pavement materials is a critical pathway toward green highway construction. This study investigates the performance and synergistic mechanisms of cold-recycled mixtures incorporating both Reclaimed Asphalt Pavement (RAP) and Reclaimed Cement-Stabilized Base (RCSB), using emulsified asphalt as the primary binder. A comprehensive experimental program was conducted to evaluate the effects of reclaimed material proportions, mixing sequences, and curing ages on the mechanical strength, moisture susceptibility, and high-temperature stability of the mixtures. Microscopic characterization via Scanning Electron Microscope (SEM) and Energy Dispersive Spectroscopy (EDS) were employed to elucidate the Interfacial Transition Zone (ITZ) evolution. Results indicate that an optimal RCSB incorporation range of 20–40% establishes a robust “stone-to-stone” rigid skeleton, significantly enhancing the splitting strength (up to 0.87 MPa) and durability (Splitting Strength Ratio, TSR > 91%). SEM observations confirm the formation of a dense interpenetrating network structure within this range, where cement hydration products and asphalt films achieve optimal chemo-physical bonding. Exceeding 40% RCSB leads to a moisture-starved state and a sharp decline in dynamic stability due to insufficient binder coating. Micro-morphological characterization reveals that the transition from macro-interfacial debonding to a robust cohesive failure mode is the fundamental driver for the performance peak at 20–40% RCSB. SEM observations confirm the formation of a dense interpenetrating network structure, where cement hydration products successfully anchor into the asphalt film. This optimized ITZ effectively eliminates the stress concentration and aggregate crushing seen in high-RAP mixtures, thereby ensuring superior mechanical integrity. Furthermore, a pre-wetting mixing sequence ensures a high-energy mineral surface that promotes the heterogeneous nucleation of cement. SEM results show that this prevents the competitive adsorption between cement and asphalt, transforming the ITZ from a friable, loose state into a densified crystalline adhesive matrix. Full article
(This article belongs to the Special Issue Asphalt Binder and Sustainable Pavement Design)
Show Figures

Figure 1

18 pages, 16016 KB  
Article
Structural Characterization and High-Pressure Methane Adsorption Mechanism Across Different Coal Ranks: Insights from Molecular Modeling
by Wanyuan Nie, Manli Huang, Tong Zhang and Ming Cheng
Processes 2026, 14(9), 1409; https://doi.org/10.3390/pr14091409 - 28 Apr 2026
Viewed by 117
Abstract
To elucidate coalbed methane (CBM) adsorption mechanisms in deep coal reservoirs, the macromolecular structures of coal samples with different coal ranks were characterized using FTIR, XPS, and C NMR, followed by the construction of corresponding molecular models. Grand Canonical Monte Carlo (GCMC) simulations [...] Read more.
To elucidate coalbed methane (CBM) adsorption mechanisms in deep coal reservoirs, the macromolecular structures of coal samples with different coal ranks were characterized using FTIR, XPS, and C NMR, followed by the construction of corresponding molecular models. Grand Canonical Monte Carlo (GCMC) simulations were employed to investigate methane adsorption behavior within the coal matrix at 313.15 K and pressures up to 20 MPa. The results showed that as coal rank increased (Ro,max = 1.63% to 3.18%), the coal macromolecular structure transformed from a side-chain-rich configuration to a highly aromatized and directionally stacked structure. This structural maturation leads to a more compact coal matrix, evidenced by a reduction in free volume from 5108.39 Å3 to 3999.87 Å3 and a decline in accessible free volume from 8.23% to 6.26%, thereby restricting the effective space for methane storage. At 20 MPa, although the pore walls of high-rank coal exhibit stronger localized adsorption capacity, the bulk adsorption capacity follows the order: DZ > ZC > SH. This suggests that under deep, high-pressure conditions, the pore-volume compression effect associated with increasing coal rank governs the upper limit of adsorption per unit mass of coal. As pressure increases into the deep reservoir regime, the state of methane in coal micropores gradually shifts from surface adsorption to a high-density, quasi-liquid filling behavior. Consequently, the influence of specific surface area diminishes, while effective free volume emerges as the primary determinant of high-pressure adsorption capacity. The impact of coal rank on deep methane adsorption reflects a competition between enhanced adsorption potential and restricted storage space. The densification-induced compression of effective free volume is identified as the dominant factor limiting the adsorption capacity of deep CBM. This study provides a molecular-scale understanding of deep CBM occurrence mechanisms and establishes a theoretical framework for resource evaluation. Full article
Show Figures

Figure 1

32 pages, 27590 KB  
Article
Arsenic Removal from Water Using Mg-Based Adsorbents in the Presence of Silicic Acid
by Hajime Sugita, Kazuya Morimoto, Takeshi Saito and Junko Hara
Sustainability 2026, 18(9), 4162; https://doi.org/10.3390/su18094162 - 22 Apr 2026
Viewed by 227
Abstract
Dissolved silicic acid (Si) in groundwater can reduce the As-removal performance of adsorbents used for treating contaminated water. However, its effects on Mg-based adsorbents remain largely unexplored. In this study, As-removal tests were conducted under various test conditions to evaluate the suitability of [...] Read more.
Dissolved silicic acid (Si) in groundwater can reduce the As-removal performance of adsorbents used for treating contaminated water. However, its effects on Mg-based adsorbents remain largely unexplored. In this study, As-removal tests were conducted under various test conditions to evaluate the suitability of Mg-based adsorbents (MgO, Mg(OH)2, and MgCO3) for the purification of As-contaminated water in the presence of Si. As-removal performance varied significantly depending on the Mg-based adsorbent type and dosage (WAd0/V), As valence, and the initial As and Si (CSi0) concentrations. In some cases, As removal improved at relatively low CSi0; however, overall performance decreased with increasing CSi0 for all Mg-based adsorbents. Moreover, compared with Mg(OH)2, the performance of MgO and MgCO3 was more strongly affected by Si. This inhibition is attributed to competition between Si and As for adsorption sites on the adsorbent surface. Furthermore, for MgO and MgCO3, the amount of As removed by coprecipitation with secondarily generated Mg(OH)2 aggregates was inferred to decrease with increasing CSi0, because higher CSi0 lowered the solution pH. Overall, MgO and Mg(OH)2 can function effectively as adsorbents for As treatment when WAd0/V is appropriately selected, considering the range of Si concentrations typically found in groundwater. Full article
(This article belongs to the Special Issue Geoenvironmental Engineering and Water Pollution Control)
Show Figures

Figure 1

16 pages, 3358 KB  
Article
Mechanism of Competitive Reduction of Fe(III) and As(V) Mediated by Electron Shuttles and Bacteria
by Wenyu Liu, Jia Wang, Yalong Li, Mengna Chen, Yang Yang, Chaoxiang Zhang and Zuoming Xie
Water 2026, 18(8), 956; https://doi.org/10.3390/w18080956 - 17 Apr 2026
Viewed by 272
Abstract
Arsenic (As) contamination in groundwater represents a critical global environmental health issue. The reductive dissolution of arsenic-bearing iron oxides by dissimilatory metal-reducing bacteria (DMRB) is a key biogeochemical process driving arsenic mobilization and release in groundwater. However, the mechanism of exogenous electron shuttles [...] Read more.
Arsenic (As) contamination in groundwater represents a critical global environmental health issue. The reductive dissolution of arsenic-bearing iron oxides by dissimilatory metal-reducing bacteria (DMRB) is a key biogeochemical process driving arsenic mobilization and release in groundwater. However, the mechanism of exogenous electron shuttles in this process remains poorly understood. This study investigated the impact of the quinone-based electron shuttle anthraquinone-2,6-disulfonate (AQDS) on the reductive dissolution of arsenic-loaded goethite by the model DMRB Shewanella putrefaciens CN32 (S.P CN32). The mobilization and transformation behaviors of arsenic and iron were compared under different pH conditions and using different arsenic-loading methods (coprecipitation vs. adsorption). Results demonstrated that AQDS acted as an electron transfer mediator. It significantly enhanced the reductive dissolution of Fe(III). It also significantly enhanced the reduction of As(V). These actions collectively accelerated arsenic release and mobilization. The study also revealed a competitive preferential order in microbial reduction, where the thermodynamically more favorable Fe(III) reduction preceded As(V) reduction. Environmental pH co-regulated this process. Its influence worked through microbial activity and mineral surface properties. A neutral pH was most conducive to the AQDS-mediated bioreduction of arsenic and iron. This study elucidates the critical role of electron shuttles in the biogeochemical cycling of arsenic in contaminated sites, providing a scientific basis for a deeper understanding of the formation mechanisms and risk assessment of high-arsenic groundwater. Full article
(This article belongs to the Section Water Quality and Contamination)
Show Figures

Figure 1

24 pages, 2664 KB  
Article
Mechanism-Guided Selective Hydrogenation of CO2 to Light Olefins: DFT-Informed Microkinetics and Surface Electronic Regulation Under Green Hydrogen Scenarios
by Han Song, Maoyuan Yin, Xiaohan Zhang, Xiaoli Rong, Zheng Li and Hailing Ma
Catalysts 2026, 16(4), 359; https://doi.org/10.3390/catal16040359 - 16 Apr 2026
Viewed by 199
Abstract
Achieving high selectivity in the hydrogenation of CO2 to light olefins remains challenging because of the complex reaction network and the difficulty of regulating key intermediates. Motivated by green-hydrogen-enabled power-to-chemicals pathways, we combine density functional theory (DFT) with first-principles microkinetic simulation (FPMS) [...] Read more.
Achieving high selectivity in the hydrogenation of CO2 to light olefins remains challenging because of the complex reaction network and the difficulty of regulating key intermediates. Motivated by green-hydrogen-enabled power-to-chemicals pathways, we combine density functional theory (DFT) with first-principles microkinetic simulation (FPMS) to construct a quantitatively predictive reaction-energy landscape and elucidate structure–selectivity relationships. A comprehensive reaction network is established through energy-surface fitting, and steady-state rate constants are solved to capture the microkinetic competition between elementary steps. By introducing electronic density-of-states (DOS) modulation as a design variable, we directly correlate surface structural parameters with rate-controlling steps, thereby enabling targeted regulation of C–C coupling and hydrogen transfer processes. The calculated barrier for CO2 adsorption to COOH* is 1.35 eV, while the transition state barrier for C–C coupling is 1.50 eV, corresponding to a reaction rate of 9.7 × 103 s−1; the olefin desorption rate reaches 1.7 × 107 s−1. Crucially, shifting the d-band center from −2.35 eV to −1.60 eV increases the C2–C4 olefin selectivity from 42.6% to 68.3%, establishing an actionable electronic structure lever for catalyst optimization. These results reveal the intrinsic mechanism by which surface electronic and geometric regulation governs intermediate stabilization and rate control, providing a verifiable, mechanism-based design principle for efficient CO2-to-olefin catalysts aligned with green hydrogen deployment. Full article
Show Figures

Figure 1

22 pages, 2510 KB  
Article
Corrosion Behavior of AISI 52100 Bearing Steel in Novel Water-Based Lubricants
by Juan Bosch, Elizabeth Kotzalas, K Zin Htut, Rowan King and Christopher DellaCorte
Metals 2026, 16(4), 428; https://doi.org/10.3390/met16040428 - 15 Apr 2026
Viewed by 302
Abstract
Water-based lubricants (WBLs) are increasingly being considered for electrified drivetrain applications; however, their electrochemical stability toward bearing steels remains insufficiently understood. This study evaluated the corrosion behavior of through-hardened AISI 52100 bearing steel in novel WBLs to elucidate the corrosion kinetics and surface [...] Read more.
Water-based lubricants (WBLs) are increasingly being considered for electrified drivetrain applications; however, their electrochemical stability toward bearing steels remains insufficiently understood. This study evaluated the corrosion behavior of through-hardened AISI 52100 bearing steel in novel WBLs to elucidate the corrosion kinetics and surface degradation mechanisms. Round steel disks were cleaned and tested in 50 wt% aqueous dilutions of glycerol, ethylene glycol (MEG), polyethylene glycol (PEG), and polyalkylene glycol (PAG). Electrochemical measurements were conducted using a three-electrode cell in accordance with ASTM G3-14, employing open circuit potential (OCP), linear polarization resistance (LPR), electrochemical impedance spectroscopy (EIS), and potentiodynamic polarization curves. Among the uninhibited fluids, DI water exhibited the highest corrosion current density (19.85 µA/cm2), while glycerol- and PEG-based systems showed the lowest values (0.79 and 0.85 µA/cm2, respectively), attributed to organic adsorption at the steel/electrolyte interface. EIS analysis revealed a single charge-transfer-controlled process across all fluids, consistent with a weak, non-passive interfacial oxide whose protective character is modulated by organic adsorption. The addition of NaNO3 produced divergent effects depending on the base fluid chemistry: the corrosion activity was reduced in DI water and glycerol systems through enhanced passivation, while PEG- and PAG-based formulations showed increased corrosion current densities and reduced charge transfer resistance, attributed to competitive disruption of the polymer boundary layer by nitrate ions. Surface characterization by SEM/EDAX and white-light interferometry corroborated the electrochemical findings, revealing fluid-dependent corrosion morphologies ranging from uniform attack in DI water to localized pitting in polymer-based systems, with NaNO3 shifting the corrosion mode in PEG/PAG systems from localized to combined localized and uniform attack. These findings highlight the critical role of fluid chemistry in controlling corrosion processes in water-based lubricants and provide mechanistic insight for the development of corrosion-stable formulations for high-performance electrified drivetrain applications. Full article
(This article belongs to the Special Issue Corrosion and Fracture of Metallic Materials)
Show Figures

Figure 1

20 pages, 2946 KB  
Article
Arsenate Adsorption on Fe and Fe/Cu Metal–Organic Frameworks in Water Matrices: Performance, Regeneration, and Stability Insights
by Taylor Mackenzie Fisher, Michelle Dao, Kenneth Flores, Samantha Lu, Sergi Garcia-Segura and Gamze Ersan
Water 2026, 18(8), 931; https://doi.org/10.3390/w18080931 - 13 Apr 2026
Viewed by 381
Abstract
Arsenic pollution is a prevalent challenge worldwide due to extensive use dating back thousands of years, and the pentavalent species arsenate (As(V)) is of particular interest because it predominates in oxygenated groundwater. Metal–organic frameworks (MOFs), characterized by their high surface area and tunable [...] Read more.
Arsenic pollution is a prevalent challenge worldwide due to extensive use dating back thousands of years, and the pentavalent species arsenate (As(V)) is of particular interest because it predominates in oxygenated groundwater. Metal–organic frameworks (MOFs), characterized by their high surface area and tunable surface chemistry, have emerged as promising adsorbents for its rapid and efficient removal. This study systematically evaluated the adsorption performance, physicochemical properties, and regeneration behavior of monometallic Fe-BTC MOF and bimetallic Fe/Cu-BTC for As(V) removal under application-relevant conditions. Fe-BTC exhibited the highest adsorption capacity of As(V) (117.5 mg g−1), whereas Fe/Cu-BTC showed a lower capacity (74.6 mg g−1). Adsorption in tap water decreased slightly for both materials (19–23%), indicating mild competition from coexisting ions. The adsorption behavior followed the Freundlich model, indicating competitive occupation of high-energy sites on Fe-BTC. In contrast, the surface heterogeneity of Fe/Cu-BTC remained unchanged, highlighting its robust characteristics. Adsorption was strongly pH-dependent, reaching a maximum at neutral pH, and regeneration experiments identified ethanol as the most effective desorption agent for Fe-BTC, enabling reuse. Metal-leaching analysis confirmed superior Fe-BTC MOF stability and minimal leaching, whereas Fe/Cu-BTC instability demonstrated risk of secondary Cu contamination. Overall, these findings establish that Fe-BTC and Fe/Cu-BTC MOF are effective for As(V) adsorption, but Fe-BTC outperforms Fe/Cu-BTC as a practical adsorbent. Significantly, Fe-BTC performance is strongly influenced by water matrix composition and regeneration solvent, highlighting considerations for real-world applications. Full article
(This article belongs to the Special Issue Research on Adsorption Technologies in Water Treatment)
Show Figures

Figure 1

18 pages, 1907 KB  
Review
Chitosan-Based Adsorbents: A Versatile Platform for the Removal of Arsenate and Copper Ions from Water
by Lingli Min, Shuhua Wang, Yuling Li, Yiting Lin and Yulang Chi
Nanomaterials 2026, 16(8), 458; https://doi.org/10.3390/nano16080458 - 13 Apr 2026
Viewed by 361
Abstract
Chitosan, owing to its abundant amino and hydroxyl functional groups, serves as an effective biosorbent for the removal of toxic metal(loid) ions from water. This review summarizes recent advances in chitosan-based adsorbents specifically for arsenate (As(V)) and copper ions (Cu(II)), with an emphasis [...] Read more.
Chitosan, owing to its abundant amino and hydroxyl functional groups, serves as an effective biosorbent for the removal of toxic metal(loid) ions from water. This review summarizes recent advances in chitosan-based adsorbents specifically for arsenate (As(V)) and copper ions (Cu(II)), with an emphasis on adsorption mechanisms and electrospun nanofiber technologies. A conceptual “charge adaptation–structure synergy” model is proposed to elucidate the distinct adsorption behaviors of chitosan toward anionic and cationic substances: under acidic conditions, As(V) adsorption is dominated by electrostatic attraction to protonated amino groups, whereas at pH values near or above the pKa, Cu(II) removal proceeds via synergistic chelation involving deprotonated amino and hydroxyl groups. Competitive and synergistic interactions in binary systems, particularly between As(V) and coexisting anions such as phosphate, are also discussed. Notably, the kinetic advantages of electrospun chitosan nanofibers are highlighted, with equilibrium times shortened from several hours to approximately 0.5–2.6 h. Key challenges and future research directions are further discussed, including scalable manufacturing and the treatment of complex wastewater matrices. Full article
(This article belongs to the Special Issue Porous Materials for Wastewater Treatment (2nd Edition))
Show Figures

Graphical abstract

9 pages, 1612 KB  
Article
Contrasting Coordination- and Debromination-Driven Dimerization of Dibenzo[c,g]carbazole Derivatives on Ag(111) Visualized by STM
by Yan Li, Xiang Zhang, Maoyun Lang, Shenwei Chen and Peng Hu
Crystals 2026, 16(4), 249; https://doi.org/10.3390/cryst16040249 - 8 Apr 2026
Viewed by 371
Abstract
Here, we report a comparative scanning tunneling microscopy study of two brominated dibenzo[c,g]carbazole derivatives on Ag(111): 5,9-dibromo-7H-dibenzo[c,g]carbazole (DBC) and 5,9,7-tribromo-7-(4-bromobutyl)-7H-dibenzo[c,g]carbazole (BrBu-DBC). At room temperature (RT), DBC forms ordered paired-row supramolecular assemblies, whereas annealing to 470 K induces the formation of butterfly-like dimers that [...] Read more.
Here, we report a comparative scanning tunneling microscopy study of two brominated dibenzo[c,g]carbazole derivatives on Ag(111): 5,9-dibromo-7H-dibenzo[c,g]carbazole (DBC) and 5,9,7-tribromo-7-(4-bromobutyl)-7H-dibenzo[c,g]carbazole (BrBu-DBC). At room temperature (RT), DBC forms ordered paired-row supramolecular assemblies, whereas annealing to 470 K induces the formation of butterfly-like dimers that further organize into periodic arrays, consistent with adatom-mediated N–Ag–N coordination. In contrast, BrBu-DBC shows disordered adsorption at RT but transforms at 490 K into dumbbell-shaped dimers coupled selectively at the terminal side chains, consistent with C–C linkage formation. We demonstrate how subtle functional modification modulates the competition between supramolecular assembly and surface-mediated transformation pathways. Full article
(This article belongs to the Section Organic Crystalline Materials)
Show Figures

Figure 1

23 pages, 3032 KB  
Article
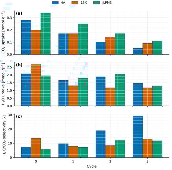
Experimental Evaluation of Commercial Molecular Sieves 13X, 4A, and JLPM3 for Sustainable Direct Air CO2 Capture from Humid Air via Temperature-Swing Adsorption: “Sieve the Atmosphere”
by Luis Signorelli, Pedro Esparza, Pedro Martín-Zarza and María Emma Borges Chinea
Sustainability 2026, 18(7), 3601; https://doi.org/10.3390/su18073601 - 7 Apr 2026
Viewed by 344
Abstract
Direct air capture (DAC) of CO2 via temperature-swing adsorption (TSA) can support sustainable carbon dioxide removal, but only if sorbents regenerate with low energy demand and maintain performance under humid ambient air. In this paper, we evaluate three commercial molecular sieves (JLPM3, [...] Read more.
Direct air capture (DAC) of CO2 via temperature-swing adsorption (TSA) can support sustainable carbon dioxide removal, but only if sorbents regenerate with low energy demand and maintain performance under humid ambient air. In this paper, we evaluate three commercial molecular sieves (JLPM3, 13X, and 4A) in packed-bed tests using humid ambient air. We compared 40 g samples as received with 200 g samples conditioned for 12 days at 100 °C to emulate prolonged exposure to regeneration temperature (the cumulative effect of many heating/desorption cycles); all cycle-stabilized uptake values are reported from the conditioned materials. JLPM3 delivered the highest stabilized CO2 uptake (0.24 ± 0.01 mmol·g−1), consistent with a combined physisorption/chemisorption mechanism. Its higher total porosity (26.190%) and smaller mesopores (7.569 nm width) promoted rapid mass transfer and site accessibility, while slightly greater micropore area (710.285 m2·g−1) and volume (0.267 cm3·g−1) than 13X supported its marginally higher capacity. Evidence of partial structural degradation under mechanical and thermal stress indicates that minimizing strain during cycling will be important for scale-up and for reducing sorbent replacement. Conditioning at 100 °C activated additional chemisorption sites across all sieves but reduced physisorption capacity. Importantly, a ~100 °C desorption step fully regenerated physisorbed CO2 while purging moisture from zeolite pores, indicating that low-temperature TSA (compatible with low-grade or waste heat) can replace harsher 300 °C regeneration and lower energy demand. CO2–H2O competition experiments confirmed substantial site occupancy by water vapor, which limits capture under humid conditions and motivates water management strategies. Overall, maximizing DAC performance requires tailoring pore structure and operating conditions while preserving sorbent integrity; JLPM3 emerges as a promising candidate for more energy- and resource-efficient DAC. Full article
Show Figures

Figure 1

16 pages, 13658 KB  
Article
Adsorption Mechanism of Elemental Sulfur in High-Sulfur Gas Reservoirs Based on Molecular Simulation and Monte Carlo Methods
by Mingdi Zhang, Guangdong Zhang, Xuejing Weng and Qi Feng
Energies 2026, 19(7), 1756; https://doi.org/10.3390/en19071756 - 3 Apr 2026
Viewed by 394
Abstract
Elemental sulfur deposition in sulfur-bearing gas fields can disrupt gas well production and create safety risks, making it essential to understand its deposition mechanisms. While previous studies have examined sulfur adsorption on single minerals, the behavior in carbonate mixed minerals remains unclear. This [...] Read more.
Elemental sulfur deposition in sulfur-bearing gas fields can disrupt gas well production and create safety risks, making it essential to understand its deposition mechanisms. While previous studies have examined sulfur adsorption on single minerals, the behavior in carbonate mixed minerals remains unclear. This study uses molecular simulations to investigate elemental sulfur adsorption in calcite–dolomite mixed slit models. Results show that, at the same slit size, sulfur adsorption increases with pressure and temperature, with adsorption amounts ranging from 5.95 × 10−5 to 1.08 × 10−2 mg/m2. Pressure has little effect on adsorption heat, whereas higher temperatures reduce it. At equilibrium, sulfur molecules preferentially adsorb on calcite. Increasing pressure raises sulfur adsorption on calcite, while higher temperatures enhance adsorption on both mineral surfaces. Compared with single-mineral slits, competitive adsorption in mixed systems leads to a less uniform sulfur distribution on calcite. These findings provide theoretical insights into sulfur deposition mechanisms and prevention strategies for high-sulfur gas reservoirs. Full article
Show Figures

Figure 1

18 pages, 1733 KB  
Article
Advancements in Deep Purification of Gas from Biomass Gasification Using a Dry Method with an Activated Carbon Bed
by Mateusz Kochel, Ewa Brągoszewska, Agata Wajda, Tomasz Billig and Tomasz Iluk
Energies 2026, 19(7), 1755; https://doi.org/10.3390/en19071755 - 3 Apr 2026
Viewed by 433
Abstract
Energy transformation requires the development of distributed renewable energy, in which heat and electricity are produced by small units or production facilities for local needs. One favorable development direction is the thermal conversion of biomass, which is classified as a renewable energy source. [...] Read more.
Energy transformation requires the development of distributed renewable energy, in which heat and electricity are produced by small units or production facilities for local needs. One favorable development direction is the thermal conversion of biomass, which is classified as a renewable energy source. Due to the variability of its physicochemical properties, gasification technology offers a flexible and competitive alternative to combustion processes. One of the key challenges associated with biomass gasification is the relatively high concentration of contaminants in the raw producer gas. This article presents the results of pilot studies on producer gas purification using activated carbon fixed-bed adsorption. The pilot studies focused on assessing the effectiveness of this technology in the context of purifying producer gas from biomass gasification installations. During the conducted experimental study, approximately 2.2 kg of contaminants were adsorbed. The calculated unit mass of adsorbed contaminants per unit volume of producer gas was 11.7 g/Nm3. The removal efficiency of contaminants was 61.5% for tar compounds and 83.6% for volatile organic compounds. A 100% removal efficiency was achieved for the analyzed sulfur compounds (H2S, COS, and CH3SH). The research showed positive effects of adsorption for final producer gas purification, supporting further experimental research. Full article
(This article belongs to the Special Issue Emission Control and Sustainable Energy)
Show Figures

Figure 1

23 pages, 1759 KB  
Review
Unraveling the “Black Box”: Challenges and Perspectives in Elucidating Catalytic Mechanisms of Metal–Biomass Carbon Hybrids for Persulfate Activation
by Jiahua Yu, Xiaoyang Chen, Lu Huang, Huangwei Chen and Hengcong Tao
Water 2026, 18(7), 838; https://doi.org/10.3390/w18070838 - 1 Apr 2026
Viewed by 553
Abstract
In recent years, Metal–Biomass Carbon (M–BC) hybrids have been widely studied as promising, cost-effective, and sustainable catalysts for persulfate activation in the degradation of emerging organic contaminants. M–BC systems offer advantages such as good performance and the sustainable use of biomass waste. Despite [...] Read more.
In recent years, Metal–Biomass Carbon (M–BC) hybrids have been widely studied as promising, cost-effective, and sustainable catalysts for persulfate activation in the degradation of emerging organic contaminants. M–BC systems offer advantages such as good performance and the sustainable use of biomass waste. Despite the considerable attention they have received, significant uncertainty remains regarding their precise catalytic mechanisms. A primary concern is the inherent complexity of biomass precursors, which frequently render the resulting catalytic structures ill-defined or akin to a “black box”. To address this challenge, this review critically evaluates the current state of mechanistic research, focusing on the debate between radical and non-radical pathways. In this paper, five fundamental challenges to clear mechanistic understanding are identified, including interference of inherent inorganic species, lack of precursors standardization and inherent heterogeneity, ambiguous overlapping active sites, methodological limitations in chemical quenching due to competitive adsorption, and conductivity-related constraints on non-radical pathways. Among these, the interference from inherent inorganic species is of primary concern, as the available evidence suggests it frequently confounds reported synergistic effects. Additionally, the future research directions for improving the experimental standardization and mechanistic understanding of M–BC catalysts are proposed. This review enriches the field by providing a clear path toward rigorous mechanistic understanding and the rational design of M–BC catalysts for water remediation. Full article
Show Figures

Figure 1

27 pages, 2600 KB  
Article
Sustainable Remediation of Pharmaceuticals Using Crop-Residue-Derived Carbons: Bridging Multi-Component Adsorption and DFT Perspectives
by Assel A. Kurtebayeva, Silvia Álvarez-Torrellas, Juan García, Helder T. Gomes, Juan M. Garrido-Zoido, Maria Victoria Gil, Seitzhan A. Orynbayev and Marzhan S. Kalmakhanova
Molecules 2026, 31(7), 1162; https://doi.org/10.3390/molecules31071162 - 31 Mar 2026
Viewed by 374
Abstract
This work is devoted to the synthesis and comprehensive study of activated carbons (ACs) obtained from agricultural wastes—specifically corn cob (C) and onion (O)—for the effective removal of paracetamol (PCM) and sulfamethoxazole (SMX) from aqueous media. The synthesis was carried out by chemical [...] Read more.
This work is devoted to the synthesis and comprehensive study of activated carbons (ACs) obtained from agricultural wastes—specifically corn cob (C) and onion (O)—for the effective removal of paracetamol (PCM) and sulfamethoxazole (SMX) from aqueous media. The synthesis was carried out by chemical activation using H3PO4, HNO3, and NaOH as activating agents, which made it possible to obtain materials with a clearly defined microporous structure (microporous fraction Vmicro/Vtotal = 0.75–0.81) and specific surface chemistry. Particular attention was paid to studying the kinetics and equilibrium of adsorption in both single-component and binary (two-pollutant) systems. It was established that the equilibrium time is 8 h, and the experimental data are best described by a pseudo-second-order kinetic model. During binary adsorption tests, the competitive behavior was observed for certain materials, such as the corn-derived carbon activated with HNO3 (AC-CN) and the onion-derived carbon activated with HNO3 (AC-ON), where molecules compete for active sites. Conversely, synergistic effects were identified in other systems, controlled by specific surface-functional groups and hydration effects. The maximum adsorption capacity was found to be 29.4 mg∙g−1 for PCM on the AC-CN sample. Adsorption mechanisms, including multilayer isotherm profiles and the competition between pollutant and water molecules, were interpreted using quantum chemical calculations within the framework of Density Functional Theory (DFT). These calculations revealed that partial deprotonation and intense solvation of SMX molecules at natural pH reduce their adsorption capacity. In contrast, the PCM structure favors π-π interactions and the formation of strong hydrogen bonds with oxygen-containing groups on the carbon surface. These results demonstrate the high potential of using agro-industrial waste to create a new generation of selective adsorbents with tailored surface properties. Full article
(This article belongs to the Section Materials Chemistry)
Show Figures

Figure 1

36 pages, 2129 KB  
Review
Differential Regulation of Arsenic Cycling by Algal and Submerged Macrophyte-Derived DOM During Lake Eutrophication: A Review
by Fuwen Deng, Zhanqi Zhou, Jiayang Nie, Xin Chen, Dong Shi and Feifei Che
Water 2026, 18(7), 798; https://doi.org/10.3390/w18070798 - 27 Mar 2026
Viewed by 601
Abstract
Arsenic (As) is a ubiquitous and highly toxic metalloid with well-established carcinogenicity. Its accumulation and secondary release from lake sediments pose potential risks to lake ecosystem integrity and human health. Meanwhile, the ongoing intensification of lake eutrophication at the global scale has altered [...] Read more.
Arsenic (As) is a ubiquitous and highly toxic metalloid with well-established carcinogenicity. Its accumulation and secondary release from lake sediments pose potential risks to lake ecosystem integrity and human health. Meanwhile, the ongoing intensification of lake eutrophication at the global scale has altered the sources, composition, and environmental behavior of internally derived dissolved organic matter (DOM). These changes have profoundly influenced As mobilization and transformation at the sediment-water interface (SWI). To advance understanding of the regulatory roles and underlying mechanisms of algal dissolved organic matter (ADOM) and submerged macrophyte dissolved organic matter (SMDOM) in As biogeochemical cycling under lake ecosystem regime shifts, extensive findings from the international literature were synthesized. The characteristic properties and environmental behaviors of ADOM and SMDOM were systematically compared, and their distinct regulatory pathways in lacustrine systems were further summarized. Results indicate that ADOM is typically characterized by low molecular weight, weak aromaticity, and high bioavailability. It can enhance As dissolution and mobilization from sediments through direct complexation, competition for adsorption sites, and stimulation of microbial metabolism and Fe(III) reduction. In contrast, SMDOM exhibits higher molecular weight, greater aromaticity, and a higher degree of humification. It tends to form stable complexes with mineral phases. Under the influence of radial oxygen loss (ROL) from submerged macrophyte roots during the growth phase, its capacity to promote mineral reduction is relatively limited. This process favors stable As retention in sediments. The regulatory effects of ADOM and SMDOM on As behavior are strongly modulated by environmental factors such as pH, redox potential (Eh), temperature, and light conditions, as well as by microbial communities. ADOM is more sensitive to reducing environments and photochemical processes. SMDOM, in contrast, exerts more persistent control under oxidizing conditions and at mineral-water interfaces. In addition, ADOM more readily drives microbial community shifts toward assemblages with enhanced capacities for Fe(III) reduction and As reduction or methylation. SMDOM is less likely to trigger strongly reducing processes. Based on these mechanisms, the outbreak and decay phases in algal-dominated lakes often correspond to critical periods of enhanced As mobilization and elevated ecological risk. In submerged macrophyte-dominated lakes, the decay phase may represent an important window for sedimentary As release. Finally, a conceptual framework describing the differential regulation of As biogeochemical cycling by ADOM and SMDOM is proposed. This framework provides a theoretical basis for As risk identification, the determination of critical risk periods, and the development of management strategies across lakes with different trophic states. Full article
(This article belongs to the Special Issue Pollution Process and Microbial Responses in Aquatic Environment)
Show Figures

Figure 1

Back to TopTop